7.4 磨削加工
磨削加工具有如下特点:(1)加工精度高,表面粗糙度小,经磨削加工的工件一般尺寸公差等级可达 IT5~IT7级,表面粗糙度 Ra=0.2~0.8μm,精磨后的 Ra值更小;(2)被加工工件的硬度高,特别是磨削经过热处理后的淬火钢工件非常方便;(3)磨削温度很高,在砂轮与工件的接触处,瞬间温度高达1000°C。
7.4.1 外圆磨削
1.工件的安装
磨削外圆柱面时,最常见的安装方法有三种。
(1)用两顶尖把工件支撑起来 磨床上使用的顶尖都是不随工件转动的,这样可以提高定位精度,避免了由于顶尖转动而带来的误差。尾顶尖是靠弹簧推力顶紧工件的,可以自动控制松紧程度。磨削前,要修研工件的中心孔,以提高定位精度。一般是用四棱硬质合金顶尖在车床上修研,研亮即可。当定位精度较高时,可选用油石顶尖或铸铁顶尖进行修研。两顶尖安装工件方法见图7-8。

1.鸡心夹头;2.拨杆;3.后顶尖;4.尾架套筒;5.头架主轴;6.前顶尖;7.拨盘
图7-8 两顶尖安装工件示意图
(2)卡盘装夹 磨削短工件的外圆时用三爪或四爪卡盘装夹,装夹方法与车床基本相同。用四爪卡盘装夹工件时,要用百分表找正。
(3)心轴装夹 盘套类空心工件常以内孔定位进行磨削。装夹方法与车床基本相同,但磨削用的心轴精度要求更高些。
2.磨削运动与磨削用量
图7-9为磨削外圆和磨削平面时的磨削运动和磨削用量。

图7-9 磨削时的运动
(1)外圆磨削的主运动及磨削速度(vc) 砂轮的旋转运动是主运动;砂轮外圆的线速度称为磨削速度,可用公式7-1计算:

(2)圆周进给运动及进给速度(νw) 工件的旋转运动是圆周进给运动;磨削工件外圆处的线速度称为圆周进给速度,可用公式7-2计算:

(3)纵向进给运动及纵向进给量(f1) 工作台带动工件所做的直线往复运动是纵向进给运动;工件每转一转时相对砂轮在纵向进给运动方向上的位移称为纵向进给量,用 f1表示,单位为mm/r。
(4)横向进给运动及横向进给量(fc) 砂轮沿工件径向上的移动是横向进给运动;工作台每往复行程(或单行程)一次,砂轮相对工件径向移动的距离称为横向进给量,用 fc表示,其单位是 mm/dstr(或 mm/str)。横向进给量实际上是砂轮每次切入工件的深度,也可用切削深度表示,其单位为 mm(即每次磨削切入以毫米计的深度)。
平面磨削的磨削运动及磨削用量与外圆磨削相类似,见图7-9(b)。
3.磨削方法
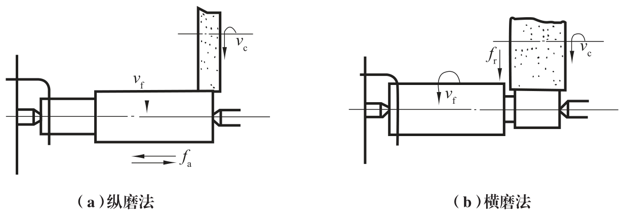
在外圆磨床上,磨削外圆的常用方法有纵磨法和横磨法。
(1)纵磨法 磨削外圆时,工件转动并随工作台纵向往复移动,每次纵向行程终了时(或双行程终了),砂轮做一次横向进给(磨削深度)。当工件磨到最后尺寸时,可做几次无横向进给的光磨行程,直到火花消失为止。
纵磨法的磨削精度高,表面粗糙度 Ra 值小,适应性好,广泛应用于单件小批和大批大量生产中。
(2)横磨法 磨削外圆时,工件不做纵向进给运动,砂轮以缓慢的速度连续或断续地向工件做横向进给运动,直至磨去全部余量为止。
横磨法的径向力大,工件易产生弯曲变形;砂轮与工件的接触面积大,产生的热量多,工件易产生烧伤现象,但生产效率高。所以,横磨法适用于大批量生产中精度要求低,刚性好的零件外圆表面的磨削。
对于阶梯轴类零件,外圆表面磨到尺寸后,还要磨削轴肩端面,只要用手摇动纵向移动手柄,使工件的轴肩端面靠近砂轮,磨平即可。纵磨法、横磨法如图7-10所示。

图7-10 外圆磨削方法
4.磨削切削液
磨削切削液的主要作用是:降低磨削区的温度,起冷却作用;减少砂轮与工件之间的摩擦,起润滑作用,还能冲走脱落的砂粒和磨屑,以防止砂轮堵塞。磨削液的使用对磨削质量有重要影响。常用的磨削液有二种。
(1)苏打水 其成分为无水碳酸钠(Na2CO3,即纯碱,又名苏打粉),含1%;亚硝酸钠(NaNO2),含0.25%;其余为水。它具有良好的冷却性能、防腐性能、洗涤性能,而且对人体无害,成本低,是应用最广的一种磨削液。
(2)乳化液 其成分为油酸,含0.5%;硫化蓖麻油,含1.5%;锭子油,含8%;以及含1%的碳酸钠的水溶液90%。它具有良好的冷却性能、润滑性能及防腐性能。
苏打水的冷却性能高于乳化液,并且配置方便、成本低,常用于高效强力粗磨。乳化液不但具有良好的冷却性能,而且具有良好的润滑性能,常用于精磨。
7.4.2 内圆磨削
1.工件的装夹
磨内圆时,一般以工件的外圆和端面作为定位基准。通常用三爪或四爪卡盘装夹工件,以用四爪卡盘通过找正装夹工件用得最多。
2.磨削方法
磨削内圆通常是在内圆磨床或万能外圆磨床上进行的。磨削时砂轮与工件的接触方式有两种。一种是后面接触,用于内圆磨床,便于操作者观察加工表面。另一种是前面接触,用于万能外圆磨床,便于自动进给。内圆磨削如图7-11所示。

图7-11 磨削内圆
7.4.3 圆锥磨削
磨圆锥面的方法很多,常用的有两种。
1.转动工作台法
将上工作台相对下工作台扳转一个工件的斜角 a/2,下工作台在机床上做往复运动进行磨圆锥面。这种方法即可以磨外圆锥,又可以磨内圆锥,但只适用于磨削锥度较小、锥面较长的工件。
2.转动头架法
将头架相对工作台扳转一个工件的斜角 a/2,工作台在机床工作导轨上做往复运动进行磨圆锥面。这种方法可以磨内外圆锥,但只适用于磨削锥度较大、锥面较短的工件。
7.4.4 平面磨削
1.工件的装夹方法
在平面磨床上,采用电磁吸盘工作台吸住工件。当电磁吸盘工作台线圈中通过直流电时,芯体被磁化,磁力线由芯体经过盖板—工件—盖板—吸盘体而闭合,工件被吸住。绝磁层由铅、铜或巴氏合金等非磁性材料制成,它的作用是使绝大部分磁力线通过工件再回到吸盘体,以保证工件被牢固地吸在工作台上。
当磨削键、垫圈、薄壁套等尺寸小的零件时,由于工件与工作台接触面积小,吸力弱,容易被磨削力弹出造成事故。所以装夹这类工件时,需在工件四周或左右两端用挡铁围住,以防工件移动。
2.磨削平面的方法
磨削平面时一般是以一个平面为定位基准,磨削另一个平面。若这两个平面都要求磨削并要求平行时,可互为基准反复磨削。
常用磨削平面的方法有两种:周磨法和端磨法,如图7-12所示。

图7-12 平面磨削示意图
(1)周磨法 周磨法的砂轮与工件的接触面积小,排屑和冷却条件好,工件发热变形小,且砂轮圆周表面磨削均匀,所以能获得较高的加工质量,但磨削的生产率低,适用于精磨。
(2)端磨法 端磨法的特点与周磨法相反,磨削生产率高但磨削的精度低,适用于粗磨。
7.4.5 光整磨削
使工件获得粗糙度 Ra值0.16μm 以下的磨削称为光整磨削。其中 Ra值在0.16~0.08μm 的叫精密磨削;Ra值在0.02~0.04μm 的叫超精密磨削; Ra值在0.01μm 以下的叫镜面磨削。光整磨削的方法主要有以下几种。
1.精密磨削方法
对砂轮进行精细修整,使砂轮磨粒微刃具有很好的等高性,用微刃切削、滑挤、抛光、摩擦等综合作用,使工件表面粗糙度达到光整磨削的程度。这种方法一般可实现 Ra值在0.16~0.08μm,即实现精密磨削。
2.超精密磨削方法
珩磨是用细磨粒磨条组成的珩磨头,以往复和旋转运动配合起来加工零件内孔的一种光整磨削加工工艺方法,珩磨头及珩磨油石的切削轨迹见图7-13。珩磨可以提高形状和尺寸精度一级,表面粗糙度可达 Ra0.2~0.025μm,实现超精密磨削。

图7-13 珩磨头及珩磨油石的切削轨迹
3.镜面磨削方法
研磨是用游离磨粒即研磨砂和研具对工件表面进行微量去除的工艺方法,它可以获得很高的精度和很低的表面粗糙度,尺寸精度可达亚微米级,表面粗糙度可达 Ra0.01μm,可以实现镜面磨削。
思考题
题7-1 磨削时磨削速度怎么计算?
题7-2 何谓砂轮的硬度?何谓磨料的硬度?
题7-3 经过普通磨削的工件其表面粗糙度可达 Ra多少?经过精密磨削的工件其表面粗糙度可达 Ra多少?经过珩磨的工件其表面粗糙度可达 Ra多少?经过研磨的工件其表面粗糙度可达 Ra多少?