第四节 演绎推理思想
演绎推理思想是从一般原理推出个别结论的逻辑思想方法。其特点是:在推理的形式合乎逻辑的条件下,运用演绎法从真实的前提一定能推出真实的结论。因此,演绎推理是一种必然性推理。
演绎推理法是数学论证表述的基本方法,这种方法在中学数学中有明显的体现。可以说,在中学数学中,演绎法可谓一统天下,无论是教材的编排,还是教师的课堂教学,甚至学生的解题过程,都在运用演绎推理。所有的这些都表明:第一,演绎法是数学中的一个重要的方法,无论是数学的教学、学习都应当高度重视演绎推理方法;第二,正确处理好演绎推理方法的教学方式,使学生可以比较容易地学习和运用演绎法。
演绎推理依据导出新判断(结论)的已知判断(前提)是否唯一或是否联言可分为直接推理与间接推理。而按前提与结论之间的结构关系则具体形式主要有三段论、假言推理、选言推理、关系推理等。在数学中最为基础而且应用较多的则是三段论,这里我们作简要的介绍。
所谓“三段论”就是由两个判断(其中至少有一个是全称判断)得出第三个判断的一种推理方法。可以这样认为,数学的理论证明就是由这种三段论式的演绎法联结成的理论表述形式。
例如,凡同边数的正多边形都是相似的。这两个正多边形的边数是相同的,所以这两个正多边形也是相似的。
这里有三个判断,第一个判断提供了一般的原理原则,叫做三段论式的大前提;第二个判断指出了一个特殊场合的情况,叫做小前提;联合这两个判断,说明一般原则和特殊情况间的联系,因而得出的第三个判断,叫做结论。
任何一个三段论,都是由三个判断组成。而这三个判断中只包含三个不同的概念,其基本模式为:
大前提:一切M都是P(或非P);
小前提:S是肘;
结论:S是P(或非P)。
简述为

图4
这是三段论的第一格。还有三格,即第二至第四格的模式分别是

图5
在一般数学的论证中,我们并不要求列出大前提、小前提、结论这样的演绎推理形式,但是我们必须清楚,演绎法是严格遵守这种三段论式的形式化规则的。
在应用演绎推理方法时我们必须注意以下三点:
第一,掌握演绎法运用的形式化特点。这个形式化的特点要求,在运用演绎法时对数学的符号、公式、命题都必须从形式化的意义上理解它的含义。只有深人理解了符号、公式、命题之间的关系,才能运用演绎法去表述,否则就会使演绎法的使用出现差错。
第二,演绎法作为一种形式化的思维方式、论证方式,必须严格遵守其形式化的规则,虽然在具体论证时可以省略其中某些说明,但必须清楚每一步推理、每一步运算的前提依据是什么,否则就会出现逻辑上或方法上的混乱。
第三,应用形式化的演绎方法时,应当注意前提条件的内涵。如果只注重形式的演绎推理,有时就可能带来错误的结论。
事实上,在解决数学问题时,归纳与演绎两种思维方法往往交替出现,由归纳法去猜测问题的结论或猜测解决问题的方法,再用演绎去完成严格的推理证明。
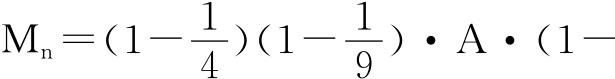
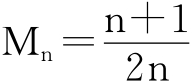
例1 化简
∈N)。
思考与分析:可设
),则
,A于是由不完全归纳猜测,
。然后应用数学归纳法去演绎证明,得到此猜想为真。
为此,教学要采用“归纳与演绎交互为用的原则”。徐利治教授指出:“为了培育既有创造发明能力,又有逻辑论证能力的数学师资和学生,应该在中学和大专院校的数学教材中,采用‘归纳与演绎交互为用的原则’,按照这条原则,不仅应该教学生运用科学归纳法试着去猜结论、猜条件、猜定理、猜证法,而且还要让他们学会从探索性演绎法过渡到纯形式演绎法,能够把预见性的合理命题或定理的证明一丝不苟地建立在逻辑演绎基础上。”
有时不是先用不完全归案法再演绎,而是先演绎推证,获得结论之后再分类归纳。