1
十八世纪科学、技术和哲学史
1.5.2 二、特殊问题
二、特殊问题
丹·伯努利

丹尼尔·伯努利热衷于利用新的分析法解决一些困难的力学问题,这些问题用惠更斯以及牛顿在其《原理》中所采取的几何方法是无望成功地加以解决的。因此,应当把他看做是称为数理物理学的那个科学分支的主要奠基人之一。他把活劲守恒原理明确地引入力学(惠更斯在研究复摆时已隐约知道这条原理)。伯努利在他对流体运动的研究中始终应用这条原理,这些研究发表于他的《流体动力学》(Hydrodynamica)(斯特拉斯堡,1738年)。虽然他因此而认识到这条原理具有十分重要的意义,但真正确立它们普遍有效性,把整个自然科学建立在它上面,则是十九世纪的事。

图22—丹尼尔·伯努利

伯努利在他的流体力学论著中研究了支配容器中液体流动以及由之引起的反作用和碰撞的定量定律。他还研究了管中流体的流动和振荡问题、涡旋问题以及水力学原理等等。不过,最令人感兴趣的是第十章,那里试图对气体的实验定律作力学的解释。伯努利设想气体乃由向四面八方高速运动的微粒组成,因它们反复碰撞而对容器产生压力。伯努利设想有一大群这种微粒被束缚在配有活动的加重活塞的汽缸中,计算出随着压降活塞以使体积按一定比例减小而必然造成的压强增加。这样,伯努利便推出了玻义耳定律。他把温度升高造成的气体压强增加归因于微粒速度增加,而压强与这速度的平方成正比。这样,丹尼尔·伯努利成为气体分子运动论的奠基者。这个理论在十九世纪由焦耳、克伦尼希、克劳胥斯以及他们的后继者发展得较为完善。

罗宾斯

与落体和抛射体运动有关的力学问题也属于十八世纪里研究的力学问题。伽利略以他关于这类运动的理论在力学领域中开辟了一个新纪元。但他不得已地撇下一个基本因素即空气的阻力而未加考虑,尽管他充分认识到它的重要性。牛顿第一个提出一条描述液体和气体对运动物体的阻力的定律。他假设,一种给定媒质对一给定物体的阻力与物体速度的平方成正比。根据牛顿的提议做的一些实验对于平均速度证实了这一假设。第一个试图研究在空气阻力的影响下一个抛射体划出的路径的人是约翰·伯努利。但是,他发现,他所掌握的数学分析还不足以胜任这一任务,只有实验和计算的结合才有希望给予这个弹道学基本问题一个近似解。本杰明·罗宾斯在这方面获得了最为成功的进展。他的《新射击原理》(New Principles of Gunnery)(伦敦,1742年)由欧勒编辑出版了德文本,题为《新炮学原理》(Neue Grundsätze der Artillerie)(柏林,1745年)。罗宾斯表明,牛顿定律只适用于低速度;对于较高速度,阻力的增加远比牛顿定律所考虑到的为快。为了能确定一个射弹在其轨道上任一给定点的速度,罗宾斯制造了他的“冲击摆”。一个相当大重量的物体被悬吊起来,以使它能来回摆动。如果将一个球射向这摆,那么,按照碰撞定律,根据球和摆的重量以及摆的摆度,就可推算出球的碰撞速度。因为,如设球和摆(看成一个单摆)的重量分别为m和M,在碰撞后以共同速度V开始运动,那么,球在碰撞时刻的速度v就可由下列方程得到:

mv=(M+m)·v,它给出v=[(M+m)/m]·v

自从伯努利和罗宾斯时代,特别是自从航空学兴起以来,人们从理论上和实验上广泛研究了气体和液体对运动物体的阻力效应。但是,由于所涉及的因素十分复杂,这个问题至今尚未最后解决。

欧勒

伽利略以及后来的惠更斯和莱布尼茨都曾试图研究悬链线,即一根两端固定的均匀链由于自重而弛垂所呈的曲线,但均未成功。雅各布·伯努利大概最早正确地定义这种曲线的形状(并附有一个证明)(载Acta Erudit. ,1691和1694,参见Ostwald:Klassiker,No.175)。欧勒在这个问题上应用了变分法。他从没有弹性起作用的简单悬链线问题开始,继而研究一根弹性带在给定力作用下所呈现的曲线。人们早就熟知这样形成的图形。图23所示的属于最为人们熟悉的图形。这是一根鲸骨带或钢带在B点固定、两端A、C承受沿方向AD、CD的力作用时所呈的图形。这类弹性曲线问题也用到极大和极小理论,并又导致有关弹性带振动的问题。丹尼尔·伯努利是第一个深入研究了这种类型问题的人。如果这种振动足够地快,那就会产生一个律音,而其本性可以通过实验进行研究。这样,数学分析的结果就可用物理学方法加以证实,由此可获得对于弹性体本性的更深刻的认识。在这个研究领域中,欧勒也起了重要作用。他区分开所研究的问题的种种特殊情形,例如区分开一条弹性带一端固定时的行为和两端都固定时的行为。这样,他就能把那些主要靠张力来维持其弹性的物体(如弹性弦)的振动与那些天然就具有弹性的物体的振动区分开来。克拉尼专门研究了这类振动产生的律音,发现这些律音与欧勒的理论结果十分吻合。

图23—一根弹性钢带受迫而形成的曲线

在欧勒最早的应用数学研究中,有一项涉及牛顿的潮汐理论。鉴于这个问题的重要性,十八世纪初科学院在法国港口进行了大量潮汐观测。结果发现,牛顿的理论仅能部分地解释这些观测。因此,1740年科学院悬赏征求对这个问题的研究。获奖论文中包括欧勒和丹尼尔·伯努利两人提交的应征文。由于他们是在牛顿奠定的基础上进行工作的,所以,他们借助高等分析的工具,能够考虑到共同决定潮汐的多种环境因素。因此,举例说来,他们能粗略地计算出高潮落后于月球中天时刻的时间。

欧勒对光学研究的贡献将在第七章中讨论。

1750年,西格纳说明了他发明的水轮。这件事导致欧勒去研究应用力学中的一个重要问题。这促使他撰写了有关运动水反作用所驱动的机器的理论的论著(Mém.de l’Acad.Roy.des Sciences,Berlin,1754,p.227ff. ,或Ostwald:Klassiker,No.182)。西格纳和欧勒的两部著作已证明对于涡轮机的制造有着根本性的重要意义。即使在今天,欧勒的论著也没有完全过时。欧勒在这部著作中解决了计算一台水力机对应于一给定水位降落和耗水量的工作性能的问题。他又进一步以一系列实例表明了,如何计算涡轮机在给定条件下的最高可能工作性能。

克勒洛和达朗贝

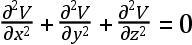
克勒洛和达朗贝对数理物理学作出了一些宝贵贡献。因为,他们发明了解这个领域中和他们对一些特殊问题的研究中反复出现的一些重要类型微分方程的方法。拉格朗日则作出了具有更深远意义的类似贡献。特别是,他推进了对偏微分方程的处理以及引入了一个物体具有对邻近物体施加引力或斥力的位势的概念。后来格林首先称这个概念为位势。这个概念由拉普拉斯加以发展(Mém.de l’Acad.Roy.des Sciences,Paris,1787,p.252),他证明,在自由空间中,位势(V)满足微分方程 。拉普拉斯还以其毛细作用理论和修正牛顿的声速公式而名垂数理物理学史。

傅里叶和泊松把更高发展水平的数学分析应用于物理学问题,但这属于十九世纪。