1
药理学
1.17.3 第三节 血管扩张药治疗慢性心功能不全

第十六章 抗慢性心功能不全药

慢性心功能不全又称充血性心力衰竭(congestive heart failure,CHF),是一种多原因多表现的“超负荷心肌病”。表现为心脏不能射出足量血液以满足全身组织的需要。

第一节 强 心 苷

强心苷(cardiac glycosides)是一类有强心作用的苷类化合物,它能选择性地作用于心肌。临床上用于治疗CHF及某些心律失常。

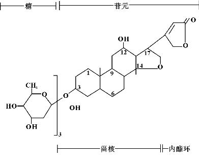
【来源及化学】强心苷来源于植物如紫花洋地黄和毛花洋地黄,所以又称洋地黄类(digitalis)药物。常用的有地高辛(digoxin)和洋地黄毒苷(digitoxin)。

强心苷由糖和苷元结合而成。苷元由甾核与不饱和内酯环构成,糖的部分除葡萄糖外,都是稀有的糖如洋地黄毒糖等。甾核上C3、C14、C17位都有重要取代基。C3位β构型的羟基是甾核与糖相结合的位点,脱糖后此羟基转为α构型,苷元即失去作用;C14必有一个β构型羟基,缺此则苷元失效;C17联结β构型的不饱和内酯环,此环若是饱和或被打开,就会减弱或取消苷元作用。

强心苷加强心肌收缩性的作用来自苷元,糖则能增强苷元的水溶性,延长其作用,一般以三糖苷作用最强。

图16-1 地高辛的化学结构

【药理作用】

1.正性肌力作用(positive inotropic action) 即加强心肌收缩性,这是选择性对心肌细胞的作用,可见于离体乳头状肌及体外培养细胞的实验中,这一作用是剂量依赖性的,对心房和心室,对正常心和已衰心都有效。

正性肌力作用表现为心肌收缩最高张力和最大缩短速率的提高,使心肌收缩有力而敏捷。这样,在前后负荷不变的条件下,心每搏作功增加,搏出量增加。

从心动周期中左心室压力与容积的关系看,也能证实这一作用,衰竭心的压力容积环明显右移上移,说明其收缩末和舒张末容积都增大,等容收缩时压力发展较慢,搏出量减少。给予强心苷后则见压力积环左移下移,舒张期压力与容积都下降,搏出量增加。

强心苷对正常人和CHF患者心都有正性肌力作用,但它只增加患者心的搏出量而不增加正常心的搏出量。因为强心苷对正常人还有收缩血管提高外周阻力的作用,由此限制了心搏出量的增加。然而在CHF患者中,通过反射作用,强心苷已降低了交感神经活性,因而这一收缩血管作用难以发挥,使搏出量得以增加。

强心苷对心肌氧耗量的影响也随心功能状态而异。对正常心因加强收缩性而增加氧耗量,对CHF患者,因心脏原已肥厚,室壁张力也已提高,需有较多氧耗以维持较高的室壁张力。强心苷的正性肌力作用能使心体积缩小,室壁张力下降,乃使这部分氧耗降低,降低部分常超过收缩性增加所致的氧耗增加部分,因此总的氧耗有所降低。

2.负性频率作用(negative chronotropic action)即减慢窦性频率,对CHF而窦律较快者尤为明显。这一作用由强心苷增强迷走神经传出冲动所引起,也有交感神经活性反射性降低的因素参与。这主要是增敏窦弓压力感受器的结果。因CHF时感受器细胞Na+-K+-ATP酶活性增高,使胞内多K+,呈超极化,细胞敏感性降低,窦弓反射失灵,乃使交感神经及RAAS功能提高。强心苷直接抑制感受器Na+-K+-ATP酶,敏化感受器,恢复窦弓反射,增强迷走神经活性,并降低交感神经活性。

减慢窦性频率对CHF患者是有利的,它使心有较好休息、获得较多的冠状动脉血液供应,又使静脉回心血量更充分而能搏出更多血液。但减慢窦性频率并非强心苷取得疗效的必要条件,临床上常在心率减慢之前或心率并不减慢的情况下,见到强心苷的治疗效果,如水肿减轻及呼吸急促的缓解等。

3.对电生理特性的影响 这些影响比较复杂,它有直接对心肌细胞和间接通过迷走神经等作用之分,还随剂量高低、不同心组织及病变情况而有不同,兹将其主要电生理作用的总效应如表16-1。

表16-1 强心苷对心肌的电生理作用

治疗量强心苷加强迷走神经活性而降低窦房结自律性,因迷走神经加速K+外流,能增加最大舒张电位(负值更大),与阈电位距离加大,从而降低自律性。与此相反,强心苷能提高浦肯野纤维的自律性,在此迷走神经影响很小,强心苷直接抑制Na+-K+-ATP酶的作用发挥主要影响,结果是细胞内失K+,最大舒张电位减弱(负值减少),与阈电位距离缩短,从而提高自律性。

强心苷减慢房室结传导性是加强迷走神经活性减慢Ca2+内流的结果,慢反应电活动的房室结的除极是Ca2+内流所介导的。

强心苷缩短心房不应期也由迷走神经促K+外流所介导。缩短浦肯野纤维有效不应期是抑制Na+-K+-ATP酶,使细胞内失K+,最大舒张电位减弱,除极发生在较小膜电位的结果。

4.对心电图的影响 治疗量强心苷最早引起T波变化,其幅度减小,波形压低甚至倒置,S-T段降低呈鱼钩状,随后还见P-R间期延长,反映房室传导减慢,Q-T间期缩短,反映浦肯野纤维和心室肌ERP和APD缩短。P-P间期延长则是窦性频率减慢的反映。

中毒量强心苷会引起各种心律失常,心电图也会出现相应变化。

5.对其他系统的作用 ①对血管:强心苷能使动脉压升高,外周阻力上升,此作用与交感神经、肾上腺及输出量的变化无关,说明是直接收缩血管平滑肌所致。已证明强心苷能收缩下肢、肠系膜血管及冠状血管等。正常人用药后血管阻力升高约23%,局部组织血流减少。CHF患者用药后,因交感神经活性降低,其影响超过直接收缩血管的效应,因此血管阻力下降,心输出量及组织灌流增加,动脉压不变或略升。②对肾:CHF患者用强心苷后利尿明显,是正性肌力作用使肾血流增加所继发的。对正常人或非心性水肿患者也有轻度利尿作用,是抑制肾小管细胞Na+-K+-ATP酶,减少肾小管对Na+的再呼吸的结果。③对神经系统:中毒量可兴奋延脑极后区催吐化学感受区而引起呕吐。严重中毒时还引起中枢神经兴奋症状,如行为失常、精神失常、谵妄甚至惊厥。中毒量强心苷还明显增强交感神经的活性,有中枢和外周两方面影响。这也参与了中毒量所致的心律失常的发病过程。

【正性肌力作用机制】三方面因素决定着心肌收缩过程,它们是收缩蛋白及其调节蛋白;物质化谢与能量供应;兴奋收缩偶联的关键物质Ca2+。已证明强心苷对前两方面并无直接影响,却能增加兴奋时心肌细胞内Ca2+量,并认为这是强心苷正性肌力作用的基本机制。

毒毛花苷K

毒毛花苷K(strophantin K)含较多羟基,极性高,口服吸收仅5%,作静脉注射用。几无代谢,以原形经肾排泄。半衰期约19 h,是短效药,现已少用。

【临床应用】强心苷主要用于治疗CHF和某些心律失常。

1.CHF各种原因如心肌缺血、瓣膜病、高血压、先天性心脏病、心肌炎(风湿性、病毒性)、甲状腺机能亢进及严重贫血等所引起的CHF,都可应用强心苷。通过正性肌力作用,增加搏出量及回心血量,可以缓解动脉系统缺血和静脉系统淤血,取得对症治疗效果。但强心苷对不同原因引起的CHF,在对症治疗的效果上却有很大差别。它对瓣膜病、高血压、先天性心脏病等所引起者疗效良好。对继发于严重贫血、甲亢及维生素B1缺乏症的CHF则疗效较差,因这些情况下,心肌能量生产已有障碍,而强心苷又不能改进能量的生产。对肺原性心脏病、严重心肌损伤或活动性心肌炎如风湿活动期的CHF,强心苷疗效也差,因为此时心肌缺氧,既有能量生产障碍,又易发生强心苷中毒,使药量也受到限制,难以发挥疗效。对心肌外机械因素引起的CHF,包括严重二尖瓣狭窄及缩窄性心包炎,强心苷疗效更差甚至无效,因为此时左室舒张充盈受限,搏出量受限,难以缓解症状。

2.强心苷对CHF的治疗价值 近年有大规模、随机、对照、双盲的临床研究证实地高辛确能缓解或消除症状,改善血流动力学变化,提高运动耐力,加强左心室功能,效果可靠,但未能降低病死率。

对窦性节律的中、轻度CHF患者,现已肯定地高辛能增加射血分数,改善左心室功能,防止病情恶化。

现认为对有症状的心室收缩功能不全的CHF患者,地高辛疗效明确,仍是常用药物。地高辛合用利尿药是CHF的基础用药。

与其他治疗CHF的药物相比,强心苷有以下优点:它应用方便,每日口服一次即可;长期久用疗效不减;一般有效剂量毒副反应并不严重。强心苷的主要缺点是:没有正性松弛作用,不能纠正舒张功能障碍。

3.心律失常 强心苷常用于治疗心房纤颤、心房扑动及阵发性室上性心动过速。

心房纤颤时,心房的过多冲动可能下传到达心室,引起心室频率过快,妨碍心排血,导致严重循环障碍,这是心房纤颤的危害所在。此时,强心苷是主要药物。用药目的不在于停止房颤而在于保护心室免受来自心房的过多冲动的影响,减少心室频率。用药后多数患者的心房纤颤并未停止,而循环障碍得以纠正。这是强心苷抑制房室传导的结果,使较多冲动不能穿透房室结下达心室而隐匿在房室结中。

心房扑动时,源于心房的冲动与房颤时相比较少较强,易于传入心室,使室率过快而难以控制,强心苷的治疗功能在于它能不均一地缩短心房不应期,引起折返激动,使心房扑动转为心房纤颤,然后再发挥治疗心房纤颤的作用。某些患者在转为房颤后,停用强心苷,有可能恢复窦性节律。因为停用强心苷就是取消它的缩短心房不应期的作用,就相对地延长不应期,可使折返冲动落入较长的不应期而停止折返,于是窦性节律得以恢复。

阵发性室上性心动过速,强心苷通过兴奋迷走神经减慢房室传导的作用,可有疗效。

【不良反应及其防治】以往用量偏高,中毒发生率接近20%,现用量减少,又常采用逐日给恒量地高辛法,故中毒率明显下降,已低于12%。

1.毒性作用的表现 较常见的有胃肠道反应,如厌食、恶心、呕吐、腹泻,应注意与强心苷用量不足心衰未受控制所致的胃肠道症状相鉴别。后者由胃肠道淤血所引起。神经系统反应有眩晕、头痛、疲倦、失眠、谵妄等。还有黄视症、绿视症等。最严重的是心毒性反应,可出现各种心律失常,多见早见的是室性早搏,约占心反应的33%;次为房室阻滞约为18%;房室结性心动过速17%;房室结代节律12%;房性过速兼房室阻滞10%;室性过速8%;窦性停搏2%。这些心律失常由三方面毒性作用所引起:由浦肯野纤维自律性增高及迟后除极触发活动所致的异位节律的出现;房室结传导性的抑制;窦房结自律性的降低。

2.毒性作用的防治 先要明确中毒诊断,可根据心电图的变化与临床症状作出初步判断。测定强心苷的血药浓度则有重要意义。地高辛浓度在3.0 ng/ml,洋地黄毒苷在45 ng/ml以上可确诊为中毒。预防上应注意诱发因素如低血钾、高血钙、低血镁、心肌缺氧等。还应警惕中毒先兆的出现,如一定次数的室性早搏、窦性心律过缓低于60次/min以及色视障碍等。

解救上,对过速性心律失常者可用钾盐静脉滴注,轻者可口服。细胞外K+可阻止强心苷与Na+-K+-ATP酶的结合,能阻止毒性发展。苯妥英钠能控制室性早搏及心动过速而不抑制房室传导,它能与强心苷竞争性争夺Na+-K+-ATP酶而有解毒效应。利多卡因也有效。对中毒时的心动过缓或房室阻滞宜用阿托品解救。地高辛抗体的Fab片断对强心苷有强大选择性亲和力,能使强心苷自Na+-K+-ATP酶的结合中解离出来,解救致死性中毒有明确效果。它与地高辛的结合物可经肾排泄。每毫克地高辛需用80mg Fab拮抗之。

【给药方法】强心苷的传统用法分为两步,即先获足够效应而后维持之。用药先给全效量即“洋地黄化”,而后逐日给予维持量。全效量可口服地高辛首次0.5mg,4h后再给0.5mg,对危急病例可在5min内缓慢静脉注射地高辛1.0mg。维持量应每日补充体内消除量,地高辛每日消除体内储存量35%,约为0.125~0.5mg。

现知逐日给恒定剂量的药物,经4~5个t1/2后就能在血中达到稳态浓度。据此,对病情不急的CHF患者,现多采用地高辛(t1/2为36 h)逐日给予0.25~0.375mg,经6~7 d就能达到稳定的有效浓度,从而取得稳定疗效。这种给药法可明显降低中毒发生率。

强心苷的用量应做到个体化,同一患者在不同病情下,用量也应增减。当体内失钾或肾功能减退时,为避免中毒应减少用量。当感染而增加心工作负荷时,为了保持疗效,宜酌情加大用量。

【药物相互作用】许多药物干预地高辛的药代动力学变化而影响其血药浓度。消胆胺、新霉素在肠中与地高辛结合,妨碍其吸收,降低血药浓度;奎尼丁能使90%患者的地高辛血浓提高1倍,是奎尼丁自组织中置换出地高辛的结果,合并用药时宜酌减地高辛用量约30%~50%;胺碘酮、维拉帕米等也能升高地高辛的血药浓度。

第二节 非强心苷类的正性肌力作用药

1.β受体药 β受体部分激动剂扎莫特罗(xamoterol)有双向作用:在轻度CHF或休息时,交感神经活性较低,它发挥激动药作用;在重症或劳累激动时,交感神经活性较高,它发挥阻断药作用。临床称其能增加中、轻度CHF患者休息时的心输出量及血压,对重症患者也能缓解症状。其应用价值仍在研究中。近年用β受体阻断药美托洛尔(metoprolol)治疗特发性扩张型及冠心病CHF而收到较好效果。它能上调β受体数量,又能拮抗交感神经活性增高对CHF发病的不利影响,但并非对每一病例都有效,现仍有研究性试用。异波帕胺(ibopamine)属多巴胺类药物,部分作用是激动β受体,而增加心肌收缩性,能增加心输出量,降低外周阻力,促进利尿。治疗CHF能缓解症状,提高运动耐力,疗效与地高辛相似,有应用价值。

2.磷酸二酯酶抑制药 磷酸二酯酶PDE-Ⅲ是cAMP降解酶,抑制此酶活性将增加细胞内cAMP的含量,发挥正性肌力作用和血管舒张作用,临床应用已证明PDE-Ⅲ抑制药能增加心输出量,减轻心负荷,降低心肌氧耗量,缓解CHF症状。

最先应用的 PDEⅢ抑制药是氨力农(amrinone),临床有效,但长期口服后约15%患者出现血小板减少,可致死亡。另有心律失常、肝功能减退。现仅供短期静脉滴注用。其代替品米力农(milrinone)抑酶作用较前者强20倍,临床应用有效,能缓解症状、提高运动耐力,不良反应较少,未见引起血小板减少。新近称久用后疗效并不优于地高辛,反更多引起心律失常,故病死率较高,也仅供短期静脉给药用。依诺昔酮(enoximone)治疗中、重度CHF疗效与米力农相似,近也称其病死率较对照组为高,不作长期口服用。其他有待临床观察的药还有匹罗昔酮(piroximone)、匹莫苯(pimobendan)、维司力农(Vesnarinone)等。后者作用机制多样,除抑制PDE-Ⅲ外,也增加细胞内Na+量,抑制K+外流,临床试用有效受到重视。

上述多种PDE-Ⅲ抑制药还兼有增强心肌收缩成分对Ca2+敏感性的作用,即不用增加细胞内Ca2+量也能加强收缩性。这就可避免因细胞内Ca2+过多而继发的心律失常、细胞损伤甚至坏死。目前正待研制具有选择性的“钙增敏药”。

第三节 血管扩张药治疗慢性心功能不全

治疗心绞痛和高血压的一些血管扩张药,自20世纪70年代以来也用于治疗CHF而收到效果。它们能缓解症状,改善血流动力学变化提高运动耐力,但多数扩血管药并不能降低病死率。药物舒张静脉(容量血管)就可减少静脉回心血量、降低前负荷,进而降低左室舒张末压、肺楔压,缓解肺充血症状。药物舒张小动脉(阻力血管)就可降低外周阻力,降低后负荷,进而改善心功能,增加心输出量,增加动脉供血,从而弥补或抵消因小动脉舒张而可能发生的血压下降与冠状动脉供血不足的不利影响。

1.硝酸酯类 主要作用于静脉,降低前负荷,用药后明显减轻呼吸急促和呼吸困难。也略舒张小动脉,略降后负荷。硝酸甘油静脉滴注10μg/min,可每5~10min增加5~10μg/min,二硝酸异山梨醇酯也可用。

2.硝普钠 能舒张静脉和小动脉,静脉注射给药后2~5min即见效,停药后2~15min即消退。用药后前、后负荷下降,对急性心肌梗死及高血压所致CHF效果较好。静脉滴注开始12.5μg/min,每5~10min增加5~10μg。

3.肼屈嗪 主要舒张小动脉,降低后负荷,用药后心输出量增加,血压不变或略降,不引起反射性心率加快,一般口服每日4次,每次50~75mg。

4.哌唑嗪 能舒张静脉和动脉,用药后后负荷下降,心输出量增加,肺楔压也下降。对缺血性心脏病的CHF效果较好。口服首剂0.5mg,以后1mg/6 h。

5.硝苯地平 舒张动脉较强,降低后负荷较为显著,能增加心输出量。由于它对受损心肌可能发生的抑制作用,一般不作CHF的常用药。

6.近年报道对Ⅱ、Ⅲ级CHF患者以地高辛、利尿药为基础,加用肼屈嗪300mg/d和二硝酸异山梨醇酯160mg/d,发现加用二药能降低病死率,3年降低36%,左心室射血分数也增高。

第四节 血管紧张素Ⅰ转化酶抑制药

血管紧张素Ⅰ转化酶抑制药(ACEI)治疗CHF除发挥一般血管扩张药作用外,还能防止或减轻CFH发病恶性循环中的危险因素即心室肥厚的发生。后者包括肌细胞与非肌细胞的肥大增生,伴有左室形态结构的改变和机械效能的减退。现称这一复杂过程为“构形重建(remodeling)”。此时不仅心肌损伤部位有病变,且有非损伤部位的重建,还有非肌细胞如成纤维细胞、胶原细胞、血管细胞等的增殖生成。这些肌细胞外的间质对收缩力的机机械转导与舒张后的回缩及张力的发展都很重要。间质中胶原增多,重新排列与断裂,间质纤维化,室壁硬化及偏心肥厚都将加剧收缩与舒张功能障碍。其扩血管机制详见第十九章。

制剂及用法

洋地黄毒苷(digitoxin)口服:0.05~0.2mg/次。极量:0.4mg/次,1mg/d。

地高辛(digoxin)一般首剂,0.25~0.75mg,以后每隔6 h0.25~0.5mg直至洋地黄化,再改用维持量

(0.25~0.5mg/d)。轻型慢性病例:0.5mg/d。

毒毛花苷K(strophantin K)静注,0.25mg/次,0.5~1.0mg/d。极量:0.5mg/次,1.0mg/d。

(万进军)