第四节 词义的性质
一、词义的特征
(一)词的意义与形式
任何一个词都是意义与形式的结合体。意义包括词汇意义和语法意义,这是就实词而言的,虚词一般没有明确的词汇意义,只有语法意义。形式又可以分为内部形式和外部形式。下面以“国家”和“对于”为例:

确定一个词的意义和形式,必须有一定的时代标准,比如上面分析的依据是现、当代汉语。如果是古代汉语、近代汉语,情况就大不一样了。因为外部形式一直在变,内部意义也会变。譬如“国家”在古汉语中并不是偏义复词。《论语》中有“丘也闻有国有家者,不患贫而患不均,不患寡而患不安”;“有”是“治理”,诸侯的封地是“国”,大夫的封地是“家”,所以“国家”是同义类联合型的。同样,在古代,“对于”的“对”还是个动词;“于”是一个介词,同介宾一起充当的“对”的补语。
(二)词义的相对性
从一个实词的词汇意义看,它是一个互相关联、错综复杂的对立统一体。细分起来,大致有互相依存的四个方面。
1.客观和主观的统一
词义都是客观事物和现象在人们头脑中的反映,比如当人们研制出一种可以重复使用的太空运载工具时,就会造出一个新词“航天飞机”(英语的shuttle是旧词添新义)。当人们组织起来援助贫困地区失学儿童时,就出现了新名词“希望工程”。即使虚构的事物,也具有一定的客观基础,具有一定的真实成分。比如“龙”、“凤”、“鬼”、“神”,它们仍然是客观事物在人们头脑中曲折的反映。
但另一方面,词义又都含有主观因素。不同历史时期的人,由于思维能力、观察角度、认知方式的差异,对客观事物和现象的认识就会很不相同。比如同样是“水”、“盐”、“糖”、“酒”,化学家和一般人的认识就大不相同;而无神论者和有神论者对“鬼”、“神”、“天堂”、“地狱”的认识更是大相径庭的。即使同一个时代,观点大致相同的人,对具体的词的认识也不会一样,比如:“漂亮”这个词,大家都知道是“美观而好看”,但具体到每一个人,几乎人人都有自己的看法和主观的认识。这里面必然涉及到每一个人的性别、年龄、民族、阶层、文化、修养等因素。俗话说“萝卜青菜,各有所爱”,就是这个道理。总之,客观性和主观性统一于词义之中。
2.概括和具体的统一
作为贮存在人的大脑或写在词典中的词义都具有概括性。比如“车子”的词义是“陆地上有轮子的运载工具”,它概括了各种车辆的共同特点,舍弃了它们的差异。即使专有名词,也具有概括性。比如“上海”,它就概括了上海有史以来七百多年的历史,尤其是从1840年口岸开放到各国租界的开拓,从冒险家的乐园到改革开放的“龙头”等等,都由这一个词概括了。但另一方面,词义又都具有具体性。也就是说在特定的上下文和话语中,词义的所指对象又必然是十分清楚的,明确的。比如有人说“我的车子不能骑了,一点气也没有了”。这里的“车子”是指“自行车”,而且是说话人的那辆26英寸的凤凰牌自行车。再比如说“这个人真不是人”,这里的两个“人”的词义当然比词典里的“人”的意义更加具体。词典里给“人”下的概括性定义是:能制造工具并使用工具进行劳动的高等动物。而这里的前一个“人”指的是某一个具体的人,具有特定的国籍、种族、肤色、阶级、阶层、文化水平、道德修养、秉性品格等等;而后一个“人”虽然不是指具体的人,但也不是一般的概括意义的人,而是指一般的人所应该具有的道德品质、信誉人格、处事方式、待人接物的态度等等。从表义的逻辑角度看,前一个“人”重在人的外延,后一个“人”重在人的内涵。
3.明确和模糊的统一
在一般的情况下,词义的范围、量度、差异是清楚的,否则人们无法进行交际。比如“钢笔”、“铅笔”、“毛笔”、“圆珠笔”,或者说“软笔”、“硬笔”,它们所指是清楚而明确的。再比如“炒”、“炖”、“煎”、“烩”、“炸”、“烤”、“蒸”、“煮”等,这些烹饪方法之间的界限也是很明确的。但词义还有模糊性的一面,比如“凌晨”与“早上”、“早上”与“上午”、“上午”与“中午”、“中午”与“下午”、“下午”与“黄昏”、“黄昏”与“晚上”、“晚上”与“夜里”的界限是模糊的,到底是几点几分,没有标准,各个季节也不一样。再比如“青年”到底是多少岁以下,没有一个明确的标准,是23岁、35岁、40岁、45岁,似乎都可以。再比如“快”和“慢”,“高”和“矮”,“大”和“小”都没有一个明确的标准,其界限都是模糊的。总之,词义在很大程度上是相对明确的。比如“他一年忙到头”再确切一点就是“他一年365天,几乎天天在忙,从来不休息”。其实还存在着一定的模糊性。一般辞书都说:现行历法规定平年每年365天,闰年366天。这样的表达是明确的,如说成每年360多天就显得比较含糊。同样,有人说:在工人中组成了一个老中青三结合的技术革新小组。这句话是模糊的,但却是清楚的。如果说成“在工人中组成一个50岁到60岁的老工人、35岁到49岁的中年工人和18岁到34岁的青年工人的技术革新小组”,那就太啰嗦了,反而不通顺了。
换一个角度看,上面的那句话(平年365天,闰年366天),在天文学家看来,还是模糊的。因为实际上地球围着太阳绕4周的时间并不是1461天,确切地讲,地球围绕太阳一周的时间是365天5小时48分46秒,4年相加是1460天又23小时15分4秒。这样一来,每隔3年加一天是加多了。总之,明确和模糊是相对的,在语言表达中各有各的作用。世界是在不断变化之中,永远不会有一个绝对明确的标准。
4.稳固和变异的统一
词的外部形式同该词所指的对象、现象之间本来没有必然的联系,但一旦确定下来,约定俗成了,它们的关系必然是十分稳固的。尽管语音会发生变化,但这种变化只能在一定的范围内,一定的规律中进行。而且,就一个时代,比如现当代的角度看,音和义之间的关系是不能随意改变的。比如“我要去河南”,只要略为改变一个声母,把“n”换成“l”,就变成了“我要去荷兰”了。听的人当然会产生误解。而另一方面,就语义内容本身来说,它又是不断地在变化的,社会发生变化,人的认识发生变化,词义也就会发生相应的变化。比如“车”,在古代只指人力车、畜力车,而现在可以包括各种机动车:火车、汽车、电车、摩托车、助动车等等。又比如“嘴”,本来专指鸟嘴,人嘴叫“口”,而现在“嘴”可以指一切动物包括人,甚至用具,比如茶壶的嘴。再比如“抓手”本来的意思很简单,就是指各种器具和装置上的,可以用手提拿的一个部件,近年来又可以指从事某项活动时,可以入手的、并加以掌握、控制的关键所在。“瓦”本来可以指用瓦制成的各种陶器,现代只指铺在房顶上的一种建筑材料。又比如“兵”,在古代本指兵器,如“兵不血刃”、“短兵相接”,现在指士兵;“走”在古代指奔跑,现在指行走。
总而言之,词义的构成是一个对立统一的相依相存的系统,各种倾向是相辅相成的,过分强调任何一方面都是不符合辩证法的。
二、词义的构成
任何一种语言的词义都是由多种因素构成的复杂系统。就一些多义词而言,每一个词的意义也是一个综合的系统。只要是实词,一般都具有与概念相关的核心意义——理性意义,此外还有一系列附加意义,也可以叫色彩。附加义种类很多,比较重要的有四种:评价义、语体义、理据义和搭配义。理性义是每个实词都有的,附加义则不一定:有的多一些,有的少一些;有的明显,有的不明显。
1.理性义
词义中同概念相关的部分是理性义,又称逻辑义。它是人们对所指对象或现象的区别性特征的概括反映。比如:女墙——城墙上凹凸形的短墙;家庭——以婚姻和血缘关系为基础的社会单位。理性义又可以分为两种:通俗义和专门义。通俗义是普通人对所指对象的一般性认识,专门义是具有专门知识的人对所指对象的特殊性认识。比如“圆”的通俗义是“像太阳、车轮、脸盆等东西的形状”,而专门义则是“在平面上,一个动点以一定点为中心,一定长为距离而运动一周的轨迹”。再比如“水”,通俗义是“无色的透明液体”,专门义则是“分子由两个氢原子和一个氧原子组成的最简单的氢氧化合物,无色、无臭、无味的液体,在标准大气压下,零摄氏度凝固成冰,100摄氏度沸腾成汽,4摄氏度时密度最大,密度为1.0×103千克/立方米。”通俗义和专门义是相对的,专家有时也用通俗义,普通老百姓也有知道专门义的。这同一个民族、一个人的文化水平、知识素养有关。
2.评价义
评价义指由一个词所体现出来的反映了说话人对所指对象的评价和主观态度。也可以分两个方面:感情义和含蓄义。感情义主要表示说话人对有关事物和现象的褒贬情感和态度。看到一个打扮新潮入时的女人,可以说她“时髦”,也可以说她“娇艳”。再比如:收购—抢购,详细—烦琐,教导—教唆,粗犷—粗野,赞美—奉承,千方百计—挖空心思,重整旗鼓—卷土重来,侃侃而谈—夸夸其谈,雄心勃勃—野心勃勃等。
名词也可以包含感情义,如:佞臣—忠臣,技能—伎俩,名声—荣誉。
含蓄义是说话人对所指对象的一种相对委婉含蓄的评价。比如我们说“男子汉”,除了表示其理性义“成年男性”外,也含有坚强、健壮、有气度、充满了阳刚之气等意味。“妇道人家”除了表示“成年女性”的理性义外,又含有柔弱、气量小、没见识、胆子小等意味。同样“女人”、“女士”理性意义相同,但“女士”则带有尊重的意味。当然,并非每一个词都有评价义,比如“杯子”、“钢笔”、“课本”就没有明显的评价义。
3.语体义
语体义又称风格义。是一些词经常用于某种特定场合而形成的风格色彩。它反映了词与交际场合的关系。可以分为两大类:口头语体和书面语体。口头语体通俗活泼,自然随便,有时带有方言色彩。书面语体严谨规范,庄重典雅,常常带有文言色彩。比如:亲嘴—接吻,熟悉—熟稔,碰头—会晤,爱人—配偶,老爸—父亲,热心—热衷。书面语体还可以根据使用场合,进一步分为文艺语体,如:孩提、岑寂、安澜(太平)、阑干(参差错落);政论语体,如:公民、专政、复辟、人权;科技语体,如:裂变、催化、等价、化合;事务语体,如:函告、转发、抄送、特此;外交语体,如:照会、抗议、奉告、声援等。法律语体,如:诉状、嫌疑、原告、自诉等。
4.理据义
理据义是由造词的理由和依据所形成的字面表层意义及其形象色彩,包括意趣情调和联想意义等。理据义有的正确,有的不正确。错误的如:酱油、铅笔、鲸鱼。酱油不是油,铅笔不含铅,鲸鱼不是鱼。它们所反映的是歪曲了的事物特征。一般说来即使正确的理据义,也会因为其历史的局限而变得不确切。比如“马路”、“火车”,随着时代的前进,现在“马路”上不再走马,“火车”也不再烧火了。有时理据反映的只是词义的表面特征,比如“菜刀”、“网球”,其实,“菜刀”并不限于切菜,而“排球”、“羽毛球”比赛时也有网,但不管怎么讲,词的理据总会或多或少使人产生联想。比如“考虑”、“斟酌”、“权衡”、“琢磨”这四个词的理性义相同,但“斟酌”使人联想到自斟自酌,慢慢品尝,重在细细品味;“权衡”使人联想到秤锤、秤杆及其分量和轻重,重在仔细掂量;“琢磨”使人联想到琢玉磨骨,精心加工,重在精雕细刻,而“考虑”则重在考量、思虑,没有明显的联想色彩。
一般说来,比较明显的理据义有两种,一种是形象意义,一种是文化意义。形象意义是指构词的语素所显示出来的一种具体生动的直觉形象感。根据人的感官,大致可以分为形感,如:鸡冠花、仙人掌、白头翁、佛手、脑海;动感,如:闯江湖、开夜车、炒鱿鱼、撞车、上钩;色感,如:墨鱼、雪豹、白茫茫、绿油油、黑森森;声感,如:嘻嘻哈哈、稀里哗啦、轰隆隆、笑哈哈、乐呵呵、淙淙、潺潺等等。
文化意义主要有三种情况:历史信息、异域信息、文学信息。有些词是由典故形成的,成语中所含典故最多。双音节词有些也含有典故,比如:推敲(韩愈和贾岛的故事)、染指(郑灵公请太医吃甲鱼,不给子公吃,子公将指甲伸入甲鱼汤中)、入彀(唐太宗看见新进士鱼贯而入,高兴地讲:天下英雄尽入吾彀中矣,表示受人控制操纵)、蛇足(《战国策》中画蛇添足的故事);三音节的如:莫须有(秦桧迫害岳飞的罪名)、破天荒(唐朝时荆州每年送去的举人均考不上进士,称天荒;后来刘锐考上了进士,称破天荒)。有些外来词反映了外族的社会背景和异域情趣,比如:沙龙、摩登、卡通片、霹雳舞。有些专有名词则反映了社会文化背景和思想倾向、情趣格调。比如红娘、诸葛亮、孙悟空、阿Q、白毛女等等,都已家喻户晓,成了一种特定人物的代名词。
5.搭配义
搭配义是指某些词由于特定的搭配习惯而形成的相互制约关系,它反映了词与词的选择关系和使用范围。
比如表示“养育”的意思,现代汉语中有:赡养,扶养,抚养。但它们的搭配对象不同,赡养的是父母及其他上辈,扶养的是配偶和其他平辈的人,抚养的是子女、下辈及幼小的弟妹。
有些词或语素的搭配对象同一定的性别有关,比如由语素“芳”、“玉”、“丰”、“香”、“秀”等所构成的单词一般都同女性有关,尤其同青年女性有关。比如:芳名、芳龄,玉照、玉体,丰腴、丰满,秀发、秀气,香腮、香艳、香消玉殒。
三、词义的分解
(一)义项分析
1.义项的性质
为了充分认识和有效掌握词义,必须学会分解词义、分析义项。编纂词典,一般总是把词的理性义分解为若干个义项加以说明,有时也顺便指出附加义,尤其是语体义,多用符号加以标记。比如《现代汉语词典》的解释是:
大肚子:①〈口〉指怀孕。②〈口〉指饭量大的人(用于不严肃的口气)。③〈方〉对地主,资本家的憎称。
津梁:〈书〉渡口和桥梁,比喻用作引导事物或过渡的方法和手段。
可以看出,“大肚子”有三个义项,“津梁”现在只有一个义项,即它的比喻义。
词的义项都是从该词出现的语言环境中归纳出来的。比如我们说“这个人太骄傲了,总是过高地估计了自己。”这里的“骄傲”是自以为了不起的意思;而我们说“大家都为北京申奥成功而感到骄傲”时,这里的“骄傲”是“自豪”的意思;当我们说“长城是中华民族的骄傲”时,它的意思却是“值得自豪的人或事物”。所以“骄傲”这个词在现代汉语中有三个义项。词的义项,有四种情况值得注意:
(1)词的义项是由特定的词形表示的语义单位。比如“汉字hàn zì”这个词有它特定的形式,由于它只有一个义项,其词义就是它的义项——“记录汉语的文字系统”。像“骄傲”那样有多个义项,就须要对其意义进行分解,分解出来的意义作为一个个的语义单位,也都同“骄傲jiāoào”这个词的形式密切相连。
(2)词的义项既可以是独立运用的语义单位,也可以是只能参与组合的语义单位。换句话说,词的义项既可以是词义,也可以是语素义。比如上面“骄傲”的三个义项都是词义。而“生1”有六个义项:①生育:生孩子;②生长:生根发芽;③生存:起死回生,生死与共;④生命:丧生,舍生取义;⑤生计:谋生,营生;⑥生平:一生一世,今生今世。其中只有前两个义项是词义,后面四个都是语素义。
(3)词的义项是概括的、固定的语义单位。一个词在不同的语言环境中可能具有各种临时的、特殊的意义,但这些意义不属于义项。比如“放下包袱,开动机器”,其中“包袱”比喻思想负担,“机器”比喻“脑筋、思维器官”。但“包袱”的比喻义是固定的,而“机器”离开了特定的语境就没有这种意义。所以“包袱”有“妨碍人的行动、思想的障碍”这个义项,而“机器”没有“脑筋、思维器官”这一义项。
(4)词的义项既互相联系,又互相补充。一个词的几个义项之间是环环相连的,各自独立的,即各个义项出现的语言环境是各不相同的。比如“生2”:
①这西瓜是生的——(果实)没有成熟
②生吃瓜果要洗干净——(食物)没煮或没煮熟
③生石膏的建筑用途很广——(原料)没有加工过的
④初来乍到,人生地不熟的——(关系)生疏不熟悉的
⑤不要生搬硬套——(态度)生硬的、勉强的
⑥手被挤得生疼——(感情或感觉上)程度很深地
这六个句子中的“生”代表了“生2”的依次相关又各不相同的六个义项。这些义项有的是词义,有的是语素义,前五种是形容词性的,最后一种是副词性的。
2.义项的分类
一个词如果有几个义项,那么这几个义项之间的地位不是并行平等的,其中必有一个义项是基本的。而其他义项都是由这个义项直接或间接地发展、引申、转化而来的。需要注意的是,基本义是相对于派生义而讲的,并不一定就是语源学上所说的造字的本义。比如“走”的本义是奔跑,基本义是行走,“天”的本义是“头顶”,基本义是“天空”。当然基本义和本义也可以重合,比如“水”和“山”的本义就是基本义。基本义派生的途径主要有两条:直接引申和间接转借。
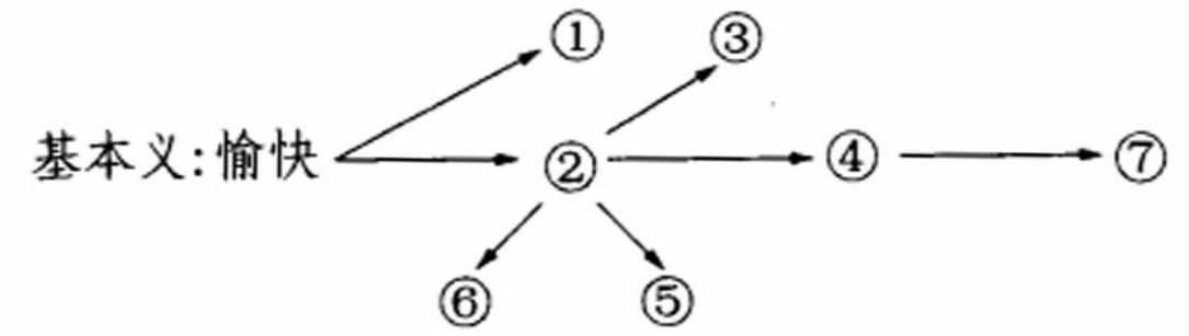
(1)在基本义的基础上经过推衍发展直接派生的义项叫引申义。比如“紧”的基本义是两物密切合拢(捆得很紧),引申出三个义项:“不宽裕(过紧日子)”,“不放松、严格(对孩子管得很紧)”,“没有充分的时间和余地,很急迫(风声很紧)”。
引申是最主要的派生方式,共有三种类型:辐射型、连环型、并存混合型。辐射型就是以基本义为中心向四面辐射引申,连环型就是以基本义为先导向后面环环引申。比如下面“嫩”的引申方式就是辐射型的,“沐浴”的引申方式就是连环型的:

在实际语言中,辐射和连环常常是交叉并存的,也就是混合型。如“快”的基本义是“愉快、高兴”,比如“大快人心”、“拍手称快”等,派生义有:①爽快、痛快;②迅速;③速度;④赶快、从速;⑤灵敏;⑥锋利;⑦将要[17]。其派生方式就是:

(2)在基本义的基础上通过某种修辞手段间接派生的义项叫转借义。转借的方式也可以分为三种:借喻、借代和谐音。
借用一个词的基本义来比喻另一种事物,所产生的意义就是比喻义。比如“疙瘩”,本指皮肤上突起或肌肉上结成的硬块,现比喻“不容易解开的思想问题”;“辫子”本指把头发交叉编成的条条,现比喻“把柄”。再如:
高潮:水位上升的最高潮位——事物发展的最高阶段
酝酿:造酒的发酵过程——做好各项准备工作
搁浅:船进入水浅之处,不能行驶——事情遇到阻碍不能进行
傀儡:木偶戏里的木头人——受人操纵的人、组织、机构
锻炼:锻造和提炼——通过体育运动使身体强壮或经受考验
风波:风浪波涛——比喻纠纷和乱子(赛场风波、政治风波)
这后两个词,《现代汉语词典》中只列了比喻义,没列基本义,同前面所讲的“津梁”一样,表示基本义已消失了。需要注意的是,比喻义同修辞学上的比喻不是一回事,它们既有联系,又有区别。联系是指比喻义产生的途径就是各种比喻格,区别在于比喻义是固定的属于词的一个义项,修辞上的比喻是临时的,打比方而已。
通过词的借代方法派生出新的意义称之为借代义。借代义同比喻义的区别就在一个重在相似性,一个重在相关性。比如“千金”借代为小姐或女儿,“孔方兄”借代为钱,“饭碗”借代义是工作,“口舌”借代为说话(多费口舌)。再如:
干戈:借代义是战争 玉帛:借代义是和平
狼烟:借代义是战争 烽火:借代义是战争
“干戈”、“狼烟”、“烽火”都可以指战争,但代体不同、搭配义不同,比如“化干戈为玉帛”、“大动干戈”、“狼烟四起”、“烽火连天”等。有些借代义的形成同特定的出处有关。比如:
而立:指三十岁 不惑:指四十岁 知命:指五十岁
古稀:指七十岁 泰山[18]:指岳父 东床[19]:指女婿
借代义同借代的关系与比喻义同比喻一样,既有联系,又有区别。
通过读音的相似性而转化衍生出新的词义,就是谐音义,谐音是一种不太常用的转借方法。比如现在人们把“有些傻气,做事莽莽撞撞的人”称为“二百五”。这个词义的产生就同谐音有关。据说古代时,常常把五百个铜钱串起来,用纸包好,再用蜡封上,这样用时就不必再数了。后来有人发现五百个铜钱太多,不便使用,就把二百五十个铜钱封起来,称之为“半封”,而“半封”同“半疯”音相同,所以人们就把有些傻乎乎的人,莽莽撞撞的人称为“二百五”。现代汉语的“气管炎—妻管严”、“床头柜—床头跪”也可以算是用这一方法转借而成的诙谐幽默的谐音词。
综上所述,汉语词义发展、引申的途径,可以大致归纳如下:

(二)语素义和词义的关系
词是语素构成的,既可以由一个语素构成,也可以由两个或几个语素组合而成。无论以何种方式构成的词,词义和语素义必然会存在着一定的联系。凡是单纯词,其词义就等同于语素义。至于合成词,情况相对复杂,词义和语素义间存在着各种不同的关系。大致有三类:直接对应型、间接联系型、曲折反映型。
1.直接对应型
直接对应型有两种情况:一种是词义与两个语素义都相同。比如:
忧愁:忧愁≈愁、忧愁≈忧 哀伤:哀伤≈伤、哀伤≈哀
明亮:明亮≈明、明亮≈亮 长久:长久≈长、长久≈久
另一种是词义是两个语素义之和。比如:
科技=科学技术 文艺=文学艺术
集训=集中训练 劳改=劳动改造
2.间接联系型
间接联系型也有两种情况,一种是词义只相当于其中的一个语素义,另一个语素的意义在该单词中已经虚化或消失了。比如:
忽地≈忽 更为≈更 极其≈极 但是≈但
取决于≈取决 忘记≈忘 商榷≈商 人马≈人
另一种是词义相当于语素义加上隐含的内容。比如:
掠美≈掠夺别人的美名
谢幕≈演出闭幕后演员在台前答谢观众
救火≈在失火现场灭火和抢救
3.曲折反映型
曲折反映型主要是指词义经过转借引申,表面上看,语素义同该词的词义之间没有什么联系。主要有两种情况,一种是比喻,两者具有相似性。比如:
染指—比喻分取非分的利益
骨肉—比喻紧密相连不可分离的关系
领袖—比喻国家、组织、政治团体的领导人
另一种是借代,两者具有相关性。比如:
东西—代指物品 巾帼—代指妇女
须眉—代指男子 银发—代指老人
(三)义素分析
1.义素的性质
义素是词义构成的最小意义单位,也是词的区别性特征。义素的基本性质是:①它是义项的组成成分;②它没有特定的语音形式;③它是比较一组相关的词而分析出来的区别性语义特征。比如:
衣着 脚穿 有筒 着地
靴子 + + + +
鞋子 + + - +
袜子 + + + -
在这里,“衣着”、“脚穿”对于这三个词来讲是共同的特征,是用来同其他事物相区别的,这是它们的共同义素;而“有筒”、“着地”则是组内的区别义素。共同义素和区别义素都有区别意义的作用(对外或对内),总称区别性特征。
2.分析方法
义素分析的方法可以从三个方面来掌握。
(1)基本原则
①对等性原则,分析出来的义素组合必须与义项的所指范围相等,不能过宽或过窄;②系统性原则,义素分析必须在一定的词义系统中进行;③简明性原则,义素分析要力求简单明确,用尽可能少的义素来揭示同组词义的共性和区别。
(2)基本方法
①确定范围。义素分析一般总是在一些相关的词,也就是同一语义场当中进行,只有一组相关的词才可以比较,才更容易选出经济适用的义素。比如:
感伤 有声 有泪
哭 + + +
泣 + - +
号 + + -
哀 + - -
②比较异同。义素分析最基本的方法就是比较相关词义的异同,找出一组相关义项的区别性语义特征。比如上面诸词,就是找出了这四个词异同的相关义素,这样就可以转化为义素来分析。再比如:
人 成年 男性
男人 + + +
女人 + + -
男孩 + - +
女孩 + - -
③列出义素。也就是用各种方法把比较的结果一一列出。比如:
女人 在男家 与男人 成家
出嫁 + + + +
娶亲 - + - +
入赘 - - - +
结婚 ± ± ± +
(3)基本模式
1)名词模式。名词模式同逻辑中的“属加种差”定义方式相对应。
N{义项}=[属性1(类属)……属性2……属性n]
①
植物 木本 丛生 高大
乔木 + + - +
灌木 + + + -
②
学校成员 在校工作 从事教书 高级职称
教授 + + + +
讲师 + + + -
校工 + + - -
学生 + - - -
③
坐具 靠背 扶手 转动 弹簧
凳子 + - - - -
椅子 + + - - -
转椅 + + + + -
沙发 + + + - +
沙发椅 + + - - +
2)动词模式。动词的模式主要涉及行为的主体和对象、方式和原因等。
V{义项}=[(主体)方式、动作(客体)、因果]
手臂 移动 方向
举 + + 向上
伸 + + 向前
招 + + 前后
摇 + + 左右
再比如“推”、“拉”、“提”、“按”这四个动词,都是用手接触物体,使物体移动,只是方向不同:向前还是向后,向上还是向下;结果不同:着地还是悬空,移动还是变形。所以,可以利用义素分析法,按照动词分析基本模式分析如下:
用手 接触物体 使移动 移动方向 物体状态
推 + + + 前 向前或变紧
拉 + + + 后 向后或变松
提 + + + 上 向上或悬空
按 + + + 下 向下或变紧
3)形容词模式,状态形容词的义素分析模式重在感觉、基调和搭配等。

3.义素分析的作用
义素分析是随着语义学的兴起而产生的一种新兴的语义分析方法。它是现代语言学的一个重要成果和一种基本的方法,它可以深入到词义内部的微观结构,独立地反映词义之间的区别与联系,是语义分析形式化、精确化的有效方法之一。其作用主要有三个方面。
(1)义素分析可以帮助我们准确地理解、掌握和解释词的理性义。比如:
受动者 动作 工具和方式 目的和结果
烤 把食物 放在 火苗上 使熟或干
炸 把食物 放入 热油里 使熟或脆
煮 把食物 放到 沸水里 使熟或烂
蒸 把食物 放进 蒸汽中 使熟或热
(2)义素分析可以清晰地显示同义词附加义之间的细微差别:

(3)义素分析可以明确显示词语使用时伴随情况的不同。比如:
词目 感觉 呈现模样 伴随情况
笑哈哈 视+听 口腔自然张开 开心或被逗乐地
笑嘻嘻 视+听 略微露出牙齿 得意或不怀好意地
笑呵呵 视+听 嘴巴略微翕动 欢愉而轻松地
笑咧咧 视 嘴角向两边伸展 心满而意足地
笑吟吟 视 面部略带笑意 欣喜或愉悦地
笑盈盈 视 满脸充满笑意 愉快而慈祥地
笑眯眯 视 眼皮微微合拢 知足或赞许地
当然,义素分析法作为一种分析词义的方法,虽然具有一定的直观性和可操作性,但也具有一系列难以克服的缺点,主要就是在具体的分析中,选定范围、确定模式、列举义素往往具有一定的主观性和随意性,而且,也不是现代汉语中所有的词语都适宜使用义素分析法进行分析的,而这一切都是以后需要进一步深入研究、加以改进的。
思考题
1.词义的直接引申和间接派生的方式各有哪几种?
2.请分别举例说明汉语词义的对立统一性及其内部的构成。
3.怎样区分词义和语素义?这两种意义在使用中各有什么特点?
4.义素分析的原则和步骤是哪些?义素分析的作用和局限是什么?
5.在对汉语的名词、动词和形容词进行义素分析时,各应采用什么样的方法?