4.2 液压缸
液压缸是液压传动系统的执行元件,它是将油液的压力能转换成机械能、实现往复直线运动或摆动的能量转换装置。液压缸结构简单、制造容易,用来实现直线往复运动尤其方便,应用范围广泛。
4.2.1 液压缸分类及计算
液压缸的种类很多,可以按工作压力、使用领域、工作特点、结构形式和作用等不同的归类方法进行分类,表4-2是按液压缸结构形式和作用分类的名称、符号和说明。
表4-2 液压缸分类名称、符号和说明

液压缸可以看做是直线马达(或摆动马达),其单位位移排量即为液压缸的有效面积A。当液压缸的回油压力为零且不计损失时,输出速度v等于输入流量q除以面积A,输出推力F等于输入压力p乘以面积A,即输入液压功率pq等于输出机械功率Fv。
1.双杆活塞式液压缸

图4-7 双杆活塞式液压缸的原理图
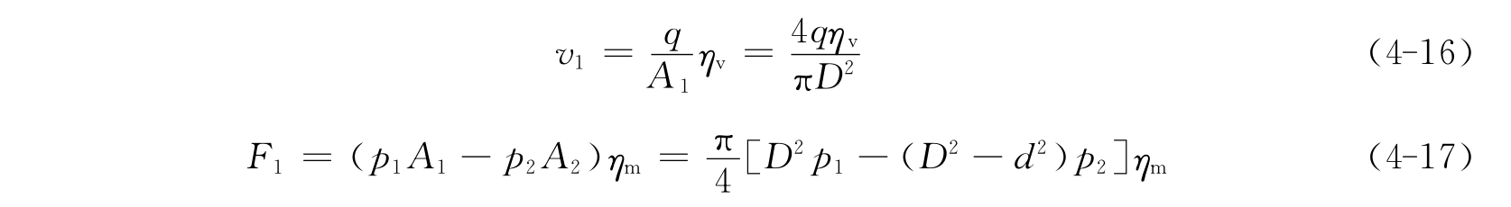
图4-7所示为双杆活塞式液压缸的工作原理图,活塞两侧都有活塞杆伸出。当两活塞杆直径相同,供油压力和流量不变时,双杆活塞式液压缸在两个方向上的运动速度和推力都相等,即

这种液压缸常用于要求往返运动速度相同的场合。
图4-7(a)所示为缸体固定式结构,当液压缸的左腔进油时,将推动活塞向右移动,右腔活塞杆向外伸出,左腔活塞杆向内缩进,液压缸右腔油液回油箱;反之,当液压缸的右腔进油时,活塞将作反向运动。图4-7(b)所示为活塞杆固定式结构,当液压缸的左腔进油时,将推动缸体向左移动,右腔回油;反之,当液压缸的右腔进油时,缸体则向右运动。这类液压缸常用于中、小型设备中。
2.单杆活塞式液压缸
图4-8所示为双作用单杆活塞式液压缸,活塞杆只从液压缸的一端伸出,液压缸的活塞在两腔的有效作用面积不相等,当向液压缸两腔分别供油,且压力和流量都不变时,活塞在两个力的方向上的运动速度和推力都不相等,即运动具有不对称性。
如图4-8(a)所示,当无杆腔进油时,活塞的运动速度v1和推力F1分别为

如图4-8(b)所示,当有杆腔进油时,活塞的运动速度v2和推力F2分别为


图4-8 双作用单杆活塞式液压缸

比较上述各式,可以看出:v2>v1,F1>F2;液压缸往复运动时的速度比为

式(4-21)表明,活塞杆直径越小,速度比越接近1,液压缸在两个方向上的速度差就越小。
如图4-8(c)所示,液压缸差动连接时,活塞的运动速度v3和推力F3分别为

当单杆活塞缸两腔同时通入压力油时,由于无杆腔有效作用面积大于有杆腔的有效作用面积,使得活塞向右的作用力大于向左的作用力,因此,活塞向右运动,活塞杆向外伸出;与此同时,又将有杆腔的油液挤出,使其流进无杆腔,从而加快了活塞杆的伸出速度,单活塞杆液压缸的这种连接方式被称为差动连接。差动连接时,液压缸的有效作用面积是活塞杆的横截面积,工作台运动速度比无杆腔进油时的速度大,而输出力则减小。差动连接是在不增加液压泵容量和功率的条件下,实现快速运动的有效办法。
3.柱塞式液压缸
前面所讨论的活塞式液压缸的应用非常广泛,但这种液压缸由于缸孔加工精度要求很高,当行程较长时,加工难度大,使得制造成本增加。在生产实际中,某些场合所用的液压缸并不要求双向控制,柱塞式液压缸正是满足了这种使用要求的一种价格低廉的液压缸。
如图4-9(a)所示,柱塞缸由缸筒、柱塞、导套、密封圈和压盖等零件组成,柱塞和缸筒内壁不接触,因此缸筒内孔不需精加工,工艺性好,成本低。柱塞式液压缸是单作用的,它的回程需要借助自重或弹簧等其他外力来完成,如果要获得双向运动,可将两柱塞液压缸成对使用[见图4-9(b)]。柱塞缸的柱塞端面是受压面,其面积大小决定了柱塞缸的输出速度和推力,为保证柱塞缸有足够的推力和稳定性,一般柱塞较粗,质量较大,水平安装时易产生单边磨损,故柱塞缸适宜于垂直安装使用。为减轻柱塞的质量,有时制成空心柱塞。柱塞缸结构简单、制造方便,常用于工作行程较长的场合,如大型拉床、矿用液压支架等。

图4-9 柱塞式液压缸
柱塞缸产生的运动速度和推力为

4.伸缩式液压缸
伸缩式液压缸又称为多级液压缸,当安装空间受到限制而行程要求很长时可以采用这种液压缸,如某些汽车起重机液压系统中的吊臂缸。
图4-10所示为双作用伸缩液压缸结构图。当通入压力油时,活塞有效面积最大的缸筒以最低油压力开始伸出,当行至终点时,活塞有效面积次之的缸筒开始伸出。外伸缸筒有效面积越小,工作油液压力越高,伸出速度越快。各级压力和速度可按活塞式液压缸有关公式来计算。

图4-10 双作用伸缩液压缸的结构图

图4-11 单作用伸缩液压缸
除双作用伸缩液压缸外,还有一种柱塞式单作用伸缩液压缸,如图4-11所示。当油口接通压力油时,柱塞由面积大的至面积小的逐次伸出;当油口接回油箱时,柱塞在外负载或自重的作用下,由小到大逐个缩回。在此结构中,负载与最小面积的柱塞直接相连。
综上所述,伸缩式液压缸有如下一些特点。
(1)伸缩缸工作的行程可以相当长,不工作时整个缸的长度可以缩得较短。
(2)伸缩缸逐个伸出时,有效工作面积逐次减小。因此,当输入流量相同时,外伸速度逐次增大;当负载恒定时,液压缸的工作压力逐次提高。
(3)单作用伸缩缸的外伸依靠油压,内缩依靠自重或负载作用。因此,伸缩式液压缸多用于缸倾斜或垂直放置的场合。
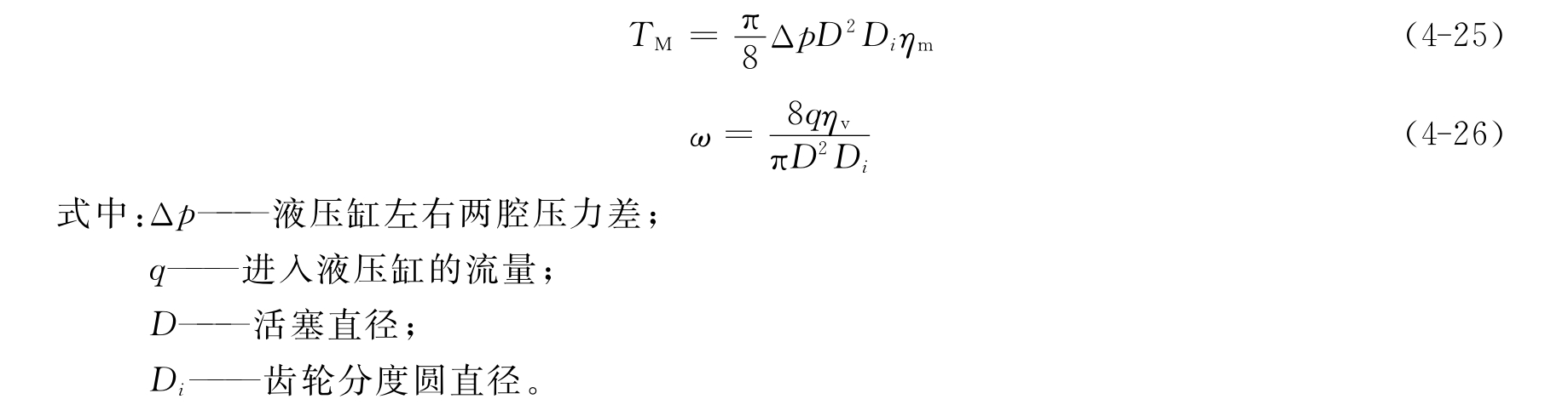
5.齿条活塞液压缸
齿条活塞液压缸也称为无杆液压缸,其工作原理图如图4-12所示。压力油进入液压缸后,推动具有齿条的双作用活塞缸作直线运动,齿条带动齿轮旋转,从而带动进刀机构动作、回转工作台转位、装载机的铲斗回转等。
传动轴输出转矩TM及输出角速度ω分别为


图4-12 齿条活塞液压缸工作原理图

图4-13 增压缸
6.增压缸
增压缸也称为增压器,它能将输入的低压油转变成高压油供液压系统中的高压支路使用,增压缸如图4-13所示。它由有效面积为A1的大液压缸和有效面积为A2的小液压缸在机械上串联而成。当大液压缸输入压力为p1的液压油时,小液压缸输出压力为p2,则有

式中,K=A1/A2,称为增压比,它表示增压缸的增压能力。可以看出,增压能力是在降低有效流量的基础上得到的。
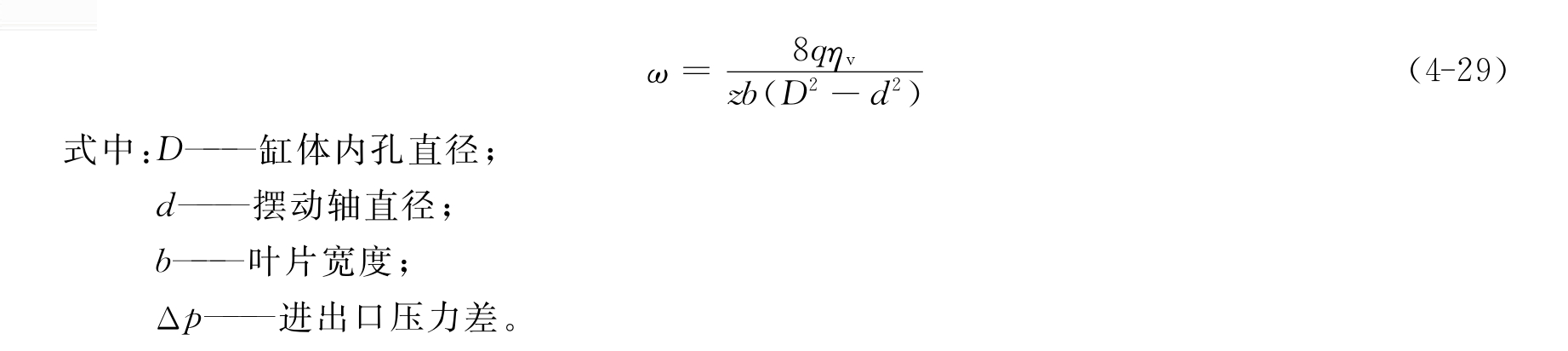
7.摆动液压缸
摆动液压缸又称为摆动液压马达,是一种输出轴能直接输出扭矩、往复回转角度小于360°的回转式液压缸。其一般为叶片式,由于叶片与隔板有一定的厚度,因此实际能实现的最大回转角度约为270°。
图4-14所示为单叶片摆动液压缸,它主要由定子块1、缸体2、摆动轴3、叶片4、左右支承盘和左右盖板等主要零件组成。两个工作腔之间的密封靠叶片和隔板外缘所嵌的框形密封件来保证,定子块固定在缸体上,叶片和摆动轴固定连接在一起,当两油口相继通压力油时,叶片即带动摆动轴作往复摆动,当考虑到机械效率时,单叶片缸的摆动轴输出转矩为



图4-14 单叶片摆动液压缸
1—定子块;2—缸体;3—摆动轴;4—叶片
4.2.2 液压缸的结构
通常液压缸由后端盖、缸筒、活塞杆、活塞组件、前端盖等主要部分组成。为防止油液向液压缸外泄或由高压腔向低压腔泄漏,在缸筒与端盖、活塞与活塞杆、活塞与缸筒、活塞杆与前端盖之间均设置有密封装置,在前端盖外侧,还装有防尘装置;为防止活塞快速退回到行程终端时撞击后缸盖,液压缸端部还设置有缓冲装置,有时还需设置排气装置。
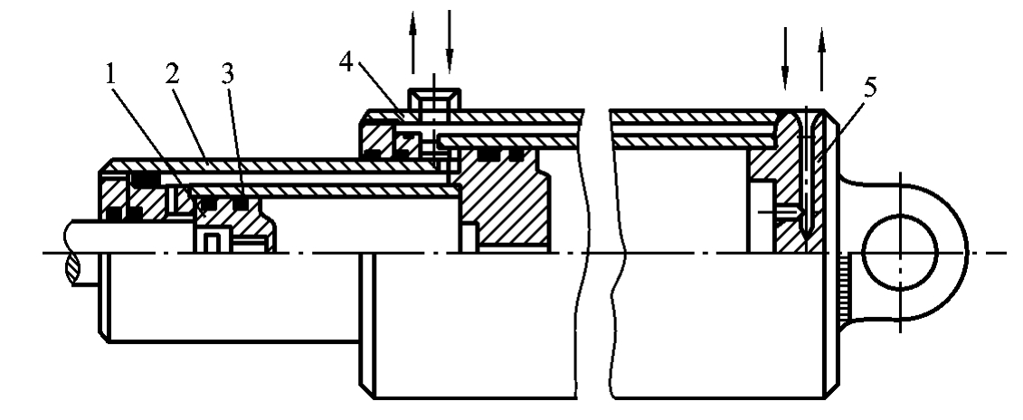
图4-15所示为双作用单活塞杆液压缸的结构图,它由缸底2、缸筒11、活塞8、活塞杆12、导向套13和端盖15等组成。此缸结构上的特点是活塞和活塞杆之间用卡环连接,因而拆装方便;活塞上的支承环由聚四氟乙烯等耐磨材料制成,摩擦力较小;导向套可使活塞杆在轴向运动中不致歪斜,从而保护了密封件;缸的两端均有缝隙式缓冲装置,可减少活塞在运动到端部时的冲击和噪声。此类缸的工作压力为12~15MPa。

图4-15 双作用单活塞杆液压缸的结构图
1—螺钉;2—缸底;3—弹簧卡圈;4—挡环;5—卡环;6—密封圈;7—挡圈;8—活塞;9—支承环;
10—活塞与活塞杆之间的密封圈;11—缸筒;12—活塞杆;13—导向套;14—导向套和缸筒之间的密封圈;
15—端盖;16—导向套和活塞杆之间的密封圈;17—挡圈;18—紧定螺钉;19—防尘圈;
20—锁紧螺母;21—耳环;22—耳环衬套圈
1.缸筒和缸盖
缸筒是液压缸的主体,其内孔一般采用镗削、绞孔、滚压或珩磨等精密加工工艺制造,要求表面粗糙度在0.1~0.4μm,使活塞及其密封件、支承件能顺利滑动,从而保证密封效果,减少磨损;缸筒要承受很大的液压力,因此,应具有足够的强度和刚度。
端盖装在缸筒两端,与缸筒形成封闭油腔,同样承受很大的液压力,因此,端盖及其连接件都应有足够的强度。设计时既要考虑强度,又要选择工艺性较好的结构形式。
导向套对活塞杆或柱塞起导向和支承作用,有些液压缸不设导向套,直接用端盖孔导向,这种结构简单,但磨损后必须更换端盖。
缸筒、端盖和导向套的材料选择和技术要求可参考《液压工程手冊》。
常见的缸体组件连接形式如图4-16所示。

图4-16 缸体组件连接形式
1)法兰式连接
该连接的特点是结构简单、加工方便、连接可靠,但是要求缸筒端部有足够的壁厚,用以安装螺栓或旋入螺钉。缸筒端部一般用铸造、镦粗或焊接方式制成粗大的外径。它是常用的一种连接形式。
2)螺纹式连接
螺纹式连接有外螺纹连接和内螺纹连接两种,其特点是体积小、质量轻、结构紧凑,但缸筒端部结构较复杂。这种连接形式一般用于要求外形尺寸小、质量轻的场合。
3)拉杆式连接
该连接的特点是结构简单、工艺性好、通用性强,但端盖的体积和质量较大,拉杆受力后会拉伸变长,影响密封效果。这种连接形式只适用于长度不大的中、低压液压缸。
4)焊接式连接
该连接的特点是强度高、制造简单,但焊接时易引起缸筒变形。
5)半环式连接
半环式连接分为外半环连接和内半环连接两种连接形式。半环式连接的特点是工艺性好、连接可靠、结构紧凑,但削弱了缸筒强度。半环式连接应用十分普遍,常用于无缝钢管缸筒与端盖的连接中。
2.活塞和活塞杆
如图4-17所示,活塞与活塞杆的连接最常用的有螺纹连接和半环式连接形式,除此之外还有整体式结构、焊接式结构、锥销式结构等。
螺纹式连接如图4-17(a)所示,此种连接的特点是结构简单、装拆方便,但一般需备有螺母防松装置;半环式连接如图4-17(b)所示,此种连接的特点是连接强度高,但结构复杂、装拆不便,半环式连接多用于高压和振动较大的场合;整体式连接和焊接式连接的特点是结构简单、轴向尺寸紧凑,但损坏后需整体更换,对活塞与活塞杆比值较小、行程较短或尺寸不大的液压缸,其活塞与活塞杆可采用整体式或焊接式连接;锥销式连接的特点是加工容易、装配简单,但承载能力小,且需要有必要的防止脱落措施,在轻载情况下可采用锥销式连接。

图4-17 活塞与活塞杆的连接形式
3.密封装置
液压缸的密封装置主要用来防止液压油的泄漏,良好的密封是液压缸传递动力、正常动作的保证,根据两个需要密封的配合面间有无相对运动,可把密封分为动密封和静密封两大类。设计或选用密封装置的基本要求是具有良好的密封性能,并随压力的增加能自动提高密封性能,除此以外,密封装置还要求摩擦阻力小、耐油、抗腐蚀、耐磨、使用寿命长、制造简单、拆装方便等。常见的密封方法有以下几种。
1)间隙密封
间隙密封依靠相对运动零件配合面间的微小间隙来防止泄漏,由环形缝隙轴向流动理论可知,泄漏量与间隙的三次方成正比,因此可用减小间隙的办法来减少泄漏。一般间隙为0.01~0.05mm,这就要求配合面有很高的加工精度。
间隙密封的特点是结构简单、摩擦力小、耐用,但对零件的加工精度要求较高,且难以完全消除泄漏。故间隙密封只适用于低压、小直径的快速液压缸。
2)活塞环密封
活塞环密封依靠装在活塞环形槽内的弹性金属环紧贴缸筒内壁实现密封,如图4-18所
示。它的密封效果较间隙密封好,适用的压力和温度范围很宽,能自动补偿磨损和温度变化的影响,能在高速条件下工作,摩擦力小,工作可靠,寿命长,但不能完全密封。活塞环的加工复杂,缸筒内表面加工精度要求高,一般用于高压、高速和高温的场合。

图4-18 活塞环密封
1—缸筒;2—螺母;3—活塞;4—活塞杆;5—活塞环
3)密封圈密封
密封圈密封是液压系统中应用最广泛的一种密封形式,密封圈有O形、V形、Y形及组合式等数种,其材料为耐油橡胶、尼龙、聚氨酯等。
4.缓冲装置
当液压缸所驱动负载的质量较大、速度较高时,一般应在液压缸中设缓冲装置,必要时还需在液压传动系统中设缓冲回路,以免在行程终端发生过大的机械碰撞,导致液压缸损坏。缓冲的原理是当活塞或缸筒接近行程终端时,在排油腔内增大回油阻力,从而降低缸的运动速度,避免活塞与缸盖相撞。液压缸中常用的缓冲装置如图4-19所示。

图4-19 液压缸中常用的缓冲装置
图4-19(a)所示为圆柱形环隙式缓冲装置,当缓冲柱塞进入缸盖上的内孔时,缸盖和缓冲活塞间形成缓冲油腔,被封闭油液只能从环形间隙δ排出,产生缓冲压力,从而实现减速缓冲的目的。这种缓冲装置在缓冲过程中,由于其节流面积不变,故缓冲开始时,产生的缓冲制动力很大,但很快就降低了。因此,其缓冲效果较差,但这种装置结构简单,便于设计和降低制造成本,所以在一般系列化的成品液压缸中多采用这种缓冲装置。
图4-19(b)所示为圆锥形环隙式缓冲装置,由于缓冲柱塞为圆锥形,所以缓冲环形间隙δ随位移量的变化而改变,即节流面积随缓冲行程的增大而缩小,使机械能的吸收较均匀,其缓冲效果较好。
图4-19(c)所示为可变节流槽式缓冲装置,在缓冲柱塞上开有由浅入深的三角节流槽,节流面积随着缓冲行程的增大而逐渐减小,缓冲压力变化平缓。
图4-19(d)所示可调节流孔式缓冲装置,在缓冲过程中,缓冲腔油液经节流孔排出,调节节流孔的大小,可控制缓冲腔内缓冲压力的大小,以适应液压缸不同的负载和速度工况对缓冲的要求,同时当活塞反向运动时,高压油从单向阀进入液压缸内,活塞也不会因推力不足而产生启动缓慢或困难等现象。
5.排气装置
由于液压油中混入空气,以及液压缸在安装过程中或长时间停止使用时渗入空气,液压缸在运行过程中,会因气体压缩性使执行部件出现低速爬行、噪声等不正常现象,严重时会使系统不能正常工作。所以,液压缸必须考虑空气的排除问题。

图4-20 排气装置
排气装置如图4-20所示。对于要求不高的液压缸,往往不设计专门的排气装置,而是将油口布置在缸筒两端的最高处,这样也能使空气随油液排往油箱,再从油箱溢出,对于速度稳定性要求较高的液压缸和大型液压缸,常在液压缸的最高处设置专门的排气装置,如排气塞、排气阀等。当松开排气塞或排气阀的锁紧螺钉后,低压往复运动几次,带有气泡的油液就会排出,空气排完后拧紧螺钉,液压缸便可恢复正常工作。
4.2.3 液压缸的设计和计算
一般来说,液压缸是标准件,但有时也需要自行设计。本节以双作用单活塞杆液压缸为例,介绍有关设计计算内容。
1.液压缸基本参数确定
1)工作负载FR与液压缸推力F
液压缸的工作负载FR,是指工作机构在满负荷情况下,以一定速度启动时对液压缸产生的总阻力。即

液压缸的推力F应等于或略大于它的工作负载总阻力。
2)运动速度v
液压缸的运动速度与其输入流量和活塞、活塞杆的面积有关。如果工作机构对液压缸的运动速度有一定要求,应根据所需的运动速度和缸径来选择液压泵;在速度没有要求时,可根据已选定的泵流量和缸径来确定运动速度。
3)缸筒内径D
缸筒内径即活塞杆外径,它是液压缸的主要参数,可根据以下原则来确定。
(1)按推力F计算缸筒内径D。
在液压系统给定的工作压力p后(设回油背压为零),应满足下列关系式

式中:A——液压缸的有效工作面积。对于无活塞杆腔,A=πD2/4;对于有活塞杆腔,A=π(D2-d2)/4。
对于无活塞杆腔,当要求推力为F1时

对于有活塞杆腔,当要求推力为F2时

计算所得的液压缸内径D应取式(4-31)和式(4-32)计算值较大的一个,然后圆整为标准系列,参见《液压工程手册》。圆整后,液压缸的工作压力应作相应的调整。
(2)按运动速度计算缸筒内径D。
当液压缸运动速度v有要求时,可根据液压缸的流量q计算。对于无活塞杆腔,当运动速度为v1,进入液压缸的流量为q1时

对于无活塞杆腔,当运动速度为v2,进入液压缸的流量为q2时

当液压缸有密封件密封时,泄漏很小,可取容积效率ηv=1。
同理,缸筒内径D应按D1、D2中较小的一个圆整为标准值。
(3)推力F与运动速度v同时给定时,缸筒内径D的计算。
如果系统中液压泵的类型和规格已确定,则液压缸的工作压力和流量已知,此时可根据推力计算内径,然后校核其工作速度。当计算速度与要求相差较大时,建议重新选择不同规格的液压泵。液压缸的工作压力p应不超过液压泵的额定压力与系统总压力损失之差。
当然,在设计液压缸时还有一个系统综合效益问题,这一点对多缸工作系统尤为重要。
4)活塞杆直径d
确定活塞杆直径d,通常要满足液压缸速度或往复速度比,然后再校核其结构强度和稳定性。若往复速度比为φ,则

推荐液压缸速度比如表4-3所示。
表4-3 液压缸往复速度比推荐值

同理,活塞杆直径d也应圆整为标准值。
5)最小导向长度H的确定
当活塞杆全部外伸时,从活塞支承面中点到导向套滑动面中点的距离称为最小导向长度H(见图4-21)。如果导向长度太小,将使液压缸的初始挠度增大,影响液压缸的稳定性,因此设计时必须保证有一定的最小长度。
对于一般的液压缸,最小导向长度H应满足以下要求

活塞的宽度一般取B=(0.6~1.0)D;导向套滑动面的长度A,在D<80mm时取A=(0.6~1.0)D,在D>80mm时取A=(0.6~1.0)d。为保证最小导向长度,过分增大A和B都是不合适的,必要时可在导向套与活塞之间装一个隔套(图中零件K),隔套的长度C由需要的最小导向长度H决定,即


图4-21 导向长度
2.结构强度设计与稳定校核
1)缸筒外径
缸筒内径确定后,由强度条件计算壁厚,然后求出缸筒外径D1。
当缸筒壁厚δ与内径D的比值小于0.1时,称为薄壁缸筒,壁厚按材料力学薄壁圆筒公式计算

当缸筒壁厚δ与内径D的比值大于0.1时,称为厚壁缸筒,壁厚按材料力学第二强度理论计算

缸筒壁厚确定之后,即可求出液压缸的外径

D1值也应按有关标准圆整为标准值。
2)液压缸的稳定性和活塞杆强度校核
按速度比要求初步确定活塞杆直径后,还必须满足液压缸的稳定性及其强度要求。
(1)液压缸的稳定性验算。
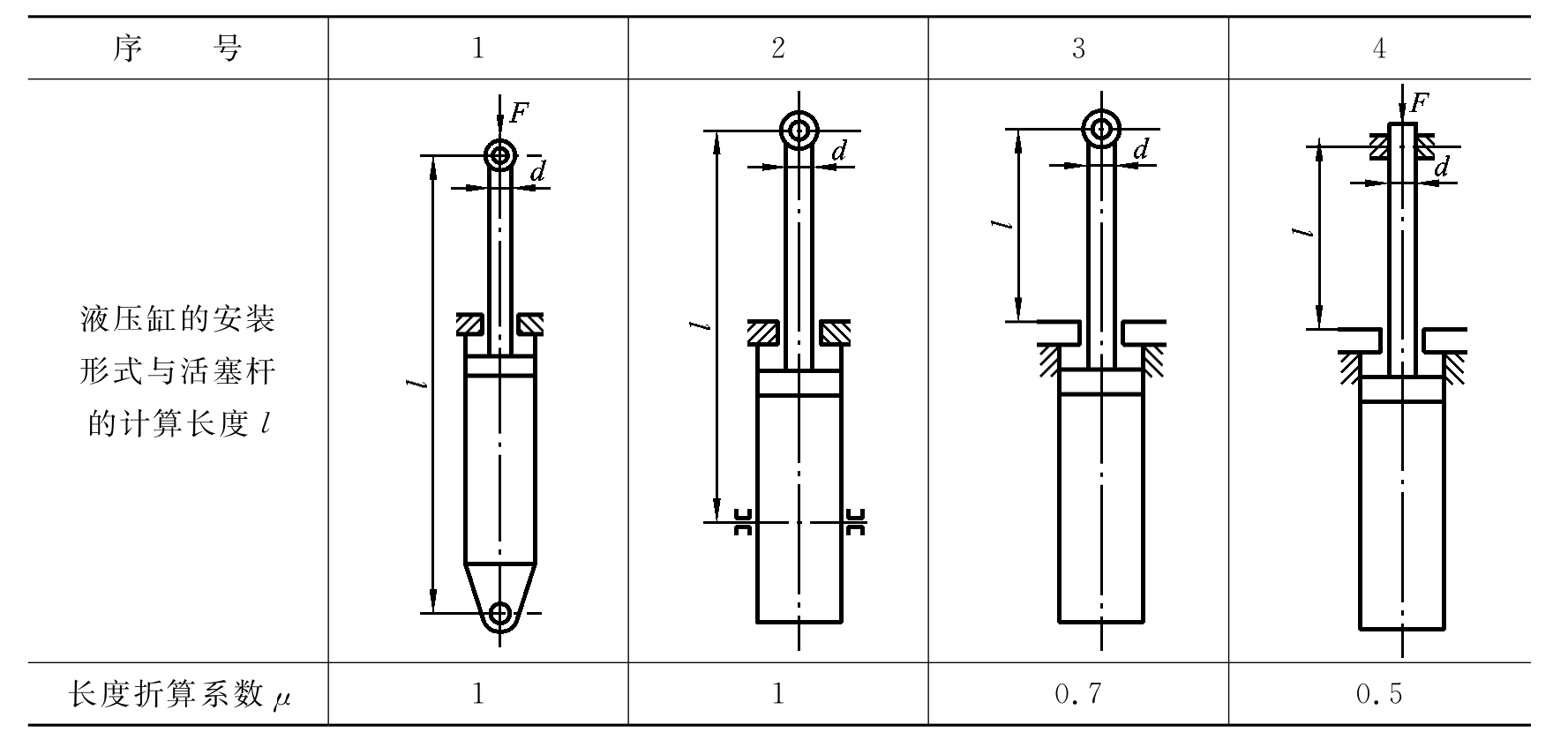
按材料力学理论,一根受压的直杆,在其轴向负载F超过稳定临界力FK时,即失去原有直线状态下的平衡,称为失稳。对于液压缸,其稳定条件为

液压缸的稳定临界力FK值与活塞杆和缸体的材料、长度、刚度及其两端支撑状况等因素有关。当
>10(见表4-4)时要进行稳定性校核。
当λ=
>λ1时,由欧拉公式计算

r——活塞杆横断面的回转半径,r=
其中A为断面面积。
表4-4 长度折算系数

表4-5 稳定校核的相关系数

当λ1<λ<λ2时,活塞杆属于中柔度杆,按雅辛斯基公式验算

当活塞杆受纯压缩或纯拉伸时
