1
十八世纪科学、技术和哲学史
1.5.4 四、实验流体动力学
四、实验流体动力学

继十七世纪托里拆利、马里奥特和牛顿等人的开拓性工作之后,十八世纪从理论和实验两方面对流体动力学问题予以相当的注意。所研究的主要是关于固体在流体中通过时所受到的阻力的问题,以及液体在压力作用下从容器注孔中喷出而成的射流的问题。在这个时期中,人们试图建立一个关于流体阻力的数学理论(甚至假定流体是不可压缩的),但始终遇到了种种分析上的巨大困难,所得的结果与相应的实验数据相比,总的来说是令人失望的。十八世纪初期流行的那些流体阻力理论普遍建立在这样的流体观基础之上:流体乃由孤立粒子构成,这些粒子仅仅藉碰撞相对它们做运动的一个物体的表面而阻止其运动。这假说认为,一个平面表面沿与其自己平面垂直的方向通过流体运动时,所受到的阻力同表面的大小以及其速度平方成正比。而如果是一个三棱柱的斜面像船头一样通过流体运动,其底面与运动方向垂直,则这些斜面所受到的阻力同斜面对运动方向的倾角的正弦平方成正比。人们还曾追随牛顿进一步假设,一个物体所受到的阻力仅取决于该物体的处于其最大截面(与运动方向垂直地取的)之前的那一部分的形状,因此,物体后面部分的形状根本不影响阻力的值。

达朗贝在其《论一种新的流体阻力理论》(Essai d’une nouvelle Théorie de la Résistance des Fluides)(巴黎,1752年)中批评了这种过分简单的理论,特别是因为这种理论忽略了媒质粒子在碰撞了物体之后本身会怎么样的问题。他认为,碰撞每层粒子起着十分重要的作用,因为这样的粒子层在物体表面滑动,对物体施以压力和摩擦力,干扰继起粒子层的碰撞作用。他还试图描绘出当达致稳定运动状态时媒质粒子沿之运动的“流线”(filets)。达朗贝试图把流体力学建立在一些坚实的基本原理之上,这些原理与他认为固体力学业已确立的那些原理相联系。但是,他在试图用他的理论导出能为实验证实的推论时,遇到了重大的分析上的困难。达朗贝认为,他在写《论一种新的流体阻力理论》时所能得到的关于流体行为实验证据太粗略,不宜作为流体动力学理论的重要根据。但是大约二十年后,达朗贝本人也参与的一些研究在这一学科的实验处理上开辟了一个新纪元。他的共事者是孔多塞侯爵和修道院长博絮。1755年,博絮发表了一篇根据自己观测讨论水在管道和隧道中的运动的流体动力学论文。同年,达朗贝、孔多塞和博絮受命于杜尔哥进行旨在改进航海的研究。他们对液体对通过其中的物体的阻力的定律进行了实验研究。他们的实验是1775年7月和9月间在军事学校(ÉCole Militaire)院内一个湖上进行的。博絮充当rapporteur〔报告人〕,这次研究的过程和结果明白地记载在他的《关于流体阻力的新经验》(Nouvelles Expériences Sur la Résistance des Fluides)(巴黎,1777年)之中。

这三位百科全书派采取的方法是测量由已知力牵引通过水的船所获得的速度。每次都由一个下落的重物提供动力。重物被系在一根绳索的一端,这绳索绕过位于一根约75英尺高的桅杆的顶端的一个滑轮和桅杆下端的另一个滑轮,然后把它的自由端系在船头,这样,当重物下落时,小船便被牵引沿水平方向前进(图26)。绳索由于自重而稍有下垂的效应忽略不计。湖的轮廓大致呈矩形,约100英尺长,50英尺宽,深度不等,最深处达6英尺左右。湖的两条长边部分地划成区段,每段5英尺长由直立标杆标示,相应于0,5,10……45,50英尺。连接两对岸相应分度的连线与小船的运动方向垂直,标示50英尺的分度接近湖的尽头,船在该处停靠于木排。每条船都从零刻度线后的某处出发,以使在它进入50英尺的被测路程时达到一个均匀的终速度。然后,观察者对船在这路程中的运动计时,记下通过连接各对标杆的每条连线(0-0,5-5,等等)的时刻,其时一个戴表的计时人出声地数出半秒的时刻。在这些关于船运动的实验中,所通过的水域相对船来说实际上可以认为是无界的。除了这样的实验而外,还有另一些实验,其中同样的船被推进通过一条沟渠,沟渠的宽度和深度可以在一定限度内任意改变。构成这种沟渠的方法是,沿湖在水下建造一个平台,两边由平行的两道木栏围住,它们形成沟渠的两边,它们的间距可以任意调节。沟渠深度可通过在湖中引入或多或少的水加以改变。这类实验大都在沟渠两端开放的条件下做的,不过也有少数是在两端封闭的条件下进行的。在这些实验中,应用了二十种不同的船,船头和船尾形状各异,有的方形,有的呈不同锐度的尖顶。船幅和吃水深度也各不相同;吃水大都在一英尺左右。为了使船在开阔水中直线行进,还为船装备了舵。但在沟渠实验中,必须使用一根从船头和船尾上两对滑轮间通过的导向索,并要对滑轮的摩擦给予修正。在每一组给定条件下,观察都重复多次,取船历次驶过50英尺所需时间的平均值;为此目的所得到的各组结果的差异罕有达到一秒的。

图26—用船做的流体动力学实验

在《新经验》中提出的各个理论结论乃基于在适当变化的条件下对船的平均速度进行的数百次测定。总的来说,阻力随速度平方而变化的定律得到了充分支持,尽管发现阻力的增大速率比理论的要求稍高一些。但是,这一点基本上可从下述认识中得到解释:船头前形成的上涨(remou)即水面升高以及在船尾形成的凹陷必定要引起有效阻力增加。为了对这种效应进行修正,当船达到稳定速度后,立即测量船头中央和两侧的上涨高度,并与实验的其他结果一起记录下来。对速度相等但表面不等的物体所受阻力进行比较时,要区别两种情况。(1)当浸没水中的表面深度相等而宽度不等时,发现阻力的增加速率稍稍大于表面的增加速率。(2)当表面宽度相等而深度不等时,阻力的增加速率略小于表面的增加速率。把上涨效应考虑进来后,各种情形里的差异便得到了解释。接着又比较了用方头船得到的结果、用船幅和吃水深度相等、速度明显相等,但船头两侧交角不同因而以不同倾斜度击水的各种船得到的结果。结果发现,随着船头变得越来越尖,“正弦平方”定律越来越站不住脚。产生动力的重量比理论所要求的要重,并且船头越尖,就重得越多。博尔达的一些关于斜向阻力的实验也得出过类似结果(Mém.de l’Acad. ,Paris,années 1763和1767)。结果发现,船头尖角的正弦的任何其他简单幂都不能取代平方来作为对所受阻力的一种精确量度。还发现,当船尾成为尖锥形时,船受到的阻力减小。在沟渠实验中,发现阻力和速度平方之间的正比例关系完全成立。然而,在每种情形里,当其他条件相同时,阻力总是要比在开阔水域中大;留给水从船前头流到船后面的地位越小,这种阻力增加就越明显。曾尝试求得水对行进的船的绝对阻力的某种估计值。空气阻力所起的作用也考虑到了,空气阻力与水阻力的比例根据这两种媒质的相对密度以及物体表面分别暴露于它们的面积推算出来。水的韧性以及水沿船侧的摩擦被认为可以忽略不计。根据所获得的大量数值结果,得出这样的结论:一个平面表面在无界流体中以速度V沿与自身垂直的方向通过无界流体运动时,所受到的阻力等于该流体的这样一个柱的重量,柱的底面积等于受压表面积,柱的高等于一个落体为达到速度V所必须通过的距离。

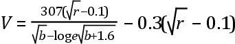
1775年,博絮关于流体动力学的论著以及他与达朗贝和孔多塞合作的实验结果的发表,激发了P.L.G.迪比阿爵士去进行更加精细的研究。这些研究是1780—83年间进行的。他的《水·力学原理》(Principes d’ Hydraulique)(巴黎,1779年;修订版,1786年)的后面几版描述了这些研究。迪比阿研究的问题包括水在沟渠中匀速运动的定律、液体射流喷注的碰撞、各种形式固体相对阻抗媒质运动时表面所受压力的分布以及摆在这种媒质中振动时伴生的某些效应。书中还讨论了许多其他比较专门的技术问题。迪比阿用人造木质沟渠进行实验,其宽度、梯度和水深都可以任意改变。他认为,当沿这样一条沟渠向下流动的稳定水流倾斜于水平方向时,那表示作用于水的重力加速力和因水的黏滞性而产生的反力之间达致一种均衡状态以及它对沟渠两侧壁产生了摩擦。通过改变了水流的宽度,深度和坡度,一次改变一项,并注意水达致的流速随之发生的变化,他成功地得出了关于流速与这些因素关系的一个经验公式。若设V为水流平均速度;r为水流的截面除以截面周长;其梯度为1/b,则这些量之间的关系由下式给出: 这些量采用(英国的)寸和秒度量,沟渠的截面和梯度假定是恒常的,其长度与其别的维度相比是相当大的(Principes d’Hydaulique,1816年版,Vol.Ⅰ,p.62f.)。迪比阿还研究了水流表面和底部的水速之间的关系。他发现,如果V是水流表面的速度,v是水流底部的速度,那么, ,而水流整个截面上的平均速度(由沟渠单位时间内放出的水量推知)便是V和v的算术平均值(上引著作,p.90)。这些结果看来与沟渠床的大小、形状和梯度无关。他测量表面流速的方法是,向中流扔进一薄木片,用一块表计量它在沟渠中行过10英寻的时间。至于对水流最底层速度的测量,他以类似方式观察一些小球沿沟渠底的运动,小球用密度稍大于水的材料做成,而且其色彩鲜艳,易于观察——红茶藨子最适合作此用途。十九世纪初,G.里什德普洛尼得到了关于沟渠中流动的水的更加概括的公式。但是,他的法则基本上以经过挑选的前人实验为基础。迪比阿用一根玻璃管来研究射流喷注的冲击力。玻璃管的两端开放,并弯成直角,安装时让管的一只呈水平,另一只竖直朝上。水平肢的开口插入一块金属板(使用各种形状的金属板)上的一个孔中,恰使管口与金属板表面齐平。然后把管端推入水喷注中,后者直径大于管的直径。这个实验旨在测定喷注压力将在竖立肢中维持多高的水柱。迪比阿表明,这高度近似等于维持喷注的压头高度。在压头和喷注直径的某个值域中,这个结论都很好成立,如果冲击发生地点离注孔不太远,且不让冲出的水通过一个管嘴的话。迪比阿还研究了一个浸没于水流中的固体的表面所受压力的分布问题。他借助一个金属盒子来进行这一研究,盒子壁上各处钻有孔,这些孔可随意打开或关闭。一个连通盒子内部的流体压力计伸出水面。它显示出内部压力与外部压力的关系,以及当这个或那个孔打开时这种关系如何变化。一个这种方盒子附装于一个方棱柱的末端,整个地把它们浸没于水中,盒子的开孔面指向逆流方向。于是发现,这障碍物的正面即逆流面的中央压力最大,位置向边缘靠近时压力随之减弱,而在边缘处压力实际上让位于向外的空吸。迪比阿把这个盒子附装于各种长度的棱柱,由此表明,障碍物越长,正面的压力就越小。为了研究这样一个障碍物后面的压力状况(在此之前这一问题一直被忽视),迪比阿把他的设备掉个头(使开孔面指顺流方向),再同前述一样进行实验。他确定,在障碍物后面的空吸随着从圆周向中心而渐减,而且障碍物越长,减弱越甚。以前研究这个问题的人采取这样一条公理:阻止媒质和浸没于媒质中并与其做相对运动的物体之间的反作用力,当其他条件不变时,不管是物体通过静止媒质运动,还是媒质流过静止物体,都是一样的。迪比阿通过一些实验使他怀疑这条公理。在那些实验中,他在蒙斯附近的埃恩河上把他的钻孔盒子放在两条平底船之间的水下牵引前进,其水闸关闭,水流停止。他把在这里对于从一个适当的速度范围得到的结果与以前水在他的人造沟渠中流经仪器的实验中得到的结果进行比较。他觉得看到了一些差异,在静止河水中所受到的阻力有规律地小于沟渠中的相应反作用力。他提出,水静止时可能比运动时易于分开;还提出,运动液体的各层沿流动方向形成一个向下的斜坡,而一个浸没物体将趋向沿这斜坡下滑。迪比阿认识到,在流体中运动的物体势必要带走一部分流体,物体的有效质量因而便增加。他试图通过研究摆在水中的运动来估算出在某些特例中这种虚质量增益。他假设这种摆的振动周期受阻力影响不大。两个具有相似摆锤而周期相等的单摆,一个在空气中,另一个在水中时,它们的长度应当与两个摆锤在各自媒质中的重量成正比。但是,如果摆锤的有效质量因携带了流体而增加,则这关系就会被扰乱。迪比阿根据所观察到的这种差异而推算出,在水中的一个球形摆锤的有效质量的增加量是其体积约相当于摆锤一半的水的质量,而且摆锤直径或密度或者悬置系长度的差别对这个关系影响不大。他还试图为其他简单形状的摆找出类似关系,并想通过摆实验来比较不同密度媒质的阻力。贝塞尔在十九世纪对摆的这些问题进行了更带根本性的研究。