第一章 总 论
第一节 绪 言
一、药理学的性质与研究内容
药物(drug)是指能用于预防、治疗和诊断疾病,以及用于计划生育、有目的地调节人的生理机能,并规定有适应证、功能主治和用法用量的化学物质。根据其来源的不同分为:天然药物、合成药物和生物工程药物等三类。药物活性主要表现在增强或者减弱组织器官的生理功能和某细胞的代谢活动,这是药物产生药理作用的基础。
药理学(pharmacology)是研究药物与机体间相互作用与作用规律的一门科学。药理学的研究内容主要有两方面:其一,药物效应动力学(pharmacodynamics),简称药效学,主要研究药物对机体的作用及作用规律,阐明药物防治疾病的机制;其二,药物代谢动力学(pharmacokinetics),简称药动学,主要研究机体对药物的处理过程,包括药物在体内的吸收、分布、代谢(生物转化)及排泄等动态变化过程,尤其是血药浓度随时间而变化的规律。
药效学与药动学是在机体内同时进行着的两个方面,相互之间有着密切的联系。药理学研究这两方面的内容,主要在于充分发挥药物的治疗作用,防治不良反应;有助于为医药工作者如何合理用药提供理论基础;有助于为研究高效、低毒、安全的新药提供线索;也有助于阐明药物的作用机制,药物与机体相互作用的基本规律和原理,为探索生命的本质提供重要的科学依据。
药理学作为药物治疗的理论基础,既与生理学、生物化学、病理学、微生物学与寄生虫学等医学基础理论有着广泛的联系,还与内科学、外科学及神经精神病学等临床医学密切相关。同时,也与研究药物本身的药物化学、生药学、药剂学、制药学等紧密相关。因此,药理学是处于基础医学与临床医学之间、药学与医学之间起双重联系的桥梁学科。
二、药物与药理学的发展简史
1.本草学的发展 在古代,人类为了生存与繁衍,从生产、生活中积累了经验,认识和发现某些天然植物、动物和矿物可用于治疗疾病,并记载成书籍,被称为“本草学”,这是人类认识药物的开始。我国的本草学成就很大,历代的专著有100多种。公元1世纪前后成书的《神农本草经》是当时世界上最早的药物学著作;唐代(659年)的《唐新修本草》,被政府正式颁布为我国第一部药典;明代(1596年)杰出的医药学家李时珍的专著《本草纲目》,分52卷,收载药物1892种,处方11096个,药物插图1109幅,全书共190万字,先后被译成日、韩、德、英、法、拉丁、俄等7种文本,至今仍是研究天然药物的重要参考书,这对我国医药学乃至对世界药物学的发展作出了杰出的贡献。
2.药理学的建立与发展 与现代科学的发展密切相关。19世纪初,由于化学、生物学、生理学的发展,促进了实验药理学的形成与发展。德国人Sertürner(1804年)从罂粟中提出吗啡,用狗实验证明有镇痛作用。法国人Magendi(1819年)和Bernald(1856年)用青蛙做经典实验,确定了士的宁作用部位在中枢神经的脊髓。这些研究工作为药理学的发展打下了可靠的实验方法基础,对现代药理学的建立与发展作出了伟大贡献。
20世纪初,德国人Ehrlich(1909年)发现胂凡纳明能治疗梅毒,从而开始利用合成药物治疗传染病。德国人Domagk(1935年)发现磺胺药可治疗细菌性感染性疾病。英国人Florey(1940 年)在Fleming(1928年)研究的基础上,从青霉菌培养液中分离出青霉素,并开始将抗生素用于临床,开辟了用微生物来治疗微生物引起的疾病的新纪元,促进了化学治疗学的发展。
近年以来,随着药理学相关学科,如分子生物学、细胞生物学、生物工程等学科迅速发展,以及新技术在药理学中的应用,如组织和细胞培养、微电极测量、同位素技术、电子显微镜、电子计算机技术、各种色谱技术和生物工程技术等广泛应用,药理学在深度和广度上有了很大发展。例如,对药理学的研究由原来的有机体、系统、器官水平而深入到细胞、亚细胞、受体、分子和量子水平。同时出现了许多药理学的分支学科,如生化药理学、分子药理学、量子药理学、神经药理学、免疫药理学、遗传药理学、时辰药理学等边缘学科,分别从不同方面研究药物作用的基本理论。随之还开设了临床药理学、航空药理学、航海药理学等应用药理学分支学科,以直接研究药物和人体相互作用的规律,阐明药物的临床疗效、药物不良反应与监测,药物相互作用以及新药的临床评价等。
三、学习与研究药理学的方法
学习药理学的主要目的是:掌握药效学的基本规律与临床用药的基本规律,充分发挥药物的治疗效果,尽可能减少或避免药物的不良反应,以达到安全、有效、经济、合理用药,并达到防治疾病的目的。因此,学习药理学时应该注意以下几点:
1.联系基础医学理论 药理学是建立在基础医学理论之上的一门综合性功能学科。其理论与生理学、生物化学、微生物学、寄生虫学、免疫学、病理学等有密切的联系。在学习每一类药物时,要有针对性地联系相关的基础医学知识,对于理解和记忆药物作用,作用机制诸方面有事半功倍的效果。例如,学习利尿药的分类与作用特点与肾脏的尿生成相联系;学习抗心律失常药的分类与作用特点与心肌细胞电生理相联系;学习抗生素的分类和作用机制与细菌的结构功能相联系等。
2.联系临床医学的理论与实践 药理学是由基础医学向临床医学过渡的桥梁学科。每种药物的临床作用与用途、不良反应与合理用药等方面都应在临床实践中得到显示。例如,抗胆碱药阿托品能用于胃肠平滑肌痉挛并可引起口干;镇静催眠药用于失眠症而多数人久用有依赖性。因此,将药理学基本知识与临床实践相联系,能提高运用能力。
3.掌握药物的共性与个性 药理学涉及的药物品种多,且每一种药物均有药理作用、作用机制、临床用途、不良反应、药物相互作用、配伍禁忌、用法用量等方面。单个药物学习、记忆较困难,同类药物作用特点易混淆。例如,山莨菪碱与东莨菪碱同属于阿托品类胆碱受体阻断药,山莨菪碱对抗乙酰胆碱所致的平滑肌痉挛和抑制心血管作用,与阿托品相似而稍弱,但其对血管痉挛的解痉作用的选择性相对较高,主要用于感染性休克、内脏平滑肌绞痛;东莨菪碱有阿托品样抑制腺体分泌的作用,也有与阿托品相反的中枢抑制作用,麻醉前给东莨菪碱优于阿托品,且还可用于晕动病。因此,在学习中应该注重药物的分类,学习代表性的药物,掌握每类药物作用的共同规律,采用比较和分析的方法,区别各类药物的特性,达到概念清晰,记忆牢固,合理用药的效果。
4.注意药物作用的双重性 药物作用于有机体,是双刃剑。既有对机体有益的防治作用;也有对机体有害的不良反应。如果药物用量过大,用药过久或机体对药物的敏感性增加时,有益的药物也可变成有害的毒物。因此,学习中要全面掌握药物的防治作用和不良反应,权衡用药后的利与弊,确定是否用药,用什么药,如何用药,以预防或减轻药物对机体的损害。
5.重视药理学实验 药理学也属于实验科学,药理学实验是药理学教学的重要组成部分,所有药物作用和作用机制的结论,都是从动物实验中总结出来,并在临床医疗实践中得到证实,这对于学好药理学理论有重要作用,有助于验证药理学理论,使抽象的概念、规律、结论具体化和形象化,可加深理解,增强记忆。进行药理学实验,还有助于训练学生动手操作的能力,培养学生观察事物的能力和进行科学研究工作的能力。
根据实验对象的不同,药理实验方法可分为以下三类:
(1)实验药理学方法 对清醒健康的动物、对麻醉动物、对离体的动物器官、组织、细胞等进行实验,这对于分析药物作用,作用部位及机制具有重要意义。
(2)实验治疗学方法 事先用实验病理学方法,使实验动物产生病理模型,然后用药物观察其治疗作用。这是药理学研究联系临床实践的重要方法。例如,大多数抗高血压药、化学治疗药、抗肿瘤药等都是利用该方法。
(3)临床药理学方法 在动物实验取得充分资料的基础上,以健康人或者病人为对象研究药物的作用、体内过程及相互作用、不良反应等方面,从而制订出合理的给药方案。
这对于指导临床合理用药、提高药物疗效、保证用药安全、开发新药等具有重要意义。
第二节 药物效应动力学——药效学
一、药物作用
药物作用(drug action)是指药物与机体组织间的初始作用;药物效应(drug effect)是指药物初始作用所引起机体器官原有功能的改变。实际中,药物作用与药物效应可相互通用。
(一)药物基本作用
1.兴奋作用(excitation)凡能使机体原有生理、生化功能增强的作用称为兴奋作用。例如,肾上腺素能兴奋心脏和升高血压,咖啡因能兴奋中枢神经系统与兴奋心脏、干扰素能增强机体免疫功能等。
2.抑制作用(inhibition)凡能使机体原有生理、生化功能减弱的作用。例如,普萘洛尔抑制心肌降低血压,氯丙嗪能使精神分裂症用后出现镇静与安定作用等。
(二)药物作用类型
1.药物作用范围
(1)局部作用 药物吸收入血以前,在用药部位出现的作用称为局部作用。例如,适量的丁卡因涂布在黏膜表面,可使黏膜下神经末梢麻醉。
(2)全身作用(吸收作用)药物从给药部位吸收入血后,分布到机体各个部位发生的作用称吸收作用或全身作用。例如,口服或肌肉注射阿莫西林抗感染,就是该药进入血液后产生的杀菌作用。
2.药物作用方式
(1)直接作用(原发作用)药物在所分布的组织器官直接产生的作用。例如,强心苷对心脏的正性肌力作用。
(2)间接作用(继发作用)由直接作用引发的其他作用。例如,去甲肾上腺素有升高血压和减慢心率两种作用,前者是去甲肾上腺素激动血管平滑肌上α受体的结果,属于直接作用;后者使血压升高引起降压反射的结果,属于间接作用。
3.药物作用的选择性 是指药物对机体不同组织器官在作用性质或作用强度方面的差异。大多数药物在治疗剂量时,对相应的组织器官有明显的作用,而对其他的组织器官则无作用或无明显的作用。例如,治疗慢性心功能不全药强心苷,对心脏有很强的选择性,小剂量就能产生正性肌力的作用,但对骨骼肌和平滑肌,即使应用很大剂量也无作用。
(三)药物作用双重性
药物作用双重性主要包括治疗作用与不良反应。两者之间往往是相互联系着的,是同时发生的两种不同的作用表现形式。
1.治疗作用(therapeutic action)
(1)对因治疗(etiological treatment)又称治本,用药目的在于消除原发致病因素,彻底治愈疾病称为对因治疗。例如,青霉素对某些病原体有抑制或杀菌作用,甲硝唑能抗阴道毛滴虫和阿米巴原虫等。
(2)对症治疗(symptomatic treatment)又称治标,用药目的在于改善疾病症状,减轻病人痛苦者称对症治疗。例如,度冷丁镇痛、阿司匹林能解热镇痛、抗酸药能中和胃酸等。
(3)补充作用(supplementary therapy)又称替代疗法,用药目的在于补充体内营养物或代谢物质的不足,但其不能清除原发病灶,与对因治疗还有一定区别。例如,维生素类药、抗贫血药等。
2.不良反应(adverse reaction)凡是不符合用药目的或给病人带来痛苦与危害的反应称为不良反应。临床用药时,应充分发挥药物的治疗作用,尽量减少药物不良反应的发生率。其中,不良反应基本知识较为复杂,因此,在下文作较详细介绍。
二、药物不良反应
1.副反应(side reaction)又称副作用(side effect),是指药物在用治疗量时出现的与治疗目的无关的不适反应。副作用是药物的固有作用,一般都较轻微,可以预测到。可以避免或减轻。其产生的原因是药物的选择性低,作用范围广,当利用其中一种或两种作用,其他作用则成为副作用。但随着治疗目的不同,副作用有时可成为治疗作用。如阿托品可抑制腺体分泌,解除平滑肌痉挛,加快心率等。在麻醉前给药时,仅利用它抑制腺体分泌的作用,而松弛平滑肌引起的腹气胀或尿潴留则成了副作用;若要利用其解痉挛作用时,抑制腺体分泌引起的口干和加快心率引起的心悸则成了副作用。
由于副作用是在治疗量时出现的,通常难以避免。这可事先向患者说明。其实有些药物的副作用可以设法纠正。例如,用麻黄碱治疗支气管哮喘,产生中枢神经兴奋作用,可引起患者失眠,若同时服用催眠药可纠正。
2.毒性反应(toxic reaction)是指药物在剂量过大,用药时间过长或机体对药物敏感性过高时产生的危害性反应称为毒性反应。用药后立即发生反应者称为急性毒性;长期体内蓄积而缓慢发生者称之为慢性毒性。毒性反应对病人的危害性较大,在性质上和程度上也与副反应不同。能造成机体的组织器官、功能性或器质性的损害,甚至危及生命。每个药物均又能出现特有的中毒症状,很多药物的毒性反应是可预期的。在临床用药时,应该注意掌握药物的剂量与间隔时间,密切观察患者的反应,必要时停药或改用其他药物。
3.后遗反应(residual effect)是指停药后血药浓度降至最低有效浓度以下残存的生物效应。例如,服用长效巴比妥类催眠药后,次日早晨仍有短暂的头晕、困倦、嗜睡等后遗作用。
4.继发反应(secondary reaction,又称治疗矛盾)是指继发于药物治疗作用之后的一种不良反应。例如,长期应用广谱抗生素四环素等药物时,由于肠道菌群的共生平衡遭到破坏,敏感的有益细菌被抑制或杀灭,而不敏感的致病细菌如耐药葡萄球菌、真菌则大量繁殖,导致葡萄球菌肠炎或念珠菌病。
5.变态反应(allergy reaction)是指机体受药物刺激后发生的异常免疫反应。其反应与药物剂量及药理作用无相关性,而与个体反应的差异性相关。致敏源可以是药物本身、药物的代谢物或药物制剂中的其他物质。药物变态反应的特点:①过敏体质容易发生;②首次用药很少发生,常在第二次或多次用药时出现;③已过敏者其过敏性可终生不消退;④结构相似的药物可有交叉过敏反应。药物过敏反应的主要表现有:发热、皮疹、血管神经性水肿、哮喘及血清病样反应,最严重的表现是过敏性休克,且最常见的导致过敏的药物有青霉素、链霉素、普鲁卡因等药。
6.致畸作用(teratogenesis)是指某些药物能影响胚胎的正常发育而引起畸胎。例如,沙利度胺(thalidomide)又名反应停,20世纪60年代末刚上市时被认为毒性小、较安全的镇静药,动物实验证明治疗指数非常大,超大剂量无毒性反应。在西欧曾广泛用于妇女的早期妊娠反应,但不久发现孕妇用此药后常分娩畸形胎儿,致使四肢短小,俗称“海豹儿”。医学实践证明,孕妇头3个月内,用药应特别谨慎,除非特别需要,一般以不用药为宜。因为在妊娠早期胚胎发育非常快、最易受药物的影响。
三、药物剂量与效应关系
药物剂量与效应的关系简称为量-效关系(dose-effect relationship),是指药物剂量与效应的关系。多数药物在一定范围内,药物效应随着剂量增大而增强。见图1-1。
1.药物剂量 是指用药的分量。剂量与效应的关系,由弱到强依次分为:

图1-1 药物剂量示意图
(1)无效量 药物的剂量过小,在体内达不到有效浓度,不能出现明显的药理作用。
(2)最小有效量 当剂量增大至开始出现治疗作用时的剂量。
(3)极量 又称最大治疗量。随着剂量的增大,作用逐渐加强,接近中毒的剂量。
(4)常用量(又称治疗量)在临床上为了使治疗效果明显而又安全,在治疗量中采取比最小有效量大些,比极量小些而疗效明显的那一部分剂量。
(5)最小中毒量 超过极量就有引起中毒的可能,恰能引起中毒反应的剂量。
(6)致死量 剂量再加大,则中毒反应逐渐加剧,达到引起死亡的剂量。
(7)安全范围 一般将最小有效量和最小中毒量间的范围称为“安全范围”,这个范围越大则用药越安全,反之则容易发生中毒。
2.剂量效应关系 是量效关系的最简明表示方法。根据药物效应性质可分为量反应和质反应,它们所得的量效反应曲线相应的分为:量反应量效关系和质反应量效关系。
(1)量反应量效关系 药物效应的指标可用数字或量分级表示,如心率、血压、呼吸频率、尿量、血糖浓度等,这种反应类型称为量反应。以纵坐标表示效应强度,横坐标表示剂量,由此得到的剂量效应曲线,这些都是测定不同剂量下药物效应强度的指标,决定药物效应的要素是剂量。量效关系两者并非是简单的直线关系而是曲线关系,若将普通剂量改为对数剂量,则呈一条对称的S型曲线。见图1-2。

图1-2 药物作用的量效关系曲线
(2)质反应量效关系 药物效应指标只能用全或无、阳性或阴性表示,结果以反应的阳性率和阴性率的方式作为统计量,这种反应类型称为质反应,如有效与无效、存在与死亡、出现与不出现等。以纵坐标表示反应数,横坐标表示对数剂量,则为对称的钟型曲线(正态分布曲线),当纵坐标为累加阳性数时,其曲线为对称S型曲线(图1-3),即大多数个体是在中等剂量时才产生效应,少数在较小剂量或很大剂量时才产生效应。

图1-3 质反应型量效关系曲线
量反应量效曲线与质反应量效曲线虽然都呈S型,但其纵坐标含义不同,量反应为效应绝对值增减,质反应为累加效应百分率。
药物量效关系是药效学研究中的一个重要内容之一,有如下两点应用与理论意义:
(1)比较两药的效能与效价强度见图1-4。

图1-4 量反应型量《-》效关系曲线
A药的效能与B药相等 A药的效价大于B药
1)效能(efficacy)是指药物性能产生的最大效应(maximal effect),反应药物内在活性的大小。高效能药物的效应是低效能药物无论用多大剂量也无法产生的。例如,解热镇痛药阿司匹林是低效能药,只能用于慢性镇痛有效;而镇痛药吗啡是高效能药物,可用于急性剧痛有效。
2)效价强度(potency) 又称为效价,表示药物达到同等效应时所需的剂量。若剂量越小,效价越大。效价反应药物与受体亲和力大小。若对两种药物的效价进行比较称为效价比,效价比与两药的等效剂量成反比。例如,10mg度冷丁的镇痛作用与1mg吗啡的镇痛作用相当,是指度冷丁的效价仅为吗啡的1/10。
(2)评价药物安全性大小常用的指标评价指标有两种:其一,评价一个药物的安全性可用治疗安全范围来衡量;其二评定药物毒性大小可用治疗指数作为参考数值。
1)治疗指数(therapentic index,TI)是指药物半数致死量(median lethal dose,LD50)与半数有效量(median effective dose,ED50)的比值,即TI= LD50/ED50,治疗指数越大,药物越安全。由于中毒量在临床治疗上没有实用意义,但在测定药物毒性的动物实验中要测定引起半数实验动物死亡LD50作为毒性大小的指标。同样,也可规定疗效指标,测定实验动物的ED50。因此,为了准确估计药物的安全性,常用动物的LD50和ED50的比值来衡量,其数值越大药物越安全。见图1-5。
2)可靠安全范围系数(ceratain safty factor,CSF) 即CSF= LD50/ED99,是指99%有效量与1%致死量之间的距离,其范围越大越安全。
四、药物作用机制
药物作用机制是研究药物为什么起作用和如何产生作用,是药效学研究的重要内容之一,其意义有助于阐明药物治疗作用和不良反应的本质,有助于指导临床合理用药;有助于新药的开发、设计和深入认识机体内在的理化性质或病理过程。
(一)非特异性药物(nonspecific drug)
作用与药物的理化性质有关,而与药物的化学结构关系不大,作用机制较简单,有如下几种类型:
1.渗透压作用 例如,硫酸镁的导泻作用;甘露醇的脱水作用。
2.影响pH例如,口服碳酸氢钠碱化尿液,中和胃酸。
3.脂溶作用 例如,全身麻醉药对中枢神经系统的麻醉作用。
4.氧化-还原反应 例如,高锰酸钾释放新生态氧,氧化杀菌。
5.表面活性 例如,新洁尔灭能改变细菌胞浆膜通透性而杀菌。
6.络合作用 例如,二基丙醇能络合砷与汞,解除砷汞中毒。

图1-5 药物的治疗指数和可靠安全系数
(二)特异性药物(specific drug)
作用主要与化学结构相关,其有如下类型:
1.参与或干扰代谢过程 例如,维生素D参与钙磷代谢可治疗佝偻病;氟尿嘧啶与尿嘧啶结构相似而无尿嘧啶的生理作用,但掺入恶性肿瘤细胞的DNA及RNA中,能干扰蛋白质合成。
2.影响细胞膜功能 例如,利多卡因作用于心肌,阻滞钠通道并开放钾通道,可治疗室性心率失常;硝苯地平阻滞血管平滑肌的钙通道,可治疗高血压。
3.影响体内活性物质 例如,乙酰水杨酸通过抑制体内前列腺素PG的生物合成而发挥解热、镇痛、消炎合抗风湿作用。
4.影响酶的活性 例如,依那普利抑制血管紧张素转化酶,减少血管紧张素Ⅱ的形成,可治疗高血压;碘解磷定能使受抑制的胆碱酯酶复活,能治疗有机磷酸酯类农药中毒。
5.影响递质释放或激素分泌 例如,麻黄碱不仅能直接作用于肾上腺素受体,还能促使去甲肾上腺素能神经末梢释放递质去甲肾上腺素;格列齐特可促进胰岛素分泌而使血糖降低。
6.影响核酸代谢 例如,利福平抑制核酸代谢,为强效抗结核病药。
7.影响免疫功能 例如,环孢素能选择性抑制T细胞的增值与分化,具有免疫抑制作用;白细胞介素-2能诱导B细胞、T辅助细胞和杀伤性T细胞的增值与分化,具有增强免疫的作用。
8.影响受体功能(详见下文)。
(三)药物作用的受体机制
1.受体概念 受体是存在于细胞膜或细胞内,能识别、结合特异性配体并发生特定效应的大分子物质。
受体理论是药效学的基本理论之一。它是从分子水平解释药物的作用、作用机制、药物分子构效关系的一种基本理论。
2.受体类型 根据受体的结构及功能特点,可将受体大致分为下列四类:
(1)含离子通道的受体 这类受体组成贯通细胞膜内外的离子通道。其特点是受体直接操纵离子通道的开关,调控细胞内外离子的流动。如N胆碱受体、脑中酪氨酸受体。
(2)具有酪氨酸激酶活性的受体 这类受体镶嵌于细胞膜上,其特点是受体内段具有酪氨酸激酶活性,能催化各种底物蛋白磷酸化,从而将细胞外信息传递到细胞内。例如,胰岛素受体。
(3)G蛋白耦联的受体 这类受体在结构上分为细胞外、跨膜及细胞内三部分。其特点是胞内部分结合着鸟苷酸调节蛋白,G蛋白有信号转导功能。受体与激动剂结合可把信息传递至效应器。例如,前列腺受体、肾上腺素受体等多肽类受体。
(4)细胞内受体 大多数甾体激素受体位于细胞质内,能与相应的热休克蛋白结合,热休克蛋白遮蔽受体与DNA的结合部位,当受体与激素结合后,即释放热休克蛋白并显露DNA结合部位,于是激素进入细胞核并与DNA紧密结合,调节其表达过程。
3.受体特性
(1)高度特异性 特定的受体只能与其特定的配体(激素、递质、药物)结合,产生特定的效应。
(2)高度敏感性 其有放大效应,只需要与极低浓度的配体结合,就能产生强大的效应。
⑶高度饱和性 受体数目有限,具有饱和性,即配体与受体充分结合表现出最大效应,若再增加配体,其效应不会再增强。
(4)高度的可逆性 配体与受体结合形成复合物,配体可以从中分离出来,也可以被其他特异性配体置换出来。
4.药物与受体相互作用 药物与受体结合而产生效应,必须具备两种特性:其一,是药物与受体结合的能力(亲和力);其二,是药物与受体结合后产生效应的能力(内在活性)。因此,可以将药物分为三类:
(1)激动药(agonist)是指药物与受体有较强的亲和力,也有较强的内在活性。例如,肾上腺素能激动α、β受体,使血管收缩,心脏兴奋。
(2)拮抗药(antagonist)是指药物与受体有较强的亲和力,但缺乏内在活性。因此,拮抗药本身不能引起效应,但能阻断激动药的作用。例如,普萘洛尔可与β受体结合,能阻断肾上腺素与β受体的结合,产生拮抗肾上腺素的作用,从而具有抑制心脏、降低血压等作用。
(3)部分激动药(partial agonist)是指药物与受体有较强的亲和力,但是只有较弱的内在活性。即使再增加剂量,也不可能达到完全激动药那样最大的效应。相反,却能占据受体而能拮抗激动药的部分效应,表现为部分阻断作用。例如,弱效镇痛药镇痛新与强效镇痛药吗啡合用时,前者能拮抗后者镇痛效应的发挥。
5.受体调节 是指在生理、病理或药理等因素的影响下,受体在数目、亲和力和效应力方面的变化。
(1)上增性——向上调节(up regulation)激动药浓度低于正常时,受体的数目增多,亲和力增加或效应力增强称为向上调节。向上调节的受体对再次用药非常敏感,药物效应增强,此现象称为受体超敏。例如,长期应用β受体阻断药,可使β受体向上调节;一旦突然停药,因β受体数目增多而对体内的递质去甲肾上腺素产生强烈效应,可引起心动过速、心律失常或心肌梗死。
(2)衰减性——向下调节(down regulation)是指常在激动药浓度过高,或长期激动受体时,受体的数目减少,亲和力减少或效应力减弱称为向下调节。向下调节的受体对再次用药反应迟钝,药物效应减弱,此现象称为受体脱敏。受体脱敏可因多次使用受体激动药引起,是产生耐受性的原因之一。例如,N2受体激动与氯化琥珀胆碱在反复给药后数秒内产生的骨骼肌松弛作用,是由受体蛋白构象发生改变,导致钙离子通道不再开放。
第三节 药物代谢动力学——药动学
药物代谢动力学,简称为药动学,是研究药物体内过程及体内药物浓度随时间变化的规律。主要研究两大内容:一是药物的体内过程,包括吸收、分成、代谢和排泄四个过程;二是药物在体内随时间变化的过程规律。见图1-6。

图1-6 药物的体内过程
一、药物跨膜转运
药物在体内的转运(吸收、分布、排泄)必须通过各种组织的细胞所组成的膜,如胃肠道黏膜、毛细血管壁、肾小管壁、肾小球、血脑屏障等;进入细胞则须通过细胞膜;在细胞内则又通过细胞器的膜,如溶酶体膜,进入细胞器。这种膜又统称为生物膜。因此,药物的转运实质上是药物通过生物膜的过程,故又称为跨膜转运。
1.被动转运 即药物按物理的简单扩散或滤过通过生物膜,并不消耗能量。
(1)简单扩散(simple diffusion)——又称脂溶扩散 即药物从浓度高的一侧扩散到浓度低的另侧,其转运速度与膜两侧的浓度差成正比,待两侧浓度相等时,扩散就停止。大多数药物的转运方式属简单扩散。
药物的理化性质可影响扩散过程,脂溶性大、极性小者(如甾体激素、脂溶性维生素、生物碱、巴比妥类等)易于通过生物膜。
药物的解离度也可影响被动转运。药物多属弱酸或弱碱,它们在溶液中可部分解离为离子,部分呈未解离的非解离型。非解离型脂溶性大,易于扩散。因此,药物的解离常数(pKa)与药物的转运有关。解离度与溶液的pH关系极密切,故溶液的pH也影响药物的被动转运。
(2)滤过——药物通过亲水孔道的转运 这是在流体静压或渗透压的影响下,许多小的、水溶性的极性物质和非极性物质的转运方式。分子量大于100~200的物质通常不能通过这种亲水孔道。
(3)易化扩散(facilitated diffusion) 是膜内载体促进代谢物(如葡萄糖、氨基酸等)扩散的一种方式,不耗能,也不能逆浓度差转运。药物很少以这种方式转运。
2.主动转运(active transport)为逆流转运,即药物可以由低浓度一侧转运到浓度高的另侧(逆浓度梯度移行)。主动转运必须有细胞膜的载体,且消耗能,有饱和现象。如果两个类似的药物均由一种载体转运,则此二药之间还存在着竞争性抑制关系。主动转运与药物在体内的不均匀分布和自肾脏的排泄影响较大,与吸收的关系较小。
3.膜动转运(cytosis)是指大分子物质的转运伴有膜的运动。这种转运包括两种形式:
(1)胞饮(pinocytosis)又称入胞,指某些大分子物质可通过细胞膜的内陷形成小胞吞噬面进入细胞内。例如,垂体后叶粉剂,能从鼻黏膜给药吸收。
(2)胞吐(exocytosis)又称出胞,指某些液态状的大分子物质能从细胞内转运到细胞外。例如,递质的释放和胞体的分泌等。
二、药物体内过程
(一)吸收
药物的吸收(absorption)是指药物自体外或给药部位经过细胞组成的屏蔽膜进入血液循环的过程。多数药物按简单扩散物理机制进入体内。扩散速度除取决于膜的性质,面积及膜两侧的浓度梯度外,还与药物的性质有关。分子量小的(200 D以下),脂溶性大的(油水分布系数大的)、极性小的(不易离子化的)药物较易通过。药物多是弱酸性或弱碱性有机化合物,其离子化程度受其pKa(酸性药物解离常数的负对数值)及其所在溶液的pH而定,这是影响药物跨膜被动转运,吸收分布排泄的一个可变因素。按公式:

由此可见,不论弱酸性或弱碱性药物的pKa都是该药在溶液中50%离子化时的pH值,各药有其固定的pKa值。当pKa与pH的差值以数学值增减时,药物的离子型与非离子型浓度比值以指数值相应变化。非离子型药物可以自由穿透,而离子型药物就被限制在膜的一侧,这种现象称为离子障(ion trapping)。例如,弱酸性药物在胃液中非离子型多,在胃中即可被吸收。弱碱性药物在酸性胃液中离子型多,主要在小肠吸收。碱性较强的药物如胍乙啶(pKa= 11.4)及酸性较强的药物如色甘酸钠(pKa= 2.0)在胃肠道基本都已离子化,由于离子障原因,吸收均较难。pKa小于4的弱碱性药物如安定(pKa= 3.3)及pKa大于7.5的弱酸性药物如异戊巴比妥(pKa= 7.9)在胃肠道pH范围内基本都是非离子型,吸收都快而完全。
少数与正常代谢物相似的药物,如5-氟尿嘧啶、甲基多巴等的吸收是靠细胞中的载体主动转运而吸收的,这一主动转运机制对药物在体内分布及肾排泄关系比较密切。易化扩散是靠载体顺浓度梯度跨膜转运方式,如葡萄糖的吸收,吸收速度较快。固体药物不能吸收,片剂、胶囊剂在胃肠道必须先崩解(disintegration)、溶解(dissolution)后才可能被吸收。
1.胃肠道给药 口服(peros)给药是最常用的给药途径。小肠内pH接近中性,黏膜吸收面广,缓慢蠕动增加药物与黏膜接触机会,是药物的主要吸收部位。药物吸收后通过门静脉进入肝脏。有些药物首次通过肝脏就发生转化,减少进入体循环量,叫做首关消除(first pass elimination)。多数药物口服虽然方便有效,但其缺点是吸收较慢,欠完全,不适用于在胃肠破坏的,对胃刺激大的,首关消除多的药物,也不适用于昏迷及婴儿等不能口服的病人。舌下(sublingual)及直肠(per rectum)给药虽可避免首关消除,吸收也较迅速,但吸收不规则,较少应用。见图1-7。

图1-7 经胃肠道给药的吸收示意图
2.注射给药 静脉注射(intravenous,iv)可使药物迅速而准确地进入体循环,没有吸收过程。肌肉注射(intramuscular,im)及皮下注射(subcutaneous,sc)药物也可全部吸收,一般较口服快。吸收速度取决于局部循环,局部热敷或按摩可加速吸收,注射液中加入少量缩血管药则可延长药物的局部作用。动脉注射(intra-arterial,ia)可将药物输送至该动脉分布部位发挥局部疗效以减少全身反应。例如,将溶纤药直接用导管注入冠状动脉以治疗心肌梗死。注射给药还可将药物注射至身体任何部位发挥作用,如局部麻醉。注射给药需要医护进行,不方便,如果计算剂量有误,过量注入将无法回收。
3.呼吸道给药 肺泡表面积大(达200m2),与血液只隔有肺泡上皮及毛细管内皮各一层,而且血流量大,药物只要能到达肺泡,吸收极其迅速,气体及挥发性药物(如全身麻醉药)可直接进入肺泡。药物溶液需要经喷雾器分散为微粒,气雾剂(aerosol)可将药液雾化为直径达5μm左右微粒,可以达到肺泡而迅速吸收,如在雾化器及口鼻罩间加用一个气室则效果更好。2~5μm直径以下的微粒可重被呼出,10μm直径微粒可在小支气管沉积。后者可用于异丙肾上腺素治疗支气管哮喘。较大雾粒的喷雾剂(nebula)只能用于鼻咽部的局部治疗,如抗菌、消炎、祛痰、通鼻塞等。
4.经皮(transdermal)给药 脂溶性药物可以缓慢通透,许多杀虫药可以经皮吸收中毒,利用这一原理可以经皮给药以达到局部或全身药效,近年来有许多促皮吸收剂加氮酮(azone),可与药物制成贴皮剂。如硝苯地平贴皮剂以达到持久的全身疗效,硝酸甘油也可制成缓释贴皮剂,经皮吸收预防心绞痛发作,每日只贴1次。
(二)分布
药物进入循环后首先与血浆蛋白结合(plasma protein binding)。酸性药物多与清蛋白结合,碱性药物多与α1酸性糖蛋白结合,还有少数药物与球蛋白结合。药物与血浆蛋白的结合是可逆性的,结合后药理活性暂时消失,结合物分子变大不能通过毛细管壁暂时“储存”于血液中。药物与血浆蛋白结合特异性低,而血浆蛋白结合点有限,两个药物可能竞争与同一蛋白结合而发生置换现象。如某药结合率达99%,当被另药置换而下降1%时,则游离型(具有药理活性)药物浓度在理论上将增加100%,可能导致中毒。但一般药物在被置换过程中,游离型药物会加速被消除,血浆中游离型药物浓度难以持续增高。药物也可能与内源性代谢物竞争与血浆蛋白结合,例如磺胺药置换胆红素与血浆蛋白结合,在新生儿可能导致核黄疸症。血浆蛋白过少(如肝硬化)或变质(如尿毒症)时药物血浆蛋白结合率下降,也容易发生毒性反应。
吸收的药物通过循环迅速向全身组织输送,首先向血流量大的器官分布(distribution),然后向血流量小的组织转移,这种现象称为再分布(redistribution)。例如,硫喷妥先在血流量大的脑中发挥麻醉效应,然后向脂肪等组织转移,效应很快消失。经过一段时间后血药浓度趋向“稳定”,分布达到“平衡”,但各组织中药物并不均等,血浆药物浓度与组织内浓度也不相等。药物在靶器官浓度决定药物效应强弱,故测定血浆药物浓度可以估算药物效应强度。某些药物可以分布至脂肪、骨质等无生理活性组织形成储库,或结合于毛发指(趾)甲组织。药物的pKa及体液pH是决定药物分布的另一因素,细胞内液pH(约为7.0)略低于细胞外液(约7.4),弱碱性药物在细胞内浓度略高,弱酸性药物在细胞外液浓度略高,根据这一原理,弱酸性药物苯巴比妥中毒时用碳酸氢钠碱化血液及尿液可使脑细胞中药物向血浆转移并加速自尿排泄,是重要救治措施之一。
脑是血流量较大的器官,但药物在脑组织浓度一般较低,这是由于血脑屏障(blood-brain barrier)所致。脑毛细血管内皮细胞间紧密联接,基底膜外还有一层星状细胞包围,药物较难穿透。脑脊液不含蛋白质,即使少量未与血浆蛋白结合的脂溶性药物可以穿透进入脑脊液,其后药物进入静脉的速度较快,故脑脊液中药物浓度总是低于血浆浓度,这是大脑自我保护机制。治疗脑病可以选用极性低的脂溶性药物,如磺胺药中的磺胺嘧啶。为了减少中枢神经不良反应,对于生物碱可将之季铵化以增加其极性。例如,将阿托品季铵化变为甲基阿托品后不能通过血脑屏障,即不致发生中枢兴奋反应。
胎盘屏障(placenta barrier)是胎盘绒毛与子宫血窦间的屏障,由于母亲与胎儿间交换营养成分与代谢废物的需要,其通透性与一般毛细管无显著差别。例如,母亲注射磺胺嘧啶2 h后才能与胎儿达到平衡。利用这一原理可以在预期胎儿娩出前短时内注射镇静镇痛药,新生儿不致遭受影响。应该注意的是几乎所有药物都能穿透胎盘屏障进入胚胎循环,在妊娠期间应禁用对胎儿发育有影响的药物。
(三)生物转化
药物作为外来活性物质(xenobiotic),机体首先要将之灭活,同时还要促其自体内消除。体内药物主要在肝脏生物转化(biotransformation)而失去药理活性,并转化为极性高的水溶性代谢物而利于排出体外。生物转化与排泄统称为消除(elimination)。生物转化分两步进行:第一步为氧化、还原或水解;第二步为结合。第一步反应使多数药物灭活,但少数例外反而活化,故生物转化不能称为解毒过程。第二步与体内物质结合后总是使药物活性降低或灭活并使极性增加。各药在体内转化过程不同,有的只经一步转化,有的完全不变自肾排出,有的经多步转化生成多个代谢产物。
肝脏微粒体的细胞色素P450酶系统是促进药物生物转化的主要酶系统,故又简称肝药酶,现已分离出70余种。此酶系统活性有限,在药物间容易发生竞争性抑制。它又不稳定,个体差异大,且易受药物的诱导或抑制。例如,苯巴比妥能促进光面肌浆网增生,其中P450酶系统活性增加,加速药物生物转化,这是其自身耐受性及与其他药物交叉耐受性的原因。西米替丁抑制P450酶系统活性,可使其他药物效应敏化。该酶系统在缺氧条件下可对偶氮及芳香硝基化合物产生还原反应,生成胺基。微粒体内还存在水解酶及葡萄糖醛酸转移酶。
生物转化的第二步反应是结合。多数经过氧化反应的药物再经肝微粒体的葡萄糖醛酸转移酶作用与葡萄糖醛酸结合。有些药物还能和乙酰基、甘氨酸、硫酸等结合。这些结合反应都需要供体参加。例如,二磷酸尿嘧啶是葡萄糖醛酸的供体。药物在体内转化过程,举例说明见表1-1。
表1-1 药物生物转化类型举例

(四)排泄(excretion)
排泄是药物的原形或其代谢产物通过排泄器官或分泌器官排出体外的过程。药物的排泄速度可直接影响其作用时间。药物排泄速度越快,作用维持时间则越短,否则相反。大多数药物的排泄属被动转运,少数药物的排泄属主动转运。排泄或分泌器官有肾、肺、胆管及腺体,其中以肾为最重要。
1.肾脏排泄 肾脏是主要排泄器官。游离的药物能通过肾小球过滤进入肾小管。随着原尿水分的回收,药物浓度上升。当超过血浆浓度时,那些极性低、脂溶性大的药物反向血浆扩散(再吸收),排泄较少也较慢。只有那些经过生物转化的极性高、水溶性代谢物不被再吸收而顺利排出。有些药物在近曲小管由载体主动转运入肾小管,排泄较快。在该处有两个主动分泌通道,一是弱酸类通道,另一是弱碱类通道,分别由两类载体转运,同类药物间可能有竞争性抑制。例如,丙磺舒抑制青霉素主动分泌,使后者排泄减慢,药效延长并增强。碱化尿液使酸性药物在尿中离子化,酸化尿液使碱性药物在尿中离子化,利用离子障原理阻止药物再吸收,加速其排泄,这是药物中毒常用的解毒方法。见图1-8。

图1-8 尿液酿碱度对弱酸性(水杨酸)及弱碱性(苯丙胺)药物在肾小管内再吸收的影响
2.胆汁排泄 药物可自胆汁排泄,原理与肾排泄相似,但不是药物排泄的主要途径。药物自胆排泄有酸性、碱性及中性三个主动排泄通道。从胆汁排泄多的抗菌药物如利福平、四环素、红霉素等有利于肝胆系统的治疗。有些药物在肝细胞与葡萄糖醛酸等结合后排入胆中,随胆汁到达小肠后被水解,游离药物被重吸收,称为肝肠循环(hepato-enteral circulation)。肠肝循环强的药物重吸收多,作用维持则长。在胆道引流病人,药物的血浆半衰期将显著缩短,如氯霉素、洋地黄等。
3.乳腺排泄 乳汁pH略低于血浆,如阿托品、吗啡等碱性药物可以自乳汁排泄,哺乳婴儿可能受影响。故给授乳妇女用药时应加以注意,以免对乳儿引起不良反应。
4.其他 药物也可自唾液及汗液排泄。粪中药物多数是口服未被吸收的药物。肺脏是某些挥发性药物的主要排泄途径,检测呼出气中的乙醇量是诊断酒后驾车的快速简便的方法。
三、药物在体内随时间变化过程的规律
药物体内过程是一个动态变化的过程。用药之后总是经历着增长、平衡、衰减和消除的过程。这实质反应了药物的吸收、分布、生物转化和排泄等体内过程随时间变化过程的动态规律。
(一)时量关系曲线
体内药量随时间而变化的过程是药动学研究的中心问题。药量与效应的关系(量-效关系)已在药效学章详述。加入时间因素就引出时-量关系(time-concentration relationship)即实验研究中还必须了解血浆浓度随时间变化的过程与时-效关系(time-response relationship)。即临床中常用的曲线来表示时间与效应的关系。显然,时-量是多与时-关系是不可分大多数情况下由于量-效关系基本固定,在达到“平衡”后两条曲线平行一致。整体动物一次血管外给药的时-量(效)曲线见图1-9)。

图1-9 时-量(效)曲线示意图
潜伏期(latent period)是指用药后到开始发生疗效的一段时间,主要反映药物的吸收及分布过程,静脉注射时一般没有潜伏期。高峰时间(peak time)是指药物在体内达到最大浓度并显现最大效应的时间,峰的高度与剂量成正比。持续期(persistent period)是指药物维持最小有效浓度或维持基本疗效的时间,其长短取决于药物吸收及消除速度。某些药物虽然已降至最小有效浓度以下,但未自体内完全消除,这段时间叫残留期(residual period)。在多数情况下,残留期反映了药物在体内形成储库。在此期内血药浓度虽不高,体内储存量却不一定少,因此,在反复用药时易致蓄积中毒(cumulative intoxication)。按一室模型理解,曲线升段主要是吸收过程(此时消除过程已经开始)。曲线在峰值浓度(peak concentration,Cmax)时吸收速度与消除速度相等。从给药时至峰值浓度的时间称为达峰时间(peak time,Tpeak),曲线降段主要是药物消除过程。
时-量曲线的升段反映药物吸收及分布的快慢,吸收快的升段坡度陡;吸收慢的升段坡度平坦。时-量曲线的高度反映药物吸收量,同一药物剂量大时,峰值较高,反之较低。时-量曲线的降段反映药物消除的快慢,消除快的下降较快,反之较平坦。血药浓度低于最小有效浓度时,不出现疗效;超过最小中毒浓度时,不良反应会增多。最小有效浓度和最小中毒浓度之间的范围为有效血药浓度。临床实践证明,很多药物的疗效和毒副反应程度与血药浓度的关系较剂量关系更密切。故不少药物以血药浓度作为决定剂量和疗程的依据。药物在体内的吸收与消除是同时开始进行的,时-量曲线实际上是吸收、分布与消除之间平衡的结果。
(二)药物消除动力学
药物消除过程包括药物的转化及排泄。药物消除规律有两种类型:其一是零级动力学消除;其二是一级动力学消除。
1.零级动力学消除 又称为恒量消除,血药浓度每单位时间之内下降恒定的量,即每单位时间内机体消除的药量相等。表明药物的消除速率与血药浓度无关。其数学公式为: d c/d t=-kc°=-k。因其式中c的指数为零,所以把恒量消除又称零级消除动力学(zero-order elimination kinetis)。若药物以零级动力学消除,通常是由于血药浓度过高,超出了机体消除能力的极限。机体只能以最大能力将体内药物消除。消除速度与血中药物浓度高低无关,因此是恒速消除。例如,饮酒过量时,一般常人只能以每小时10ml乙醇恒速消除。当血药浓度下降至最大消除能力以下时,则按一级动力学消除。
2.一级动力学消除 又可称恒比消除。表明药物的消除速率与血者浓度成正比。其数学公式为:d c/d t=-kc,因其式中c为血药浓度,t为时间,d c为消除速率,k为消除速率常数,即恒定百分比,负号表示血药浓度随时间而降低。由于c的指数等于1,所以把恒比消除称一级消除动力学(first-order elimination kinetics)。机体每单位时间内消除恒定比例的药量。即每一单位时间内血药浓度按恒定的比例下降。其特点是每个单位时间内机体消除药量不等,药物消除速度与血中药物浓度呈正比。血药浓度越高单位时间内消除药量越多。时-量曲线的纵坐标若用对数表示,则时-量曲线的下降段为一直线。绝大多数药物在治疗量时符合一级动力学消除。见图1-10。

图1-10 药物在体内消除过程的时量曲线
体内药物过多,超过机体最大消除能力(虚线)时为零级动力学恒速消除
体内药物降至虚线以下时为一级动力学恒比消除。(插图纵坐标为对数标尺)
(三)药动力基本参数及概念
1.房室(compartment)概念 生理学将体液分为血浆、细胞外液及细胞内液等部分,即房室。药动学的房室概念则不同,它是一种抽象的数学概念,其划分取决于药物转运速率是否近似。由于药物分布于脏器组织的特点不完全相同,但为了便于分析,可将分布特点相同,且药物浓度同步增减的脏器组织简化为一个或多个“房室”,这样的数学分析模式称为房室模型。因此,设想机体由几个互相连通的房室组成。
(1)单室模型 将急需机体设想为一个房室,药物进入机体后,迅速转运及分布达到平衡,较均匀地分布全身,且以一定的速率从体内消除。通常以对数血药浓度为纵坐标、时间为横坐标时,其时-量曲线下段是一直线(图1-11)。单室模型坐标方便,临床上口服用药或多次用药时,均按单室模型计算。

图1-11 单室模型和双室模型示意图
(2)双室模型 静脉给药时,在开始阶段药物在各组织的尝试分布很不均匀,血循环较丰富的器官,如心、肝、肾、内分泌腺等,药物能迅速进入;但是血液循环较差的组织,如骨骼、表皮、脂肪等组织,药物不能迅速进入。因此,分布两个室,前者称为中央,后者称为周边室。静脉给药双室模型血药浓度曲线是一条曲线。开始阶段血浓度迅速降低,曲线下降很陡,这是由药物迅速向周边室分布和消除所致,称为分布相。随后分布达平衡,曲线变得较平坦。药物浓度下降,主要是由于消除所致,称之为消除相。
2.生物利用度(bioavailability)是指不同剂量的药物能吸收进入体循环的相对分量及速度,它与药物作用的强度与速度有关。常用吸收百分率表示。即:
生物利用度也可用曲线下面积(area under the curve,AUC)表示。即:
由于剂型不同,口服吸收率不同,故可以某一制剂为标准,与试药比较,称为相对生物利用度。即:
生物利用度还反映药物吸收速度对药效的影响,是某药剂量相等的三种制剂口服测得的时量曲线,其AUC相等(表示F值相等),但峰时间及峰浓度不等,吸收快的峰浓度可能已超过最低中毒浓度,吸收慢的峰浓度可能还在有效浓度以下。生物利用度是药物制剂质量的一个重要指标。
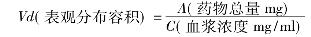
3.表观分布容积(apparent voiume of distrbnion,Vd)按血药浓度推算体内药物总量在理论上应占有的体积。即是指药物吸收后在体内达到平衡或稳态时,在理论上计算所得药物应占有的体积容积,而并非药物在体内真正占有的体溶容积。故称“表观”分布容积。其计算公式为:
表观分布容积的大小,可能对药物的体内分布情况作出估计。若Vd大,说明药物的血浆浓度低。药物多分布于组织中,表示药物分布广泛;若Vd小,说明药物的血中浓度高,分布到组织的不多,药物分布广泛。利用Vd数值还可以从血浆浓度计算出体内的药物总量,或者利用这一数值算出达到某一血浆有效浓度所需的药物剂量。
4.消除速率常数(k或ke)表示某单位时间内药物被消除的百分速率数。其值越大,机体在单位时间内消除药物越多;其值越小,单位时间内消除药物越少。主要在肝脏或胃肠消除的药物,如果肝、肾功能下降时,其消除速率常数变小。
5.半衰期(half-life time,t1/2) 一般是指血浆半衰期,即血浆药物浓度下降一半所需的时间。绝大多数药物是按一级动力学消除,因此,半衰期有固定的数值,因不同血浆浓度高低而改变。例如,青霉素从任何一个血浆浓度降低50%所需时间均为30min。其计算公式为:
式中k为消除速率常数。若t1/2与k值成反比,消除速率常数减少,则半衰期延长。
半衰期虽然不因血浓度高低或者给药途径不同而变化,但受肝、肾功能的影响。若肝功能不全可使经肝生物转化药物半衰期延长;肾功能不全可使经肾排泄药物半衰期延长。
半衰期的意义:①药物分类的依据:如根据半衰期长短分为长效、中效、短效药。②确定给药间隔时间:半衰期短则给药间隔时间短,否则给药间隔时间长。③达稳态血浓时间:通常恒速静脉点滴或分次恒量给药。通常经5个半衰期达到稳态血药浓度。④预算药物基本消除时间:通常停药时间达到5个半衰期,药物消除量达95%。见表1-2、图1-12。
表1-2 药物半衰期与其在体内消除量及累积量的关系

6.消除率(clearance,Cl)是指单位时间内从体内所消除的药物表现分布容积数。即单位时间内有多少容积体液中的药物被消除。其公式:Cl= KVd,从式中可以看出,消除率与消

图1-12 血管内给药
D:每个t1/2的给药量 2D:首次加倍量
除速率常数及表现分布容积成正比,单位时间消除的药量等于消除率与血药浓度的乘积。
大多数药物经过肝脏生物转化和肾脏排泄而被消除。消除率主要反映肝、肾功能。若肝、肾不全的患者。应适量调整剂量或延长给药间隔时间,以免蓄积而中毒。
7.血药稳态浓度 在临床实践中,一般需要经过多次给药,当给药速度等于消除速度时,血药浓度维持在一个基本稳定的水平,称之为稳态浓度(steady state concentrafion,Css)。恒比消除的药物,在连续恒速给药或分次给药的过程中,血药浓度会逐渐增高,当给药速度大于消除速度时,称之为药物蓄积。适当的药物蓄积,以达到并维持有效血药浓度,避免发生中毒反应(图1-13)。但恒量消除的药物在吸收速度大于消除速度时,体内药物蓄积,血药浓度会不断地增高。

图1-13 血管外给药
D:每个t1/2的给药量 2D:首次加倍量
(1)血药稳态浓度的规律 多次给药物后,药物在血中浓度的变化规律有:
1)凡按一级动力学消除的药物,若恒速静脉滴注药物,血药浓度稳步上升,约经5个半衰期达到稳态浓度。此时给药速率与消除速率达平衡。
2)若分别静脉、肌肉注射或口服给药,血药浓度有波动,经5个半衰期也可达到稳态浓度。
3)若单位时间内用药总量不变,缩短给药间隔时间,可减少血药浓度的波动。如果延长给药时间,则血药浓度波动加大。
4)首次剂量加倍法,能使血药浓度迅速达到稳态浓度。
(2)血药稳态浓度的临床意义
1)调整给药剂量的依据 若治疗效果不佳或若不良反应较突出时,可经测定稳态浓度,对药物剂量加以调整。
2)确定负荷剂量的依据 根据病情需要立即达到有效血药浓度时应给负荷量。通常采用首次加倍剂量给药。
3)制定理想给药方案的依据 理想的最高稳态浓度应小于最小中毒浓度,最低稳定浓度应大于最小有效浓度。因此,附治疗指数太小、半衰期过长或过短及恒量消除药物以外,首次剂量加倍,是快效、有效、安全的给药方法。每隔一个半衰期给半个有效剂量。
第四节 影响药物效应的因素及合理用药原则
药物固有的化学结构与理化性质决定了药物特有的效应。要使药物发挥期望的效应,应该注意药物方面、机体方面、合理用药方面等三个方面的影响因素。
一、药物方面因素
(一)剂量
剂量(dose)是指用药物的份量,剂量不同,药物效应也不同。在一定范围内,药物的作用随着剂量的增加而增强。同一药物在不同剂量或浓度时,作用强度不一样,有时可作不同的用途。例如,催眠药小剂量时可产生镇静作用,增加剂量由催眠作用,剂量再增大可出现抗惊厥作用。
药物的治疗量(常用量)是国家药品规格的法定标准,对大多数人是一安全有效剂量。除非特殊情况,一般不用极量,否则,有可能发生中毒。
(二)剂型
是指药物的制剂形式。以形态不同分为液体、固体、半固体和气体四种。同一种药物的不同剂型,生物利用度通常不同。口服液体制剂比固体制剂吸收快,即使是固体制剂,粉剂比胶囊剂吸收快,胶囊剂比片剂吸收快,片剂比丸剂吸收快。值得注意的是,不同生产厂家的同一制剂,甚至同一厂家相同药物不同批号的同一制剂,生物利用度有差异,吸收或多或少,导致药效增强或药效达不到应有的效果。
(三)给药途径
给药途径不同可直接影响药物作用的快慢和强弱,不同给药途径药物作用的快慢顺序依次:为静脉注射>吸入给药>舌下给药>肌肉注射>皮下注射>口服给药>肛门给药>贴皮给药。即使同一药物而给药途径不同,其作用性质也不一样。例如,硫酸镁口服有导泻与利胆作用,肌肉注射有降压与抗惊厥作用用;外敷有消肿与收敛作用。图1-14说明有ABC三种不同剂型药物的给药途径不同,药物吸收的速度不同,对药效的影响不同,即A种出现毒性反应,C种未能显效,而B种显示最佳的治疗效果。因此,临床用药应根据病情需要选择给药途径。

图1-14 药物吸收速度对药效影响
(四)给药时间
许多药物应在适宜的时间用药才会产生期望的疗效。通常饭前服药吸收较好,且起效快;饭后服药吸收较差,起效也较慢。但有些药物何时用可根据病情需要和药物性质而定。有刺激性的药物宜饭后用;降血糖药胰岛素应在饭前用;催眠药应在睡前用。
由于机体对药物的敏感性存在昼夜节律变化。凡受生物节律影响的药物应按其节律用药。例如,糖皮质激素一日量早晨一次服用,可减轻对垂体前叶抑制的副作用;洋地黄治疗慢性心功能不全,夜间用药比白昼用药的效果高数倍;氨茶碱治疗支气管哮喘,白昼用药比夜间好。近年来,研究生物活动昼夜时间节律周期变化,对药物作用或药物体内过程的影响,已形成药物学的一门分支学科,称时辰(间)药理学(chronopharmacology)。何时用药应根据病情需要和药物特点而定。
(五)给药次数
通常对半衰期短的药物,给药次数要相应增加,对半衰期长的药物给药次数药要相应减少。长期用药应注意避免蓄积中毒。对毒性大或消除慢的药物,应规定每日的用量及疗程,肝、肾功能不全的患者可适当减少用量或延长给药时间。
总之,给药时间与次数应根据药物的特性与机体的状态而定。例如,青霉素治疗急性感染性疾病,肌肉注射每日可给药2~3次,静脉给药每日1次,持续3~5 d,如果患有风湿病药,可选用青霉素的长效制剂,每3周或1个月用1次
(六)反复用药
1.耐受性(tolerance)是指机体连续用药过程中,有的药物的药效会逐渐减弱,需要加大剂量才能显效。但在停药一段时间之后,机体可恢复原有敏感性。例如,硝酸酯类的扩血管作用,连用数次便产生耐受性,停药数天后,能恢复其作用。有时机体对某药产生耐受性后,对另一药的敏感性降低,称为交叉耐受性(cross tolerance)。例如,长期饮酒者对乙醚的麻醉作用、对苯巴比妥的镇静催眠作用反应性降低。如果在短时间内连续用药数次后,立即产生的耐受性称为快速耐受性(tachyphlaxis)。例如,麻黄碱、加压素等药容易产生快速耐药性。见图1-15。

图1-15 麻黄碱升压作用的快速耐受性狗血压
重复静脉给药,0.5mg/(kg·次)
2.耐药性(resistance)又称抗药性,是指在化学治疗过程中,病原体或肿瘤细胞对药物的敏感性降低的一种状态。例如,抗生素及抗癌药物均较易产生耐药性。
3.药物依赖性(drug dependence)是指某些精神药品或麻醉药品,直接作用于中枢神经系统,产生兴奋和抑制效应,出现强迫性使用或定期使用药物的行为。根据药物使人体产生的依赖性和危害人体健康的程度,通常分为躯体依赖性和精神依赖性两类。
(1)躯体依赖性(physical dependence)又称生理依赖性(physiological dependence),曾称成瘾性(addition),是指反复用药造成身体适应状态,产生欣快感,一旦停止用药可出现戒断症状(abstinence syndrome)。例如,吗啡、度冷丁等镇痛药、海洛因等毒品,应用后很快引起躯体依赖性与精神依赖性。常出现烦躁不安、流涎、流泪、流汗、困倦、腹痛、腹泻、背部和肢体疼痛、肌肉抽搐等综合征。有强烈再次用药的欲望,会不择手段地去获得这类药,会引起严重的家庭和社会问题。
(2)精神依赖性(psychic dependence)又称心理依赖性(psychological dependence),曾称习惯性(habitation),是指用药后产生愉快满足的感觉,在精神上渴望连续用药或周期性用药,以求达到舒服感。例如,镇静催眠药、某些中枢兴奋药或抑制药、某些解热镇痛药,均可产生精神依赖性。
二、药物相互作用
药物相互作用(drug interaction)是指两种或多种药物合用或先后使用时,改变了原有的药理效应或毒性反应,可使药效加强,也可使药效降低或不良反应加重。根据药物相互作用发生的环境不同分为两类:
(一)药物在体外的相互作用
在配制药物过程中,药物与药物、药物与辅料、药物与溶剂之间发生的理化反应,可出现药液的混浊、沉淀、变色,甚至药效降低、失效、毒性增强的现象,称为配伍禁忌(incomptibility)。因此,在配制液体药物之前,药认真查对药物配伍禁忌表。
(二)药物在体内的相互作用
根据作用机制可分为药动学与药效学方面的相互作用。
1.药效学方面的相互作用 药效学方面的相互作用是指一种药物对另一种药物药理效应的影响,导致药物效应增强或减弱。根据作用结果,将其分为两种作用形式:
(1)协同作用(synergism)是指联合用药的效应大于单用药效的总和。临床多用于增强治疗效果。根据作用结果的大小分为三类:
1)相加作用(summation)俗称药效1+ 1= 2,是指两药合用的效应是两药各自作用的代数和。例如,心绞痛时采用硝酸甘油用与普萘洛尔合用,药效相加而各药剂量减少,不良反应应降低。
2)增强作用(potentiation)俗称药效1+ 1>2,是指两药合用的效应大于两药各自作用的代数和。例如,应用普鲁卡因注射剂加入少量的肾上腺素,能延长局麻的作用时间,并降低毒性。
3)增敏作用(sensitization)俗称药效1+ 1>>2,是指一药可使组织或受体对另一药的敏感性增强。例如,排钾利尿药与强心苷合用能使血钾降低,导致心肌细胞对强心苷的敏感性提高,容易使心脏发生毒性反应。
(2)拮抗作用(antagonism)俗称药效1+ 1<2,是指两药合用时效应小于它们分别作用的总和。临床多用于减少不良反应或解救药物中毒。根据其作用方式分为两种:
1)竞争性拮抗作用 是指两药在同一作用部位上产生拮抗作用。例如,吗啡与纳洛酮合用时,产生拮抗作用,因此,用纳洛酮解救吗啡中毒。
2)非竞争性拮抗作用 是指两药不作用于同一部位,这种拮抗现象不被药物的剂量加大所逆转。例如,阿托品与乙酰唑胺合用时,可使后者降低眼压作用减弱。
2.药动学方面的相互作用 是指药物在药动学过程中,联合用药时一种药物对另一种药物药理效应的影响,导致药效增强或减弱。通常药物在胃肠道吸收,与血浆蛋白结合,肝脏的代谢和肾脏排泄的环节中,可能受到其他药物的影响,导致药物效应增强或减弱,作用时间延长或缩短。例如,抗酸药碳酸氢钠能减少氨苄青霉素的吸收;苯妥英钠能从血浆蛋白的结合部位置换双香豆素,使后者的抗凝作用增强,苯巴比妥能加速糖皮质激素药可的松代谢使其作用降低。
三、机体方面因素
药物作用于机体,应该综合考虑如下因素:
(一)年龄
不同的年龄其体液和脂肪等含量不同,药物在体内的含量不同,通常说的药物剂量是指成人用量,婴幼儿与老年人对药物的反应与成人有一定的差异。
1.婴幼儿 各种生理功能及调节机制不完善,对药物的处理能力差而敏感性高。例如,新生儿的血浆蛋白总量低,肝、肾功能尚未发育完全,这些因素使血中游离型药物及进入组织的药量增多,对于在肝灭活肾排泄的药物不能快速消除,容易造成肝肾损伤;对中枢兴奋药、中枢抑制药、利尿药、链霉素、氯霉素、激素类药的反应均较成人敏感。因此,对婴幼儿应按有关规定严格掌握用药剂量。
2.老年人 老年人的生理功能已逐渐减退,组织器官代偿适应能力减弱,对药物的处理能力与耐受力也较差。尤其对中枢抑制药、利尿药、心血管药等药物的反应性非常强烈,容易引起严重的不良反应。因此,老年人用药剂量,应当慎用,一般为成人剂量2/3~1/2。
(二)性别
除性激素外,性别对药物反应无明显差异。只是女性处于特殊的生理期对药物反应有显著的不同。
1.月经期 处在月经期的女性对剧烈泻药、抗凝药及刺激性药物,可引起盆腔充血,月经增多,应慎用或禁用。
2.妊娠期 胎儿对药物的敏感性在妊娠的不同时期有很大差异。在妊娠最初的3个月内,用药要特别谨慎,尤其要禁用乙醇、性激素、抗肿瘤药、抗甲状腺素药和抗癫痫药等,否则可引起胎儿畸形。因此,尤其在妊娠早期一般情况下不宜使用药物。
3.分娩期 临产前应禁用吗啡等可抑制胎儿呼吸的镇痛药,禁用或慎用地西泮等抑制子宫平滑肌收缩力的药物。
4.哺乳期 哺乳期用药也应谨慎,因为有些药物可经乳汁影响婴儿,也应该禁用。例如,氯霉素、甲硝唑、异烟肼、口服降糖药和苯妥英钠等。
(三)个体差异
在性别、年龄、体重等都相似的情况下,多数人对药物的反应相似。但有极少数人对药物的反应有所不同,称为个体差异(individual variation)。其表现不仅有量的差别,甚至有质的不同。
1.量的差异 少数人对药物特别敏感,只需较小的剂量就可以产生较强的药理作用,称高敏性(hypersensitivity)。也有少数人对有的药物反应性特别不敏感,必须使用较大剂量才能产生原有的药理作用,称耐受性(tolerance)。因此,临床用药必须根据病情,选择适当的药物和剂量,才能达到预期的效果并减少不良反应。对治疗指数较低的药物,根据病情实施给药方案的个体化(individualization)。例如,强心苷类药当使用到治疗量时,已经达到了中毒量的60%以上,应该每个人有各自的剂量。
2.质的差异 机体对药物的反应不仅有量的差异,而且有质的不同的反应称为特异性
(idiosyncrasy)。例如,过敏反应(hypersensitive reaction)是由免疫反应异常引起的一种特殊型的变态反应(allergy)。有极少数过敏体质的病人,即使是用微量的青霉素、链霉素等药就可能引起强烈的过敏反应,甚至诱发过敏性休克。
(四)遗传因素
有先天性遗传异常的患者,使用治疗量的药物后,可出现极敏感或极不敏感的反应。研究遗传因素影响药物的反应的科学称遗传药理学(pharmacogentics)。遗传异常主要表现在对药物体内吸收、分布、代谢等过程的异常或酶的缺乏等原因。例如,少年恶性贫血,是由于胃缺乏内在因子,使维生素B12不能吸收。葡萄糖-6-磷酸脱氢酶缺乏者,使用阿司匹林、伯氨喹、氯喹、奎丁和磺胺等药物或吃蚕豆时,可产生溶血性贫血;遗传性高铁血红蛋白症,使用硝酸盐、亚硝酸盐及磺胺类等药物,可加重病情。
(五)生理与病理状态
患者的功能状态与病理状态能影响到药物的效应,甚至使药物发生质的改变。例如,强心苷能治疗慢性心功能不全,但对正常心脏无明显作用;解热镇痛药仅对发热病人有退热作用,但对正常体温无影响;肝功能不全者,使药物在肝脏进行生物转化的速度减慢,药物作用加强,时间延长,相反,对可的松、泼尼松等需在肝脏内活化后才有效的药物,则作用减弱。肾功能不全,使庆大霉素等主要经肾排泄药物的清除率降低,半衰期延长,易引起蓄积中毒等。
(六)心理因素
药物的使用不仅要重视患者对药物的生理效应,而且也应该重视患者对药物的心理效应。因此,心理活动变化可对药物治疗效果产生影响。如果相信某药物疗效好,即使是无药理活性的安慰剂(placebo)也有一定的药效;如果不相信某药物,即使该药物有很强的药理活性,疗效也会大打折扣。影响药物心理效应的因素有患者的文化素质,疾病性质、人格特征;药物的剂型、颜色、味口、包装和医务工作者的态度、语言、行为、技术、经历与经验等。某些崇拜医生、渴求治疗的患者,使用不含药物成分,无药理活性,而色香味与所求药品相似,能在心理上产生良好的积极效应,并出现希望的药效。医学实践表明,安慰剂对治疗头痛、神经官能症、高血压、心绞痛等慢性疾病,其有效率可达到35%~45%。因此,医务工作者应树立良好的职业道德形象,主动关心患者,因势利导,尽可能地发挥药物的心理效应,以求达到满意的治疗效果。
四、合理用药原则
药物是防治疾病的重要武器,如何安全有效地使用这种武器,为人们救死扶伤,提高健康水平服务,那就务必要合理用药。药理学为充分发挥药物的疗效,合理用药提供了理论基础。从理论上而言,合理用药就是要充分发挥药物的疗效,而避免或减少可能发生的不良反应。但是,怎样才算合理用药,尚无绝对的统一的方案,只能在严密的科学原则基础上,根据具体情况作出规定如下:
1.要明确诊断后才能用药 根据疾病性质和病史衡量得失决定是否需要用药和如何使用。在确定主诉病因的同时,还要了解其他并存的疾病。例如,老年哮喘患者就要了解有无高血压史,否则选用肾上腺素治疗可能发生危险;对青霉素有过敏病史的患者,如果选用其治疗有适应证的疾病,也可能发生危险。因此,选择药物不仅要有适应证,而且还要考虑是否有禁忌证。
2.选药要有明确的指征 要根据药物的药理特点,即药效学与药动学的规律,针对患者的具体情况,选择疗效确切、安全可靠、使用方便、价格便宜的药物。要充分认识滥用药物的危害性,反对使用疗效不确的药物。
3.要掌握各种影响药效的因素 排除各种可能的干扰。例如,药物与机体之间的因素,联合用药药物与药物相互作用因素,以达到药到病除的治疗效果。
4.对因治疗与对症治疗相结合 许多疾病的症状与病因之间有因果关系。因此,在采用对因治疗的同时还要采取对症治疗法。例如,严重细菌感染,在选用足量抗生素的同时,还要根据具体情况加用退热药或糖皮质激素来对症治疗。对患者要始终认真负责的态度,医务工作者的业务能力,工作态度通常影响到治疗结果好否的基本因素。因此,要求医务人员严密观察患者的病情变化及药物的反应,要及时调整剂量,或者改换治疗药物;还要认真分析每一种病例的成功及失败的关键因素,扬长避短,不断提高医疗质量,使用药更趋向于安全、有效、合理、方便和经济的效果。
(郭 华)