1
十八世纪科学、技术和哲学史
1.6.1 一、法国和德国的力学天文学
一、法国和德国的力学天文学
欧勒

利昂纳德·欧勒(1707—83),亚力克西·克洛德·克勒洛(1713—65)和让·勒隆德·达朗贝(1717—83)都特别关心确定三颗互相吸引的天体的运动问题。这一问题比二体问题(已被牛顿圆满解决)远为复杂,用已知的解析函数不可能解决最一般形式的三体问题。然而,这些数学家对太阳、地球和月球以及太阳和两颗行星这些特殊情形得出了一些近似的解析解,从而导致改善月球理论和行星理论以及基于这些理论的星表。例如,托拜厄斯·迈尔(1723—62)利用欧勒的理论,再辅以大量观测资料,得以编制出足可供海上测定经度之用的精确月球表(1755年)。经度委员会为此授予他一笔奖金,后由他的遗孀领取。欧勒还引入了一些研究行星摄动的新方法。他的方法是,假设一颗被研究行星一刻不停地沿一条椭圆轨道运动,而这轨道的诸要素在摄动行星作用下缓慢地连续变化。然后,他试图根据已知在起作用的摄动力计算出这些轨道要素的变化速率。“欧勒方程”在动力学中有着带根本性的重要意义。这些方程使他得以预言,地球的自转轴绕其图形轴画一个圆锥形。十九世纪揭示了,在地极也存在相应的运动,它使地球表面一切点上的纬度产生微小周期变化,虽然气象因素引起的另一效应致使这一效应变得复杂化。

克勒洛

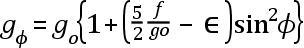
克勒洛除了对三颗相互吸引天体问题的近似解作出了贡献之外,还对地球的形状进行了数学研究(Théorie de la Figure de la Terre,Paris,1743)。他是在随莫泊丢赴拉普兰进行大地测量归来以后,不久就投入这一研究的。在拉普兰获得的测量结果同布格埃到秘鲁勘测所得的结果结合起来看,证实了惠更斯和牛顿的见解即地球在两极呈扁平状。然而,这些勘测结果所表明的扁平度约两倍于惠更斯根据地球自转速率所预言的值。按照流体力学原理测定地球形状的问题,早已导致流体平衡理论取得长足进展。惠更斯提出的原理是,一流体仅当它的表面在其每一点处都垂直于作用于各该点的合力时,才处于静止状态。而牛顿则认为平衡状态同作用于从表面到吸引中心的流体柱的压力有关。如果把地球的赤道起的自吸引考虑进去的话,那么惠更斯和牛顿所制定的原理就会得出同样的地球扁平度。马克劳林和克勒洛在他们的著作中应用等价的流体静力学原理,解释了这种自吸引。马克劳林发展了牛顿的理论,于1740年证明了,如果一匀质旋转流体呈扁球状,那么,在离心力与重力的作用下,它将处于平衡状态。克勒洛于1743年提出了一条普适的定律:一流体只有当作用于其中任何形状隧道中每一点的合力为零时,才能处于平衡状态。这种隧道可以认为由流体凝成固体的残留物所造成;它可以形成闭路,可以是向流体表面开口,也可以完全在流体内部(图35)。如果在每一条这种隧道中流体都处于平衡状态,则整个流体物质也必然处于平衡状态。克勒洛根据这条原理推导出流体平衡的偏微分方程。他去除了旋转流体应当完全匀质的条件,而仅仅假设流体各等密度层是与流体表面同心和同轴的椭球。他得出了一个重要关系式,即所谓“克勒洛定理”: ,它把纬度 处的重力加速度 、赤道处重力加速度go、赤道处离心力f和地球椭率∈四者联系起来。利用这一结果,并假设它所要求的条件都成立,就可以根据在不同纬度上测得的重力强度,推算出地球的椭率。然而,后来在地球上不同地点进行的摆实验的结果表明,同克勒洛公式给出的值有很多偏差。

图35—隧道的类型

此外,克勒洛还相当准确地预言了哈雷彗星在1759年返回的日期,其间考虑到了木星和土星吸引对哈雷彗星运动的摄动。他还考虑了月球和金星对地球运动的摄动,据此进一步推算出二者质量的良好估值(按照地球质量)。

达朗贝

达朗贝把牛顿的岁差理论以及布莱德雷的地极章动假说,建立在严谨的分析基础之上(Recherches sur la précession des équinoxes,etc. ,Paris,1749)。

拉格朗日

约瑟夫·路易·拉格朗日(1736—1813)对纯粹数学和应用数学的几乎每一分支都作出了重要贡献。在一篇关于月球天平动的获奖论文(1764年)中,他假设,地球对自己尚处于液态的卫星月球的吸引使其产生了潮汐隆起(除了引起物理天平动的微小振动,这隆起现在一直是指向地球的),并根据这一假说解释了月球绕轴自转周期和轨道运行周期的相等性。拉格朗日还奠定了木星卫星力学理论的基础。然而,他对天文学的最大贡献在于他促进并补充了他同时代人拉普拉斯的工作,而且向他提供了一些普遍适用的数学方法,使拉普拉斯能把这些方法应用于太阳系各个具体问题。

拉普拉斯和布丰

图36—拉普拉斯

拉普拉斯侯爵皮埃尔·西蒙是一个农民的儿子。他于1749年生于诺曼底的奥热河畔博芒特,卒于1827年。他早年曾在巴黎École Militaire〔军事学校〕任数学教授,后来在他经历的历届政权下担任过一系列要职。他毕生从未间断过数学研究,这些研究为他赢得了国际声誉。

拉普拉斯最重要的著作《天体力学》(Mécanique Céleste)于1799和1825年间出齐五大卷,他整理编集了前辈在力学天文学方面的成果。书中首先阐述力学和万有引力的一般定律,然后把它们应用于下列诸问题的研究:互相吸引作用下球体的运动;行星的轨道、不均衡性、形状和绕轴自转;海洋的振动和稳定性;月球理论;彗星;天文折射以及(由这理论推演出的)毛细吸引。在第五卷中,拉普拉斯阐述了他晚年的研究成果,使这部著作反映时代最新成就。

拉普拉斯关于太阳系稳定性的研究,是他在1773至1784年这一时期中最重要研究之一。在这方面的研究中,他从欧勒和拉格朗日为研究行星轨道要素缓慢变化所提出的那些一般方法中获益匪浅。拉普拉斯发现,木星和土星因相互吸引而产生的平均运动,其不均衡是周期性的,并非无限地增大。他猜想,这现象可能一般地为一切行星所具有;他还证实,影响行星平均运动和平均距离的长期摄动,在实际上微乎其微。拉普拉斯和拉格朗日密切合作,继续这项研究,证明了行星轨道面相互之间的倾角必定总是在很小范围内波动,并且轨道的偏心率也受到类似限制。拉普拉斯和拉格朗日的这些研究,确定了太阳系总图式至少在极其漫长的时期内具有耐久性;但是,它们只是近似的,只考虑到无穷级数的前几项,所以,它们尚不足以证明太阳系的绝对稳定性,甚至没有考虑外部的干扰因素。

拉普拉斯在《天体力学》中用了一整篇专门详细讨论月球的不均衡性,他是从单一的定律导出这不均衡性。他解释了哈雷所发现的月球长期加速度,为此他把这种现象同地球轨道偏心率的缓慢减小联系起来。他设想,既然这后一变化是周期性的,那么这月球加速度最终必定要被制止并反转方向。但是,他错了,因为月球长期加速度很大程度上是潮汐摩擦引起的,这种摩擦使我们周日长度缓慢增加。拉普拉斯根据太阳对月球轨道的摄动,推算出了一个相当准确的太阳视差数值,并推知其大小取决于太阳距离。他还进一步根据地球扁球形状对月球产生的摄动,推算出地球的(动态)椭率。他发展了一种关于潮汐的解析理论,并且根据在法国一些港湾,特别是布雷斯特对这些现象作的长期连续观测,推算出了月球的质量。他由此得以证明当时公认的下述见解是错误的:地球大气中用气压计可测知的潮汐是月球引起的。

拉普拉斯对力学天文学的其他贡献还包括:改进了彗星轨道的测定方法;发现了木星诸卫星因相互吸引而产生的运动之间存在显著的数值关系;以及预言了土星光环处于旋转之中。

1796年,拉普拉斯提出了一个关于太阳系起源于原始星云的思辨假说。该假说载于他比较通俗的著作《宇宙体系论》(Exposition du Systéme du Monde)(1796年)之中。他试图解释这样的令人瞩目的事实:所有行星全都沿同一方向而且几乎在同一平面上围绕太阳旋转;(大部分)卫星也沿相同方向和几乎在同一平面上围绕其主星旋转;行星和卫星同太阳一起都沿着它们公转的方向绕各自的轴自转。他论证说,这些相似性不可能纯属偶然的巧合;它们表明所有的这些天体都有一个共同的起源。

布丰曾试图这样来解释这种奇异的规则性:设想有一颗彗星同太阳相撞,致使彗星表面喷发出物质射流,这物质在离太阳不同距离的各处凝聚成一些球体(Histoire Naturelle,Supplement Vol.Ⅴ:Époques de la Nature)。拉普拉斯认为,这假说不能解释行星轨道的小偏心率。然而,事实上,布丰的观点比拉普拉斯更接近于现代关于太阳系起源的潮汐理论,而且,“碰撞”说因主张轨道初始大偏心率而引起的困难,现在也得到了令人满意的解释。

拉普拉斯自己的假说假定,太阳系天体起源于一团巨大的炽热星云,它自西向东自转,而太阳则是它的一个残块。随着这星云冷却,它必然收缩,其自转速率则将按照力学定律增加。如此下去,便到达一个阶段,这时星云赤道处的离心力恰好抵消星云核的引力吸引,然后便形成一个物质环状星云,这个环将被收缩着的星云抛在后面。这样的过程反复发生,如此形成的环全都处于同一(赤道)平面,并各以自己特有的速度旋转。然而,这些环都是不稳定的,所以每一个都将分裂成旋转质块,而这些质块最终又结合起来形成一单独行星。每颗行星都将像原始星云那样收缩;于是,卫星的形成以及作为形成之中的卫星的土星光环根据这一假说得到了解释。拉普拉斯认为,黄道光是原始星云的又一残块。彗星轨道的偏心率很大,并且与黄道成一切倾角,因此,拉普拉斯得出结论:这些天体的起源独立于行星,而且从来就不是星云的一部分。

拉普拉斯的星云假说风行了近一个世纪。现在知道,它在太阳系规模的尺度上是不能接受的。但是,它大致体现了今天关于一团星云冷凝成恒星的过程的见解。

康德

在拉普拉斯的星云假说发表之前约四十年的时候,哲学家伊曼努尔·康德就已试图演绎地推出关于宇宙,特别是太阳系生成的表示。康德在他的《自然通史和天体论》 [1] Allgemeine Naturgeschichte und Theorie des Himmels)(1755年)中假设,物质最初以细微分割的状态弥漫全部空间。由于万有引力的作用,形成了一些中心天体和周围物质围绕其凝结的核。这些核受到这些中心天体的吸引,但是在物质似乎固有的一种斥力的作用下,它们改变了方向,使它们向中心的坠落运动变成了绕中心的涡旋运动。康德认为,这样就能解释一切行星都沿同一方向并且几乎在同一个平面上绕太阳运转的事实。康德的假说没有说明太阳系自转的起源。为了克服这一困难,拉普拉斯从假设最初就自转的气态物质出发,最后如我们所知,他得出了实质上与康德相同的结果。

康德本人在这个领域中的思辨,曾受到托马斯·赖特的《宇宙论》(Theory of the Universe)(1750年)的启发。《宇宙论》中指出,恒星并非杂乱无章地散布于宇宙中,而是向着银河的平面聚集。康德从自己假说引出的某些推论被后来的观测所证实,这一事实给予康德假说以相当大支持。最好的例子是他对土星光环周期的计算,他设想土星光环是从土星赤道分离出去的。他根据基本的力学原理估计这个周期为“十个小时左右”。赫舍尔于三十四年后所作的观测表明,这周期事实上约为十个半小时。康德关于土星光环由密集的独立颗粒构成的见解,后来也为数学、光度学和光谱学研究所证实。根据同土星光环的类比,康德创立了黄道光乃因宇宙尘埃环包围太阳并被阳光照射而成的理论。这一理论今天仍部分地为人们接受。他还讨论了,天体的绕轴自转是否在任何条件下都会衰减或消灭的问题。他问道,会不会月球以往自转较快,后来由于地球对它产生的潮浪的延缓作用,它的自转减慢到了目前的速率(同它绕地球公转的速率完全一致)。他表明,地球的自转速率必定也受到太阳和月球起潮力的作用而衰减。康德的这些推测后来得到了乔治·达尔文爵士更为严格的研究的有力证实。