第二节 观察与实验
观察和实验(又称实验,对数学学科似称尝试更适合),是发现与解决问题中的最形象、最具体的手段之一。在一般的科学活动中,观察与实验是极为重要的科学方法。观察与实验是收集科学事实,获取科学研究第一手材料的重要途径,是形成、论证及检验科学理论的最基本的实践活动。然而,长期以来,有人认为数学是高度抽象和逻辑性极强的学科,不需形象和具体的思考和操作,推理证明才是数学的主旋律。事实上,这种印象是片面的,越是抽象和复杂就越需要形象和具体的辅助与配合。观察与实验在数学的整个发展过程中起着重要的作用,在数学教学中也应给予充分的重视。
观察法是指人们对周围世界客观事物和现象在其自然条件下,按照客观事物本身存在的实际情况,研究和确定它们的性质和关系,从而获得经验材料的一种方法。
欧拉说过:“数学这门学科,需要观察还需要实验”。实验是人们根据一定的研究目的,利用仪器或工具对周围世界的客观事物与现象,进行人为的控制、模仿,排除干扰突出主要因素,在最有利的条件下考察和研究它们的性质和关系,从而获得经验材料的一种方法。
20世纪最伟大的数学家冯·诺依曼指出“大多数最好的数学灵感来源于经验”,从数学发展的意义上来说,数学作为一种源于社会实践的理性构造的学科,当它远离实践的经验之源而发展时,就会逐渐分化成为众多而又无前途的支流。唯一的解决方法就是使其回到本源,返老还童。这种观念,是数学家对数学的一种本质认识。
这种现象在我国现代数学教育尤其是基础教育中长期存在。我国数学教育格外注重形式,注重数学自身的结构,无论数学教学内容、数学习题都远离社会生活,忽视与社会实践问题相联的数学内容,使中小学数学学习变成“已知一求证”式的逻辑演绎形式。学生的数学观察与实验能力没有得到培养,反而几乎完全丧失,学生只会按教师、教材、习题的要求去解题。
通过在数学教学中培养学生的观察和实验能力,可以使学生掌握和运用观察和实验的能力,利用学生的个体经验,运用数学解决问题的能力和对数学的兴趣及信心。
在数学研究中,通过观察与实验不仅可以收集新材料、获得新知识,而且常常导致数学的发现与理论的创新。观察与实验方法在数学中的运用可以大体分为两个层次:一、运用观察和实验来解决和验证数学理论;二、运用观察和实验方法来解决具体的数学问题。在中学数学教学中,就是要运用观察和实验方法来解决一些具体的数学习题。
在数学史中,有大量的例子能说明在数学中如何通过观察与实验来发现新的事实、得到新的成果。几何学主要是研究空间物体、图形的形状和大小等性质的学科,在其中,观察和实验的色彩就更为浓烈。在几何学的发展进程中,实验的或者说经验的几何是其中的一个重要阶段。
尺规作图一直是一个实验的过程,人类会作三边形、正五边形和正十二边形,但是在作正七边形、正十一边形和正十七边形时却遇到了极大的困难。这个历史难题被高斯在大学一年级时就解决了。当高斯告诉他的老师时,据说老师不相信竞把高斯赶出了家门。高斯不仅在实验的基础上完成了正十七边形的尺规作图,而且还进一步证明了这个定理:凡边数为费马素数(即22n+1为素数)的正多边形可用尺规作图,当边数是素数但不是费马数时,这样的正多边形不能用尺规作出。高斯的成功,不仅在于解决了正十七边形的尺规作图,更为奇妙的是,他把22n+1形的数与正多边形的尺规作图联系了起来。
中国古代有一个计算圆弓形的面积公式,这个公式发现于《九章算术》中。在图13中,C表示圆弓形的弦,S表示从弓形的弦的中点到弓形的弧的中点的距离。由弓形的弧的中点引两条割线,与C的延长线相交,使得两延长部分都等于S的一半。通过目测可知圆弓形的面积近似地等于由C所在的直线与两条割线围成的等腰三角形的面积。假设这两个面积完全相等,我们便得到了中国古代计算圆弓形的面积公式A=S(C+S)/2,通过这个公式,我们不难推得,计算公式相当于π=3。

图13
在中学数学教学中,数学观察与实验主要被用来观察实际生活中存在的数量问题、空间结构问题。比如作简单的几何图形,观察几何图形的相互位置,从这些观察中自己动手去做、去实践,并得出一些数学结论。
20世纪电子计算机的发展,为数学的实验提供了更多的可能,实验的过程是探索的过程,是发现的过程。数学工作者可以在计算机上做过去只有笔和纸的时代连想都不敢想的事情,“四色问题”就是一个很好的例子。
在数学教学中,为了更好地使学生掌握知识、培养他们的创新意识和能力,要尽可能地再现数学知识和结论的发现过程,因此,观察与实验应成为数学教学中的探索、学习知识的重要方法和开展实践活动的主要形式。
在研究计算圆锥体积公式的教学中,我们常常通过这样的实验作为发现结论的过程,将圆锥内装满水或沙子,然后倒人等底等高的圆柱内,学生通过实验能够发现二者的体积之间的关系。
再如,在探讨球的表面积时,可作如下实验:在一个木制圆盘的中心竖直地钉上一个钉子,再将一个与圆盘的半径相同的木制半球的顶部也钉上一个钉子。现在,把一根粗绳子的一端系在木制圆盘的钉子上,并且围绕着钉子缠绕细的绳子,围着木球的钉子缠绕起来,直到盖满木球为止,再量所用绳子的长度。比较两次绳子所用长度,将会发现,后者非常接近地等于前者的两倍,重复这样的实验,结果总是基本相同。由此,可以猜测有这样的结论:该半球的表面积是圆盘的面积的两倍,或者一个球的面积等于其球大圆面积的四倍。
在数学教学中,实验的内涵和形式应该是很丰富的,拼剪图形、折纸是研究几何图形性质的很好的实验形式。而观察则是探求规律、寻找关系的好方法。如观察图14所示,它可以看成是由n。个点组成的方阵,以大小不同的正方形分成组:1,4,9,A,n2,观察相邻的两组之间有如下关系:n2+(2n+1):(n+1)2。

图14
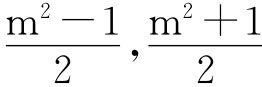
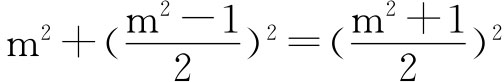
女果令2n+1=m2,那么
,
,则有
。
上面的式子与毕达哥拉斯定理的形式相同,称m2,
为一组毕达哥拉斯数,上面观察图14所示及分析的过程实际上就是毕达哥拉斯数产生的过程。
200年前,德国数学家歌德巴赫(G.Goldbach)提出了一个命题:“凡大于4的偶数都可以表示成两个素数的和”。由于这个命题至今还未能证明,人们称之为“歌德巴赫猜想”,它的发现完全来自于观察。
概率统计作为数学的一个重要的分支,在其研究中充满了观察和实验蒲丰(C.Buffon)的投针实验是运用实验法研究几何概率的典型范例。在平地上画出一组间隔距离为一寸的平行线,以一寸长的针(质量均匀的细针)随机地掷到画有平行线的平地上,布丰利用实验的方法(具体地投针),验证了利用模型的方法得到的结论,即针与平行线接触的概率为2/π。
数列有许多有趣的性质,就是通过对兔子繁殖问题的观察与实验的基础上得到的。
在数学解题时,我们往往通过观察寻找特征、实验解题的过程;通过观察与已有知识或方法的联系,实验解决问题的方法;通过观察已知与未知的联系,实验找出它们之间的联系并由此解决问题。
例利用观察发现命题。
(1)彼埃尔·费儿马(1601—1665年)在1640年观察了一些素数:3,5,7,11,17,19,…其中数5,13和17可表示为两个平方数之和。5=12+22,13=22+32,17=12+42,而其余的数如3,7,11,19就不能表示得出了:“被4除时得出余数1的任意一个素数的平方之和”。后来,欧拉在1742—1747年之间找到了第一个证明,再后来,拉格朗日、察基儿也相继证明了该命题。
(2)观察勾股数32+42=52,52+122=132,72+242=252人猜想:可否找到一个满足x2+y2=z2。的正整数解(x,y,z)的公式呢?
x=3,5,7,y=4,12,24,z=5,13,25
x=22-12,32-22,42-32观察:y=2×2×1,2×3×2,2×4×3
z=22+12.32+22,42+32由此得出一个猜想:x=a2-b2,y=2ab,z=a2+b2其中a,b取任意正整数且a>b,代入x2+y2=z2,检验即可。
观察与实践的方法,是强调参与和实践的方法,它也可以为解题作些准备。在中学数学学习和数学教学中,应当学会利用观察与实验来证明或帮助数学公式、定理的证明。例如关于多面体顶点数v、面数E、棱数F关系的欧拉公式:E+V-F=2,就可以通过观察和实验说明或证明它的正确性。总之,由于初等数学的学习是对数学的基础知识和对数学与日常生活中密切相连部分的学习,所以无论是从数学的手段还是从数学的目标来说,观察与实验都有着十分重要的作用。