第二节 函数和方程思想
大千世界的万物之间存在着千丝万缕的联系,事物之间的变化相互影响、相互制约、相互对应。函数正是数学中反映事物之间的联系和变化规律的重要方法。
数学方法的使用是一个漫长的历史过程。大约在15世纪,地球上的大多数人懂得了算术,会做加减乘除的简单运算。然而,最为人们常用而且将会普及的数学方法是什么?
“大概是函数观念”,芝加哥大学的尤什斯金(Usiskin)这样说。确实如此,在现实生活中,函数已经遍布各个领域,有很多现象可以用函数去刻画、表示和研究。随意翻开一份报纸,你就可能看到像股票走势图或者房地产价格变化率等函数图像。出租汽车的里程与计价之间就是一种函数关系,邮寄信件的重量与邮寄费之间是一种函数关系,还有银行的存款与利息之间也是一种函数关系等等。
在中学数学中,关于函数的知识和概念先后三次出现,第一次是在初中三年级时给出的,在一个变化过程中有两个变量戈与箩,如果对于某一范围内的菇的每一个值,y都有唯一的值与它对应,那么就说戈是自变量,y是戈的函数,这是用“变量”的概念来叙述函数的意义;第二次是在高中一年级时给出的,此时是在引进集合与对应等概念的基础上,用集合对应的观点解释函数的定义;最后,在高中三年级学习微积分时对函数作了进一步的介绍。
函数的基本思想是变量与变量之间的对应,掌握了函数思想就可以对中学数学的很多内容有更深刻的理解。这是由于函数是中学数学中很重要的一部分内容,它的重要性一方面是它的实用性,另一方面是它的统摄性。中学数学中的大部分知识都可以统一在函数的观点下,如数、式、方程、不等式、数列等,对于这些内容,如果能够用函数的观点去进一步认识和体会,则对这些知识和函数本身将有更深入的理解。
函数思想的特征主要表现在以下三个方面:
1.函数思想反映的量与量之间的关系是运动变化中的关系。算术研究的是具体的确定的常数以及它们之间的运算关系。代数研究的是一般抽象的未知数和符号所代表的数,并研究确定的常数和不确定的常数之间的依赖关系。函数研究的是变量之间的依赖关系,这与不定方程中不确定常数之间的依赖关系有质的不同。
2.“对应”是函数思想的本质特征。
对于函数y=f(x),我们更重要的是了解y按照怎样的条件所规定的关系依赖于x,即对应法则f是构成函数的基本要素。
3.自变量的蛮化处于主导地位。
函数的值域是由定义域通过对应法则所决定的,自变量的变化范围——定义域是函数的另一个基本要素。
在应用函数思想解题时,我们往往采用基本函数模型方法。也就是从各种复杂的函数中划分出基本函数类,这些基本函数是最常见的、最有用的函数,研究和总结基本函数的图像、性质及其解题的模式(方法),然后把实际问题或其他复杂函数化归为基本函数来解决,这是基本函数模型方法。解题的基本步骤是:
1.确立基本函数模型。在中学数学学习中,重要函数模型有三类:①二次函数y=ax2+bx+c(a≠0);②最简分式函数y=等
);③对数函数y=
。
2.总结基本函数的图像和性质,然后利用它的图像和性质来解题或类比基本函数的研究方法。函数有六大性质:定义域、最值性、周期性、奇偶性、单调性、值域。
3.建立函数,并把非基本函数化归为基本函数来解决。
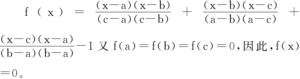
例1 证明恒等式

思考与分析:该题如果利用从左到右进行恒等式变形将显得十分麻烦,但如果利用函数思想,把它看作是函数,再利用一元n次多项式在实数范围内至多有n个零点的思想来解显得非常简洁。

例2 解方程
6-2cos2x-sin4x。
思考与分析:令
。

g(x)=5-(1-sin2x)2≤5.
∴当且仅当l-sinx=1-sin3x=1-sin2x=0时,
f(x)=g(x),即sinx=1,
。
∴原方程的解为
。
本题从表面上看是一个十分复杂的三角方程,如果我们用通常的方法(比如恒等变形、代换等等),很难解决问题。但我们通过构造两个函数f和g,利用函数取极值的条件,巧妙地得到了原方程的解。
利用函数关系探求方程的根、讨论极值或最值问题,通过构造函数解不等式等等,函数方法在这些方面的应用很多见,这样的例子在各种各样的习题集中能很轻易地找到。在此,不做更多的列举。
总之,函数分析的方法是探讨量与量之间的对应关系,并进一步研究与之相关的问题的重要方法,同样也是中学数学中的一个很重要的方法。
纵观方程思想的发展,我们可以发现,方程思想是指通过列方程(或方程组)与解方程(或方程组)来确定数学关系或解决问题的思维方式。它本质上体现了一种模式构造的思想。因此,我们认为,方程思想是反映客观事物数量关系的一种重要的数学模型,它是沟通已知元素与未知元素之间的辩证关系的一种基本思想。其解题的基本程序是:
1.把问题归结为确定一个或几个未知量。
2.列出已知量与未知量之间按照条件必须成立的所有关系式(即方程)。
3.解所得的方程或方程组得出结果。
方程思想通常适用于解决有关方程、函数与不等式等方面的许多问题,这是因为这三者之间存在着某些相似之处,在一定条件下是可以相互转化、相互为用的。
方程思想的核心是运用数学的符号化语言,将问题中已知量和未知量(或参变量)之间的数量关系,抽象为方程(或方程组)、不等式等数学模型,然后通过对方程(或方程组)、不等式的变换求出未知量的值,使问题获解,方程思想体现了已知与未知的对立一。
中学生掌握方程思想可分为三个步骤。第一,学会代数设想。假定问题已解,即未知量客观存在且假设它已求出,然后用字母代表未知量,且与已知量平等对待。有时若想得到更一般的公式化结果,也可以用字母表示已知量。第二,学会代数翻译。透彻分析实际问题中已知量和未知量之间的关系,将用自然语言表达的实际问题翻译成用符号化语言表达的方程或不等式。第三,掌握解方程的思想。方程作为由已知量和未知量构成的条件等式,意味着未知量和已知量一样,享有平等的运算地位,即未知量在这里也变成了运算的对象,和已知量一样也可以参与各种运算。解方程的过程,实质上就是通过对已知量和未知量的重新组合,把未知量转化为已知量的过程,而且根据解题的需要,未知量和已知量还可以交换地位。
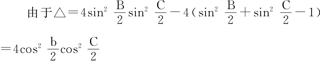
例3 设A,B,C∈(0,π),并且满足cosA+cosB+cosC=1+4sin
,
求证:A+B+C=π
思考与分析:把已知等式化为
看作关于
的方程,可用方程思想求解。
的正根,

由求根公式得:

依题设
故
即A+B+C=π