第十二节 程序教学法
程序教学法来源于美国的鲁莱西设计的一种进行自动教学机器,利用这种机器,把教师从教学的具体事务中解脱出来,节省时间和精力。这种设想,当时没有引起重视和推广。直至1945年,美国心理学家斯金纳重新提出,才引起广大心理学和教育界人士的重视。
程序教学法是指依靠教学机器和程序教材,呈现学习程序,包括问题的显示,学生的反映和将反映的正误情况,反馈给学生,使学习者进行个别学习的一种教学方法。程序教学法的理论基础是斯金纳的操作性条件反射说和强化理论。程序教学法是老师根据学生学习过程发展的特性,将教材分解为一步一步的小步子,每一步或以填空,或以选择,或以回答方式提出问题。要求学生对每一步产生一个反应,及时强化,促进后一步的反应。这样可使学生在学习中增加正确率、减少错误率,从而掌握学习技能,使学生得到稳步前进。程序教学主要有两类,即直线式的程序和分支式的程序。
直线式程序是斯金纳首创的。其教学过程是:把学习材料由浅入深地分为若干“小单元”,以直线式的编排,每一个小单元内容写在一张卡片上,依次呈现给学生。在呈现每一个单元时,要求学生进行对答对应,如果答对了,机器就呈现出正确答案,然后进入下一步,否则,继续思考同答。其模式为:①—②—③……
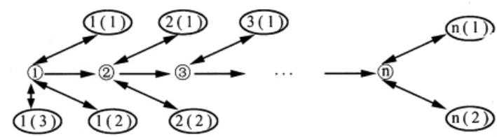
分支式程序是美国心理学家克洛德创立的。它是直线式程序的发展,采用多重选择反应,以适应个别差异的需要。其教学过程是:将教材内容依次分为若干单元呈现给学生,在学生阅读了一个单元的教材之后,立即对他进行测验(测验题有正、误的多项选择答案),如果选对了,就引进新的内容,进入下一单元的学习;如果选错了,便引向一个适宜的单元,冉继续学习,或者回到先前的单元再学习一遍,然后又进行问题回答,直到回答正确后进人下一单元的学习。其模式如图25:

图25
分支式程序的进一步发展,是利用计算机进行辅助教学(CAI)。
计算机辅助教学(Computer Assisted Instruction简记为CAI)是指利用计算机帮助教师执行教学功能,包括计算机辅助学习(computer Assisted Learning简记为CAL)和计算机辅助训练(Computer Assisted Training简记为CAT)两个方面。它的基本原理就是使计算机拥有教师的功能和物象的模拟变化。欲使计算机替代教师进行教学,首先要设计适合计算机使用的教材,通常将课程内容划分成小的教学单元(每个单元介绍一个概念或原理),每个教学单元中,教师必须详细规定以什么形式呈现什么内容和提什么问题,并力求预测和预置学生所有可能的回答和对学生回答的评价反馈,然后,选用适宜的计算机语言编写教学程序,将各教学单元及单元间的顺序衔接输人计算机,使其具有信息的呈现、提问、应答、接受、判别及信息反馈等功能。将计算机实现的教材叫做教学软件(Instuctional Software)或课件(Courseware)。典型的CAI是学生与计算机之间围绕课件展开的一系列交互活动,学生通常坐在联机终端设备面前与计算机“对话”,即学生以键盘或光笔等输入信息并接受计算机通过显示器呈现的信息(文字、图像、声音),从而达到学习的目的。
CAI的基本过程是:
1.选择课目。
CAI系统中通常存储着许多课目的课件,学生可根据兴趣或教师的安排选定一个课目。计算机接受选择信息并将被选课目调入内存运行。
2.呈现教材。
计算机呈现一段教学内容。
3.接受教学材料。
学生开动脑筋,理解和记忆教学内容。
4.提问。
计算机向学生围绕教学内容提问,并要求学生作答。
5.反应。
学生通过思考,对计算机的提问作出反应,通过键盘输入。
6评价与反馈。
计算机接受学生的作答,并对其做出正确与否的评价,将评价结果反馈(显示)给学生。
7.注意反馈信息。
学生对计算机所做的评价加以思考,检查作答的过程与结果,巩固或校正思维过程,学得知识。
8.作教学决策。
完成上述单元教学后,计算机要根据某种教学策略来决定下一步的教学行动,如选择教授新内容或者复习、补习、测验等。
CAI是一种全新的教学方式,主要有以下几个特点。
1.交互性。
交互性是指学生与计算机之间有频繁的直接“沟通”,按双方在交互活动中的控制权不同,可分为三种方式:(1)计算机主动;(2)学生主动;(3)混交主动。根据教学内容与过程的需要选择活动的方式。
2.个别化。
个别化即根据学生的个人特点因材施教,主要有以下三点:(1)自定步调,即CAI允许学生自行控制他的学习速度;(2)难度适宜,即CAI能够根据学生当前的知识水平,为他提供难度适宜的学习材料;(3)个性适应,即CAI能提供不同的学习风格以适应不同个性的学生。
3.CAI的局限。
CAI本质上是对教师行为的模拟,计算机自身并不能教学,而是由经验丰富的教师、心理学家、程序员“教会”它教学,在教学过程中,CAI程序一经设定即为机械化操作,必定会失去课堂教学的气氛,失去师生对话的情感交流,对学生的复杂学习心理与突发问题也难以处理。另外,CAI对教师、学生的计算机能力提出较高的要求,教育经济投入也必然提供足够的保障,这都可能成为CAI运行的障碍。
CAI有多种教学模式,常用的有操作与练习、个别辅导、对话、模拟、问题求解、游戏六种基本模式。
1.操作与练习(drill and practice)。
即由计算机向学生显示习题,要求学生联机解答。若学生回答正确,计算机予以肯定并呈现下一个问题;若学生回答不正确,计算机或告诉他正确答案,再向他显示同类问题,或给予适当提示后,再显示同一问题。此模式的目的不是向学生传授新知识,而在于通过大量的习题,达到巩固知识和形成技能的目的。
2.个别指导(tutorial)。
此模式模拟个别化的讲授型教学的情景,即由计算机扮演教师的角色,向学生呈现一小段教学内容,包括正文及有关例子,然后向学生提问有关问题,检验他的理解情况。如果回答正确,计算机将转向下一个教学单元,否则将采取适当的补救措施,帮助学生掌握当前的单元。
3.对话(dialog)。
允许学生与计算机进行比较自由的通讯。一方面,当计算机提问时,允许学生以自己的语言表达问题的解答;另一方面,允许学生主动提出与课题有关的问题。因此,此模式是学生与计算机之间形成真正的“对话”。
对话模式有助于CAI的启发性,但在课件设计上比较困难,因为首先涉及自然语言的理解问题,需用人工智能技术。
4.模拟(simulation)。
计算机可以模拟真实现象,在CAI中,可调用计算机的模拟功能对数学对象根据需要实施模拟,如利用计算机产生动态几何图形使学生得到本来无法获得的直观认识,发展学生的几何能力。
5.游戏(game)。
将所学知识或所需培养的能力用游戏的形式表现出来,集知识性、教育性、趣味性于一体,起到“寓教于乐”的作用。例如,用赛车游戏来比赛做算术的速度,用台球游戏来训练学生对反射、碰撞等过程中几何角度的运算能力,利用迷宫游戏来训练学生的组合能力等。
6.问题求解(Problem Solving)。
利用计算机解数学问题。例如,利用计算机绘图,利用计算机解决数学模型化问题等。
综上所述,计算机辅助教学是数学教育中十分有效的途径,也是数学课堂教学的一种变革,应积极探索和应用。
我们在程序教学法过程中,主要通过反馈,即对学生对每一步的反应及时反馈,及时掌握学生学习的正确率或错误率。
程序教学法的优点:由于要求学生自己动手、动脑去独立完成学习任务,因此有利于培养自学能力和养成自学习惯;有利于因材施教;可以排除师资条件对教学的影响,保证教学质量的提高。
程序教学法的缺点:教学过程呆板、单调,缺乏灵活性,容易束缚学生创造思维的发展,不利于能力的培养;不利于发挥教师的主导作用,缺乏师生之间的情感交流;教师难以了解学生的学习心理。