第五节 学会解答与探索数学题
在学习数学基础知识、数学语言以及数学思想与方法的过程中,必须伴随着解答一定数量的数学习题,否则数学是学不好的。解题既要注意数量,又要讲究质量;既要学会探索解题的门径,又要注意解题的格式;既要发挥数学概念和规律在解题中的指导作用,又要提炼解题的一般方法和技能技巧。
一、注意发掘题目的隐含条件
高中数学题的结构一般比较复杂,具有综合性。在审题时,除了明确题中所涉及的概念和关系这些明显条件外,更要注重发掘题目中的隐含条件。发掘隐含条件的方法很多,要具体问题具体分析,有些从概念特征出发,有些从图形特征出发,有些从结构特征出发,有些从相关知识出发,有些从结论中发掘。
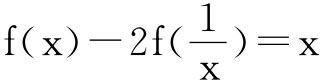
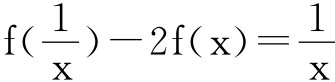
例设f(x)是实函数,且

求证:
分析:观察式①的结构,发现式①中含有两个未知函数f(x)和
,x和
互为倒数,把x换以
,就可得到隐含于式①中的另一个条件:

从这两个条件中,容易解出f(x)。
二、注意综合沟通、相互转化
高中数学的各分支——代数、三角、立体几何、解析几何等知识和方法是相互联系,相互沟通,可以相互转化的。解题时,要重视运用形数结合和转化的思想方法,多渠道地探索解题途径。
例设a、b、c是三个非负实数,求证:

分析:本题是带根号的不等式证明问题,直接去证有困难。但我们把它转化为复数:令z1=a+bi,z2=b+ci,z3=c+ai,则
,再利用复数不等式去证,问题就变得非常容易。
再如,已知a2+b2=1,求
的值。
分析:本题有a2+b2=1,故可令a=sina,b=cosa,运用三角换元法,可以很简捷地求出问题的结果。
三、重视一题多解、一法多用、一题多变、多题概括的训练
一题多解是指对一个习题,从多方面、多角度、多层次去思考,既要注意正向思维,又要注意逆向思维,运用不同的数学方法进行解答,解答后要及时总结,选出最佳思路和方法。
例如,长度为ι(ι≥1)的线段AB两端在抛物线y=x2上移动,M是中点,求M离x轴最近时的坐标。
解法一,用参数法借助三角函数不等式求解;
解法二,用判别式法借助不等式求解;
解法三,根据抛物线定义借助不等式求解;
……
一法多用,是指对重要的数学解题思路和方法,像换元法、形数结合法、解析法、复数法、参数法、待定系数法,去解答不同情况、不同内容、不同类型的题目。这样一方面可以更灵活、更深刻地掌握解题思路和方法,另一方面可以增强数学知识和问题的横向联系。
一题多变,是对一道习题,从改变条件或改变结论或改变结构等方面入手,使一题变为多题,这样不仅可以丰富习题的内容,而且可以对数学方法的灵活性有更深刻地理解。
多题概括,是指对做过的多个题目进行综合分析,找出共性和差异,抽象概括出共同的解题思路和方法,以增强数学题的谐和性,提高对习题中的一般问题和特殊问题的辩证性的认识。
四、讲究解题格式,做到准确、简练
高中数学习题的解答过程一般比较复杂,特别是立体几何习题,叙述更加困难,处理不好,不但冗长,而且容易导致错误。
在叙述解题过程时,一般要做到:
(一)尽可能使用符号化数学语言。
不少数学家在总结解题经验时指出:解题就是把题归结为已经解过的问题。这无疑是一条成功的解题经验。因此,我们在解题训练时,要注意记忆一些典型的基本题目的结构和解法,还要时时注意在解新的题目时,思考它与自己解过的哪个题目相类似?可以化归为哪个已知题目?它们有何差异?采取什么措施加以弥补。
例如,高中解析几何课本习题八第8题,过抛物线y2=2px的焦点的一条直线和这抛物线相交,两个交点的纵坐标为y1、y2,求证:y1y2=-p2。
如果把本题的结构、结论和解题方法记住,许多涉及抛物线焦点的问题都可以归结于它。像本习题的第13题,利用它去证将十分简便。
又如高中代数课本中,不等式一章的习题十八第11题:求证
。实质上是一个应用很广的公式,很多有关不等式的证明可以归结于它。
(二)只写出主要解题步骤,以不使推理脱节为限。
(三)正确使用简化三段论式,即大前提一般不写,只写出小前提和结论。
(四)注意分节、分行及标点。