5.1 液压控制阀的概述
5.1.1 液压控制阀的功用、分类
1.液压控制阀的功用
液压控制阀是液压系统中用来控制油液的流动方向或调节其压力和流量的元件。借助于这些阀,便能对执行元件的启动、停止、运动方向、速度、动作顺序和克服负载的能力进行调节与控制,使各类液压机械都能按要求协调地进行工作。液压控制阀对液压系统的工作过程和工作特性有重要的影响。
2.液压控制阀的基本共同点及要求
尽管液压阀的种类繁多,且各种阀的功能和结构形式也有较大的差异,但它们之间均保持下述基本共同点。
(1)在结构上,所有液压阀都是由阀体、阀芯和驱动阀芯动作的元部件组成。
(2)在工作原理上,所有液压阀的开口大小、进出口间的压差,以及通过阀的流量之间的关系都符合孔口流量公式,只不过各种阀控制的参数各不相同而已。
液压系统中所使用的液压阀均应满足以下基本要求。
(1)动作灵敏,使用可靠,工作时冲击和振动小。
(2)油液流过时压力损失小。
(3)密封性能好。
(4)结构紧凑,安装、调整、使用、维护方便,通用性好。
3.液压控制阀的分类
液压控制阀按不同的特征和方式可分为以下几类,如表5-1所示。
表5-1 液压控制阀的分类

4.液压控制阀的基本参数
1)公称通径
公称通径代表阀的通流能力大小,对应阀的额定流量。与阀的进出口连接油管的规格应与阀的通径相一致。阀工作时的实际流量应小于或等于它的额定流量,最大不得大于额定流量的1.1倍。
2)额定压力
额定压力代表阀在工作时允许的最高压力。对于压力控制阀,实际最高压力有时还与阀的调压范围有关;对于换向阀,实际最高压力还可能受其功率极限的限制。
5.1.2 阀口的结构形式和流量计算公式
1.阀口的结构形式
液压阀中常见阀口的结构形式如图5-1所示。
2.流量计算公式
各种液压阀的阀口都以接近于薄壁小孔为目标,这正是为了减小液压油的黏温特性对阀口通流性能的影响。工程上阀口的流量计算公式为

式中:C——与阀口形状、液体流态、油液性质有关的系数;
m——流量指数,取值范围为0.5~1,m越小,节流口越接近于薄壁小孔;m越大,节流口越接近于细长小孔;
AT——通流截面面积;
Δp——流经阀口的压差。

图5-1 阀口的结构形式
5.1.3 液动力
驱动阀芯的方式有手动、机动、电磁驱动、液压驱动等多种方式。其中手动最简单,电磁驱动易于实现自动控制,但高压、大流量时手动和电磁驱动方式常常无法克服巨大的阀芯阻力,这时不得不采用液压驱动方式。稳态时(即阀芯与阀体是相对静止的),阀芯运动的主要阻力为液压不平衡力、稳态液动力、摩擦力(含液压卡紧力);动态时(即阀芯与阀体是相对运动的)还有瞬态液动力、惯性力等。阀芯的稳态液动力和瞬态液动力在高压、大流量时可达数百至数千牛,影响阀芯的操纵稳定性,因此有必要了解它们的特性。下面以应用广泛的滑阀为例进行介绍。
1.稳态液动力
稳态液动力是阀芯移动完毕,开口固定之后,液流流过阀口时因动量变化而作用在阀芯上的力。图5-2所示为油液流过阀口的两种情况。

图5-2 油液流过阀口的两种情况
根据动量方程,取阀芯两凸肩间的容腔中的液体作为控制体,可得这两种情况下的轴向液动力都是Fbs=pqvcosφ,其方向都为促使阀口关闭的方向。用薄壁小孔的速度公式v=CV
和流量公式q=CdAT
代入上式,可得

在高压大流量的情况下,稳态液动力将会很大,使阀芯的操纵成为突出的问题。这时必须采取措施补偿或消除这个力:图5-3(a)采用特种形状的阀腔;图5-3(b)在阀套上开斜孔,使流出和流入阀腔液体的动量互相抵消,从而减小轴向液动力;图5-3(c)改变阀芯的颈部尺寸,使液流流过阀芯时有较大的压降,以便在阀芯两端面上产生不平衡液动力,抵消轴向液动力。

图5-3 稳态液动力的补偿法
稳态液动力始终使阀口关闭,相当于一个回复力,故它对滑阀性能的另一影响是使滑阀的工作趋于稳定。
2.瞬态液动力
瞬态液动力是滑阀在移动过程中(即开口大小发生变化时)阀腔中液流因加速或减速而作用在阀芯上的力。这个力只与阀芯移动速度有关(即与阀口开度的变化率有关),与阀口开度本身无关。

图5-4 瞬态液动力
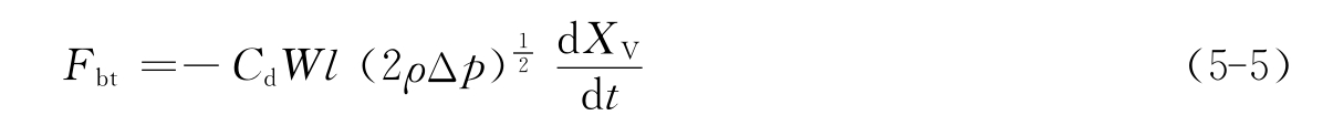
图5-4所示为阀芯移动时出现瞬态液动力的情况。当阀口开度发生变化时,阀腔内长度为l的那部分油液的轴向速度也发生变化,也就是出现了加速或减速,于是阀芯就受到了一个轴向的反作用力Fbt,这就是瞬态液动力。很明显,若流过阀腔的瞬时流量为q,阀腔的截面面积为As,阀腔内加速或减速部分油液的质量为mo,阀芯移动的速度为v,则有

因为Ao=WXV,当阀口前后的压力差不变或变化不大时,流量的变化率dq/dt为

将式(5-4)代入式(5-3),得

滑阀上瞬态液动力的方向,视油液流入还是流出阀腔而定。图5-4(a)中油液流出阀腔,则阀口开度加大时长度为l的那部分油液加速,开度减小时油液减速,两种情况下瞬态液动力作用方向都与阀芯的移动方向相反,起着阻止阀芯移动的作用,相当于一个正的阻尼力。这时式(5-5)中的l取正值,并称之为滑阀的“正阻尼长度”。反之,图5-4(b)中油液流入阀腔,阀口开度变化时引起液流流速变化的结果,都是使瞬态液动力的作用方向与阀芯移动方向相同,起着帮助阀芯移动的作用,相当于一个负的阻尼力。这种情况下式(5-5)中的l取负值,并称之为滑阀的“负阻尼长度”。
滑阀上的“负阻尼长度”是造成滑阀工作不稳定的原因之一。
滑阀上如有好几个阀腔串联在一起,阀芯工作的稳定与否就要视各个阀腔阻尼长度的综合作用结果而定。
5.1.4 卡紧力
液压卡紧是一种特殊的流体力学现象,对液压元件性能的影响很大。
液压元件的运动副中有很多环形缝隙,如滑阀阀芯与阀体之间的缝隙等,这些缝隙一般都充满油液。正常情况下,移动阀芯时所需的力只需克服黏性摩擦力,数值要求不大。电磁换向阀是一种利用电磁铁来推动阀芯实现换向的液压阀,其电磁推力仅为30~50N,使用效果很好,得到大量的应用。由于电磁换向阀可很方便地实现与PLC、单片机及工业控制计算机的接口,使液压系统成为一种理想的计算机控制对象。
但是,使用电磁换向阀有时情况会变得很糟,特别是在中、高压系统中,当阀芯停止移动一段时间后(一般约5min),这个阻力可以增大到数百牛,阀芯仅依靠电磁力根本无法推动,就像“卡死了”一样,系统因而无法完成预定的动作。导致这种情况出现的原因,是阀的缝隙处产生了液压卡紧现象。
1.卡紧力产生的原因
出现液压卡紧有可能是因油温升高导致阀芯膨胀引起的,也有可能是异物进入配合面或配合面划伤破坏了配合副的间隙引起的,但更常见的原因是阀芯严重偏心使阀体之间形成了直接的机械接触。
除了制造方面的问题之外,径向不平衡力也是造成阀芯偏心的原因。如果缝隙中的液体压力在周向不是均匀分布的,则在此不均匀的压力作用下,阀芯将贴靠阀体,或者被推向中心处。
滑阀阀芯在制造中难免有一定的锥度,根据压力差方向与锥度方向之间的关系,可以分为顺锥和倒锥两种情形。如果阀芯与阀孔之间是完全同心的,不论顺锥还是倒锥,其缝隙中的压力分布在圆周方向将是完全对称的,不会产生径向力。但如果阀芯与阀孔不同心,情况就变得复杂起来。
图5-5(a)所示为阀芯与阀孔不同心时的倒锥及其缝隙中的压力分布情况,缝隙最小处压力降低得比较慢,而缝隙最大处压力降低得要快一些。两处径向力存在一定的差值,这个径向不平衡力的作用将使阀芯偏心进一步加大。
图5-5(b)所示为阀芯与阀孔不同心时的顺锥及其缝隙中的压力分布情况,缝隙最小处压力降低得比较快,而缝隙最大处压力降低得要慢一些。两处径向力存在一定的差值,这个径向不平衡力的作用将使阀芯偏心减小。
倒锥是一种不稳定状态,偏心越大,径向不平衡力就越大,反过来进一步加大偏心,形成恶性循环,最终使阀芯贴靠阀孔,造成液压卡紧。
尽管顺锥有利于减小偏心,但工程上很难保证阀芯处的缝隙一定是顺锥,特别是在缝隙两端压力差方向会改变时更是如此。
2.减小卡紧力的措施
为了减小液压卡紧力,可以采取下述一些措施。
(1)提高阀的加工和装配精度,避免出现偏心。阀芯的圆度和圆柱度误差不大于0.005 mm,要求带顺锥,阀芯的表面粗糙度Ra值不大于0.2μm,阀孔的Ra值不大于0.4μm。
(2)在阀芯台肩上开出平衡径向力的均压槽。均压槽可使同一圆周上各处的压力油互相流通,减小径向不平衡力,使阀芯在中心定位。
(3)使阀芯或阀套在轴向或圆周方向上产生高频小振幅的振动或摆动。
(4)精细过滤油液。
液压元件中普遍采用的均压槽结构,可以有效地防止或减轻倒锥导致的液压卡紧的影响,如图5-5(c)所示。均压槽是在阀芯上沿轴向分布的一系列环形浅槽,其作用是通过槽的连通使缝隙相应截面处圆周方向的压力趋于一致。这样,相当于把一个大的倒锥分割成了若干个小的倒锥,这些小倒锥所产生的径向不平衡力已经降低到了微乎其微的程度。

图5-5 缝隙中的压力分布
通常情况下,均压槽的尺寸为宽0.3~0.5mm,深0.5~0.8mm,槽距1~5mm。
阀芯表面粗糙度过大或小的污染物进入缝隙中,也会产生类似效果的液压卡紧现象。因此,除采用开均压槽的方法来控制液压卡紧外,必须从制造、抗污染等多方面入手,才能取得好的效果。
换向阀、压力阀及液压泵等中,均存在液压卡紧现象,这是液压元件中的一个共性问题,必须予以高度重视。
液压元件制造精度要求高,如阀芯的圆度和锥度允差为0.003~0.005mm、表面粗糙度Ra的数值不大于0.20μm等,均较一般机械零件的加工要求高,很大程度上是为了防止发生液压卡紧现象。