第十一节 变式教学法
变式是指相对某种范式(即数学教材中具体的数学思维成果,含基本知识、知识结构、典型问题、思维模式等)的变化形式,就是不断变更问题的情境或改变思维的角度,在保持事物的本质特征不变的情况下,使事物的非本质属性不断迁移的变化方式。变式有多种形式,如“形式变式”、“内容变式”、“方法变式”等。变式是模仿与创新的中介,是创新的重要途径。变式既是一种重要的思想方法,又是一种重要的教学途径。采用变式方式进行教学叫做变式教学。变式教学要求在课堂上通过变式展示知识发生、发展、形成的完整的认知过程。因此,变式教学有利于培养学生研究、探究问题的能力,是“三基”教学、思维训练和能力培养的重要途径。
运用变式教学法进行教学,除应遵循一般的教学原则外,还必须贯彻以下几条重要原则:
1.目标导向原则。
数学教学是师生围绕既定目标而进行的双向活动。因此,教师首先要根据教学内容和学生实际制定出具体明确、切实可行的教学目标,然后,在课堂教学过程中采用变式教学模式,学生在教师启发、引导下完成既定的教学目标。
2.启迪思维原则。
数学教学是思维活动的教学。学生思维的积极性和主动性依赖于教师的循循善诱、精心启发。运用变式教学模式教学,教师必须精心设计问题情境,“把问题作为教学的出发点”,“让问题处于学生思维水平的最近发展区”。引导学生逐步发现问题、提出问题、分析问题、解决问题。通过创设思维情境,设置思维障碍,舔设思维阶梯等手段激发学生的好奇心,唤起学生的求知欲。
3.暴露过程原则。
数学教学是教学思维活动过程的教学。让学生看到思维过程,主动参与知识的发现,是提高学生学习积极性和发展其数学能力的有效措施。运用变式教学法教学,讲解概念要求构建情境,提供素材,揭示概念的形成过程,讲解定理(公式)要求模拟定理(公式)的发现过程,例题、习题的教学要求探索变式,对解题思路进行内化、深化,总结升华。也就是说,应注意数学概念、公式、定理、法则的提出过程,知识的形成、发展过程,解题思路的探索过程,解题方法和规律的概括过程,使学生在这些“过程”中展开思维,从而发展他们的能力。
4.主体参与原则。
运用变式教学法教学,特别强调学生的主体地位与主动参与,注重让学生自己动脑、动口、动手,让他们主动地获取知识,在实践中去观察、探索、发现问题和解决问题。而教师一方面应努力创设启发引导的问题情境,营造民主、宽松、和谐的教学氛围,形成相互尊重、信任、理解、合作的人际关系,培养学生主动参与的意识;另一方面应运用灵活新颖的教学方法来激发学生的主动性、创造性和求知欲,使学习成为真正意义上的学生个体的内在需要和追求,成为学习主体表现自我的自由方式。
5.探索创新原则。
在应用变式教学法的教学过程中,教师要善于运用设疑、启发、鼓励、指导、评价、总结的策略,教学生学会学习,使学生乐学、善学。对教师的具体要求是:(1)运用变式教学,发掘教材教法新意,激发学生学习的动机和兴趣。(2)营造民主、安全、幽默、开放、温暖、相互支持的创新学习氛围。(3)精心设计创造性的问题。(4)对于已具备基本探索意识和能力的学生,鼓励其自主创新。
6.因课而异原则。
数学教学模式受到教学内容、教学目标和教学思想的制约。任何一种教学模式都不是万能的,它只能适合某一类课型,不同的课型完成不同的教学任务,而教学任务的多样性,决定了教学模式的多样化。
“变式教学”的基本内容包括知识形成过程中的问题设计。基本概念辨析型变式;定理、公式的深化变式、多证变式和变式应用;例题、习题的一题多解、一法多用、一题多变、多题归一;教法、学法的切换等。
例1 弦切角概念的辨析变式设计。
在图22中,若AB为⊙O切线,则∠CAB是⊙O的弦切角的是。

图22
例2 直线垂直于平面的判定定理的形成变式。
如图23所示,四边形ABCD中,删:BA-BC,DA=DC,AC与肋相交于O,问AC与肋的位置关系怎样?

图23
变式1:如图23把图(1)中四边形ABCD沿AC折成空间四边形,猜想AC与平面BOD有怎样的位置关系?将变式1变成数学命题,得变式2:如图24若AC∩BO∩DO=O,BO、DO∈α,AC⊥BO,AC⊥DO,则AC⊥α。有了前面的铺垫,在教师的引导下容易得到变式2的证明,证明完成后,讨论问题:变式2中是否必须有AC∩BO=O,AC∩DO=O?是否一定要BO∩DO=O?引导学生讨论得出变式3,即,

图24
定理:若m∩α,n∩α,m∩n=B,l⊥m,
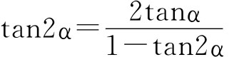
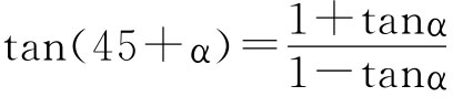
例3两角和的正切公式的变式。公式:tan(α+β)=
以-β代β,得:
变式1:
利用特殊化的思想可得:
变式2:
变式3:
变式4:tan(π+β)=tanβ(诱导公式)
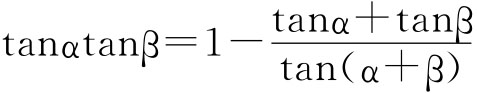
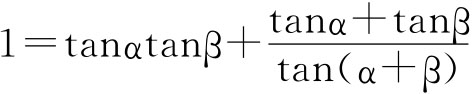
tan(π-β)=-tanβ从而推广引申的角度对公式进行变式,可得变式5:

在变式5中:含α+β+γ=kπ(K∈z)又得变式6:α+β+γ=kπ(K∈h)
tanαtanβ+tanγ=tanαtanβtanr从数学美的角度对公式进行变式,可得:
变式7:tanα+tanβ=tan(α+β)(1-tanαtanβ)
变式8:
变式9: