第五节 模糊数学的数学思维方法
在数学发展过程中,数学的对象都是明确无误的。数学的语言、数学的方法、数学的思维方法都是要表述数学对象的确定性,而且更为重要的是数学的语言可以准确区分日常语言的模糊性。数学的概念、数学的命题从来都是确定性的表达,就是在概念论中讨论研究随机现象时,我们所讨论对象本身存在的确定性也是毫无疑问的,因为一种现象要么出现、要么不出现是确定的。例如,一个集合是指具有某种性质的事物全体,一个元素要么属于这个集合,要么不属于这个集合,二者必须有一个明确的存在。
在日常语言中,“是”与“非”的引用很容易引起混淆。“是”在日常用语中可以有多种表示的含意,但是集合论的语言表述却可以把“是”的不同语意准确地区别开来。也就是说,集合论中的语言在表述“是”的语意时是完全有差异的。例如:
表示相等:“能被2整除的数是偶数”(此处“是”表示集合相等);
表示属于:“2是偶数”(此处“是”表示元素属于集合);
表示包含于:“能被6整除的数是偶数”(此处“是”表示子集含于全集)。
同样的道理,对于“非”的日常用语中,我们也可以分别有“不相等”、“不属于”、“不包含于”三种解释。中国古代曾有公孙龙“白马非马”之辩,如果我们用数学的语言来分析“非”的含意,当“非”作“不相等”时,可知这个命题是正确的,但是若把“非”作为“不包含于”来解释,就会得出“白马”这个子集不含于“马”的集合之内,显然这种解释就不正确了。从这里人们可以看出,数学语言在表现差异时,是最精确、最简便的一种语言形式。数学是人们对客观世界的一种思维表示形式,然而在主观世界中还的确有那些没有明确界线,亦此亦彼的现象。许多现象的差异在变化、过渡,差异性在变化的中间阶段互相融合,非此即彼的对立往往会在经过中间状态时相互过渡。
明晰数学的理论基础是普通集合理论,模糊数学的理论基础则是模糊集合论。美国数学家查德(Zadeh)提出了模糊集合的理论,并从此展开了对有关模糊数学的研究。
模糊数学认为,普通集合是一个明确的集合。对于这种集合,一个事物与它有明确的隶属关系,要么属于这个集合,要么不属于这个集合。如果把这种特征看作是一种函数关系式,则可以写成。

这里的A(u),称为集合A的特征函数。
对于模糊集合,一个事物与它没有“属于”或“不属于”的绝对分明的隶属关系。也就是说,一个事物可能有一大部分或一小部分属于这个集合。即一个事物属于这个集合处于“亦此亦彼”的模糊状态。模糊集合论的创始人查德给出了集合的隶属函数的概念,隶属函数是把特征函数值由二值{0,1}推广到[0,1]闭区间上的任意值。通常把隶属函数表示u(u),它满足0≤u(u)≤1(或记作u(u)∈[0,1])。
所谓给定论域U上的一个模糊子集A是指:对于任意u∈U,都指定一个数u(u)∈[0,1],叫U对A的隶属度,函数U(U)叫做A的隶属函数。
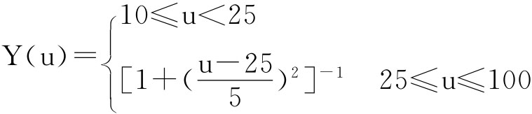
例如,“年轻”是一个模糊概念,确定一个人是否年轻是困难的,因为它没有明确的界线。现在我们用模糊集合的方法就可以划分一个人的年轻“程度”。取论域u=[0,100](年龄)。设描述“年轻”的集合为Y。年龄U属于Y的隶属度为

由Y(23)=1,Y(40)=0.1知,23岁的人隶属年轻的程度为100%,而40岁的人隶属年轻人的程度为10%。
有关隶属函数的选取,是模糊集合中一个较为复杂的问题,目前尚无固定和通用的模式。普通集合与模糊集合有着内在联系,当隶属函数u(u)只取[0,1]闭区间的两个端点值0,1时,隶属函数就退化为特征函数A(u),从而模糊集合也就转化为普通集合了。
模糊集合作为一门新兴的学科迅速发展,有的学者甚至称模糊数学是整个数学发展的第三个里程碑。数学界目前对此说法尚有争议,但不争的事实是,模糊数学无论是它的理论基础还是实际应用,都得到广泛的认同和发展。在基础理论方面,模糊数学研究的课题已经涉及数学的许多分支。在实际应用方面,模糊数学已经在物理、化学、生物、医学、心理学、气象学、工业技术和人工智能等众多方面取得了显著的效益。
模糊集合的出现以及模糊数学的发展,是对传统数学方法、数学思维的一个冲击。传统的数学概念、数学理论与数学方法,都是界定、分析和处理事物的差异,并在数学的意义上使差异确定化、数量化或构造化。然而,模糊集合的出现,打破了传统数学的思维方式,把事物差异的不确定性代入了数学的范围。它把以往数学未曾进入的模糊不清的中介状态引入了数学思维的范畴。模糊数学的思维使以往思维中的排中律出现了困难,因为模糊数学允许对处于中间状态的事物给予数学的表述。在思维方式的意义上,模糊数学扩大了数学思维的领域,使数学涉足了它以前未曾涉足的或者说以前无法表现的领域。
模糊数学在处理数学问题时,采用的方法是用“隶属函数”所表示的“隶属程度”来表示此物“亦此亦彼”的模糊性。从思维方法的意义上分析,模糊数学在处理确定与模糊这一对矛盾时,使分明性、确定性处于主导地位,即用确定性隶属程度来判断模糊性;从思维方法上来说,是用已有的明确性的数学方式来逼近模糊状态,用确定性的数学形式、数学方法把处于中介状态的事物描述出来。从用隶属函数把“亦此亦彼”的中间状态数量化的意义上来分析,模糊数学创立了一种新的数学思维方式,同时给出一种新的隶属函数的数学方法。当然也正是隶属函数的建立,才使模糊数学取得了广泛的成功。
模糊数学作为思维方法给我们如下三点启示:
第一,数学思维是人类不受限制的可探索一切领域的思维形式。数学思维可以考察偶然发生的随机事件,并寻找其背后的规律,同时数学思维也可以把模糊不清的中介状态,给出明确的数学表述。
第二,模糊数学的思维方式扩大了数学的应用领域,不仅在数学自身的领域,更重要的是在信息革命的计算机领域。利用模糊思维的方式,计算机将大大提高模糊识别、模糊选择、模糊决策的能力。
第三,模糊数学的方法及其思维方式,在方法论的意义上,使人们对“同一”与“差异”的理解有了新的启示。同一与差异是经典的数学方法,普通集合论就是利用同一与差异作为数学方法来描述的。普通集合论是指具有某个同一性质的事件全体,与同一性质相差异的就被排斥在外。现在模糊数学为这种同一与差异做出了新的解释,在隶属程度的意义下,把差异与同一联系起来,并且将“部分的同一”数量化,这无疑是对方法论的重大贡献。