3.4 柱塞泵
柱塞泵是依靠柱塞在其缸体内往复运动时密封工作腔的容积变化来实现吸油和压油的。由于柱塞与缸体内孔均为圆柱表面,容易得到高精度的配合,所以这类泵的特点是泄漏小、容积效率高、可以在高压下工作。
柱塞泵按柱塞排列方向不同,可分为径向柱塞泵和轴向柱塞泵两大类。轴向柱塞泵又分为斜盘式和斜轴式两类。
3.4.1 径向柱塞泵
1.结构和工作原理
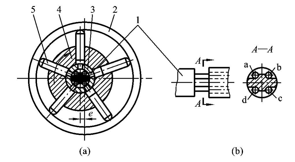
图3-19所示为径向柱塞泵的工作原理图。柱塞5均匀地排列安装在转子4的径向孔中,并随同转子4旋转,衬套3和转子4紧密配合,并套装在配油轴1上,配油轴固定不动,每个柱塞底部形成密封工作容积。转子在电动机带动下连同柱塞一起旋转,柱塞靠离心力(或在低压油作用下)紧压在定子2的内表面上。由于转子和定子间有一偏心距e,所以当转子按图示箭头方向旋转时,柱塞在上半周内向外伸出,柱塞底部的密封工作容积逐渐增大,产生局部真空,通过配油轴上的孔a和半槽b吸油,如图3-19(b)所示。当柱塞旋转到下半周时,各柱塞底部的密封工作容积逐渐减小,通过半槽c和孔d排油。转子每旋转一周,每个柱塞各吸、压油一次。

图3-19 径向柱塞泵的工作原理图
1—配油轴;2—定子;3—衬套;4—转子;5—柱塞
综上所述,径向柱塞泵的工作原理可归纳如下。
(1)由转子4、柱塞5、衬套3和配油轴1在各柱塞底部形成若干个密封工作容积。
(2)由于转子4与定子2之间存在偏心距e,当转子旋转时,柱塞向外伸,密封工作容积由小变大,形成局部真空,为吸油过程;当柱塞往里缩,容积由大到小,为压油过程。
(3)配油轴把吸、压油腔严格分开,起配油装置作用。
(4)若改变定子和转子的偏心距e,就可改变排量;若把正偏心距改变成负偏心距,可改变液流方向,变单向变量泵为双向变量泵。
2.径向柱塞泵的排量和流量
泵的排量为

泵的实际输出流量为

由于径向柱塞泵中的柱塞在缸体中移动速度是变化的,因此泵的输出流量是有脉动的,当柱塞较多且为奇数时,流量脉动也较小。
3.径向柱塞泵的优缺点
径向柱塞泵的优点是工作压力较高、流量大、轴向尺寸小,缺点是径向尺寸大、结构复杂;配油轴受到很大径向力的作用,易于磨损;自吸能力差。
3.4.2 轴向柱塞泵

图3-20 斜盘式轴向柱塞泵的工作原理图
1—传动轴;2—斜盘;3—柱塞;4—缸体;5—配油盘;6—弹簧
1.工作原理
图3-20为斜盘式轴向柱塞泵的工作原理图,它主要由传动轴1、斜盘2、柱塞3、缸体4和配油盘5、弹簧6等组成。柱塞3的轴线与缸体4的轴线平行,并均匀地分布在缸体的圆周上。斜盘与传动轴有一夹角θ。柱塞在弹簧或液压力的作用下保持头部和斜盘紧密接触。当缸体旋转时,由于斜盘、弹簧或液压力的作用,使柱塞在缸体内做往复运动,通过配油盘上的腰形配油口进行吸油和压油。缸体按图示方向旋转时,当转向前半周时,柱塞向外伸,其底部密封工作容积增大,形成局部真空,通过配油盘的右腰形孔进行吸油;当转向后半周时,柱塞被斜盘逐渐压入缸体,柱塞底部密封工作容积减小,通过配油盘左腰形孔压油。
综上所述,轴向柱塞泵的工作原理可归纳如下。
(1)由柱塞3、缸体4和配油盘5组成若干个密封工作容积。
(2)由于斜盘相对传动轴有一个倾角,所以当缸体旋转时,柱塞向外伸。密封工作容积由小变大,形成局部真空,为吸油过程;柱塞向里缩,密封工作容积由大变小,为压油过程。
(3)配油盘把吸、压油腔严格区分开,起配油装置作用。
(4)若改变斜盘倾角,就可改变排量;若把倾角方向改变,即可改变液流方向,变单向变量泵为双向变量泵。
2.轴向柱塞泵的排量和流量计算
泵的排量为

泵的流量为

实际上,柱塞泵的输油量是脉动的,具有不同柱塞数目,其输出流量的脉动是不同的,一般情况下,柱塞数较多并为奇数时,脉动率较小。故柱塞泵的柱塞数一般都为奇数,从结构和工艺上考虑,常取z=7或z=9。
3.轴向柱塞泵的结构特点
1)结构
图3-21所示为SCY14-1手动变量斜盘式轴向柱塞泵的结构图。该泵由主体部分(图中中间及右半部)和变量部分(图中左半部)组成。中间泵体1和前泵体5组成主体部分。在主体部分中,泵轴6通过花键带动缸体3转动,使均匀分布在缸体上的柱塞7绕泵轴轴线旋转,由于每个柱塞7的头部都装有滑履9,滑履和柱塞是球铰连接可以任意转动。弹簧2以缸体3为支撑通过内套和钢球推压在回程盘10上,回程盘10的孔套在滑履9上,通过滑履上的台肩使滑履紧贴斜盘11的表面,从而使柱塞左移完成回程吸油动作。柱塞压油过程是由斜盘斜面通过滑履推动柱塞右移完成的,圆柱滚子轴承8用来承受缸体的径向力。缸体的轴向力由缸体右面的配油盘4承受。配油盘4上开有吸油、压油窗口,分别与前泵体5上的吸、压油口相通。随着泵轴的转动,液压泵就连续地吸油和压油。
2)变量机构
如图3-21左半部分所示,变量时转动手轮15,螺杆14随之转动,带动变量活塞13上下移动,变量活塞13通过销轴12带动斜盘11,使斜盘11转动,从而改变斜盘倾角γ。γ的变化范围一般为0°~20°。这种手动变量机构的特点是结构简单,但手动操纵力较大,通常只能在停机或泵压力较低的情况下才能实现变量。除此结构以外,变量方式还有压力补偿变量(恒功率变量)、恒流量变量、手动伺服变量、电液比例变量等多种变量形式。

图3-21 SCY14-1手动变量斜盘式轴向柱塞泵的结构图
1—中间泵体;2—弹簧;3—缸体;4—配油盘;5—前泵体;6—泵轴;7—柱塞;
8—圆柱滚子轴承;9—滑履;10—回程盘;11—斜盘;12—销轴;13—变量活塞;
14—螺杆;15—手轮;16—锁紧螺母
4.轴向柱塞泵的优缺点
轴向柱塞泵的优点是工作压力高、流量范围大,因而功率大,且结构紧凑、质量轻、容易实现变量。其缺点是结构复杂、材料及加工精度要求高、加工量大、价格昂贵。