3.3 叶片泵
叶片泵分为单作用叶片泵和双作用叶片泵两种,前者用做变量泵,后者用做定量泵。
3.3.1 单作用叶片泵

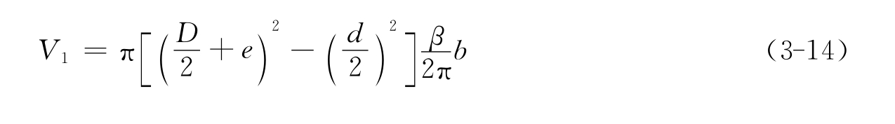
图3-11 单作用叶片泵工作原理
1—转子;2—定子;3—叶片;4—泵体;5—配油盘
1.单作用叶片泵工作原理
单作用叶片泵的工作原理如图3-11所示。泵由转子1、定子2、叶片3、泵体4、配油盘5和端盖(图中未注)等部件所组成。定子的内表面是圆柱形孔。转子和定子之间存在着偏心。叶片在转子的槽内可灵活滑动,在转子转动时的离心力及通入叶片根部压力油的作用下,叶片顶部贴紧在定子内表面上,于是两相邻叶片、配油盘、定子和转子间便形成了一个个密封的工作腔。当转子按图示方向旋转时,图右侧的叶片向外伸出,密封工作腔容积逐渐增大,产生真空,于是通过吸油口和配油盘上窗口将油吸入。而在图的左侧,叶片往里缩进,密封腔的容积逐渐缩小,密封腔中的油液往配油盘另一窗口和压油口被压出而输到系统中去。这种泵在转子转一转的过程中,吸油和压油各一次,故称单作用泵;转子上受单方向的液压不平衡作用力作用,故又称非平衡式泵,其轴承负载较大。改变定子和转子间偏心的大小,便可改变泵的排量,故这种泵是变量泵。
2.流量计算
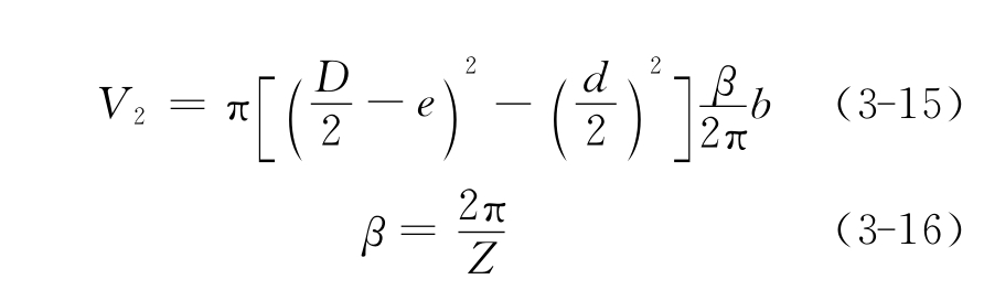
如图3-12所示,当单作用叶片泵的转子每转一周时,每两相邻叶片间的密封容积变化量为V1-V2,其近似计算为


由上面三式可得出泵的排量V计算式为

实际流量为

由式(3-18)可知,单作用叶片泵的流量与偏心距成正比,调节偏心距e便可调节其输出流量。由于定子和转子偏心安置,运转时其容积变化是不均匀的,因此有流量脉动。理论计算可以证明,叶片数为奇数时流量脉动较小,故单作用叶片泵的叶片数总取奇数,一般为13片或15片。

图3-12 单作用叶片泵排量
3.结构特点
单作用叶片泵的结构特点如下。
(1)定子和转子相互偏置可改变其偏心距来调节输出流量。
(2)径向液压力不平衡。由于单作用叶片泵的这一特点,使泵的工作压力受到限制,所以这种泵不适于高压条件。
(3)叶片后倾。叶片底部油槽在压油区是与压油腔相通、在吸油区与吸油腔相通的。为了使叶片能顺利地向外运动并始终紧贴定子,必须使叶片所受的惯性力与叶片的离心力等的合力方向尽量与转子中叶片槽的方向一致,为此转子中叶片槽应向后倾斜一定的角度(一般为20°~30°)。
例3-2 某单作用叶片泵转子外径d=80mm,定子内径D=85mm,叶片宽度b=28 mm。调节变量时定子和转子之间的最小调整间隙为δ=0.5mm。求:
(1)该泵排量V=15mL/r时的偏心距e;
(2)该泵最大可能的排量Vmax。
解 (1)根据V=2πeDb,故

(2)叶片泵变量时最小调整间隙为δ=0.5mm,所以定子与转子最大偏心距为

该泵最大可能的排量Vmax为
Vmax=2πemaxDb=2π×2×85×28×10-9 m3/r=29.9mL/r
4.变量叶片泵的典型结构——限压式变量叶片泵
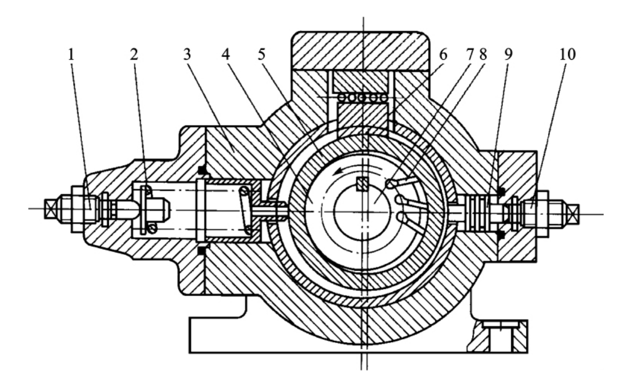
图3-13所示为外反馈限压式变量叶片泵的结构图。图3-14为简化工作原理图。它是利用排油压力的反馈作用来实现流量自动调节的。转子的中心是固定的,定子可以左右移动,在限压弹簧2的作用下,定子被推向右侧,使定子中心和转子中心之间有一初始偏心距,它决定了泵的最大流量。设活塞的有效面积为A,泵的压力为p,则活塞对定子施向右侧的反馈力为pA。当pA<F0(弹簧预压缩力)时,定子不动,仍保持最大的偏心距,泵的流量也保持最大值;当泵的压力升高到某一值pB时,使pBA=F0,pB称为泵的限定压力(pB可通过调节弹簧预紧力设定),这也是泵保持最大流量的最高压力;当泵的压力升高到pA>F0时,反馈力克服弹簧力把定子推向左侧,偏心距减小,泵的流量也随之减小。压力越高,偏心距越小,泵的流量也越小。当泵的压力达到某一值时,反馈力把弹簧压缩到最短,定子移动到最右端位置,偏心距减到最小,泵的实际输出流量为零,不管外负载再如何增大,泵的输出压力不再升高,故称之为外反馈限压式变量叶片泵。

图3-13 外反馈限压式变量叶片泵
1—预紧力调整螺钉;2—限压弹簧;3—泵体;4—转子;5—定子;
6—滑块;7—泵轴;8—叶片;9—反馈柱塞;10—最大偏心调整螺钉
图3-15所示为限压式变量叶片泵流量-压力特性曲线。该曲线表示了泵工作时流量和压力的变化关系。当泵的工作压力小于pB时,其流量q按斜线AB变化,在该阶段变量泵相当于定量泵,图中B点为曲线的拐点,其对应的压力就是限定压力pB。它表示泵在原始偏心量时可达到的最大工作压力。当泵的工作压力p超过pB时,偏心量减小,输出流量随压力的升高而急剧减少,流量按BC曲线变化,C点所对应的压力pC为最大压力。当更换不同刚度的弹簧时,可以改变BC曲线的斜率,弹簧的刚度越小(越软),BC曲线越陡,pC值越小。反之,弹簧的刚度越大(越硬),BC曲线越平缓,pC值越大。调节弹簧螺钉5(见图3-14)可以改变泵的最大流量,使特性曲线AB上下平移;调节限压弹簧2的预紧力可以改变限定压力pB的大小,使特性曲线BC左右平移。
从以上讨论可以看出,限压式变量泵特别适用于工作机构有快、慢速进给要求的场合,例如组合机床的动力滑台等。当需要有快速进给运动时,需要流量最大,正好应用曲线AB段;当转为工作进给时,负载较大,速度要求不高,所需的流量也较小,正好应用曲线的BC段。这样可以有效利用系统功率,降低功率损耗,减少系统发热。

图3-14 外反馈限压式变量叶片泵的工作原理
1—反馈液压缸;2—限压弹簧;
3—转子;4—定子;5—弹簧螺钉

图3-15 限压式变量叶片泵流量-压力特性曲线
3.3.2 双作用叶片泵
1.工作原理
图3-16所示为双作用叶片泵的工作原理图。其工作原理与单作用叶片泵相似,不同之处在于双作用叶片泵的定子内表面类似椭圆,由两大半径R圆弧、两小半径r圆弧和四段过渡曲线组成,且定子和转子同心。配油盘上开两个吸油窗口和两个压油窗口。当转子按图示方向转动时,叶片由小半径r处向大半径R处移动时,两叶片间容积增大,通过吸油窗口吸油;当叶片由大半径R处向小半径r处移动时,两叶片间容积减小,油液压力升高,通过压油窗口压油。转子每转一周,每一叶片往复运动两次,故这种泵称为双作用叶片泵。双作用叶片泵的排量不可调,是定量泵。

图3-16 双作用叶片泵的工作原理图
1—定子;2—转子;3—叶片
2.排量和流量的计算
由泵的工作原理可知,叶片泵每转一周,两叶片组成的工作腔由最小到最大变化两次。因此,叶片泵每转一周,两叶片间的油液排出量为大圆弧段R处的容积与小圆弧段r处的容积的差值的两倍。当不计叶片本身的体积时,通过计算可得双作用叶片泵的排量为

泵的流量为

其余符号意义同前。
双作用叶片泵的流量不能调节,是定量泵。如果不考虑叶片厚度的影响,其瞬时流量应该是均匀的。但实际上,叶片具有一定的厚度,长半径圆弧和短半径圆弧也不可能完全同心,泵的瞬时流量仍将出现微小的脉动,但其脉动率较其他形式的泵要小得多,只要合理选择定子的过渡曲线及与其相适应的叶片数(为4的倍数,通常为12片或16片),理论上可以做到瞬时流量无脉动。
3.结构特点
1)定子曲线
定子内表面的曲线由四段圆弧和四段过渡曲线所组成。理想的过渡曲线不仅应使叶片在槽中滑动时的径向速度和加速度变化均匀,而且应使叶片转到过渡曲线和圆弧交接点处的加速度突变不大,以减小冲击和噪声。目前,双作用叶片泵一般都使用综合性能较好的“等加速-等减速”曲线作为过渡曲线。
2)径向作用力平衡
由于双作用叶片泵的吸、压油口对称分布,所以转子和轴承上所承受的径向作用力是平衡的。
3)叶片倾角
目前大多数双作用叶片泵的转子叶片槽沿转子的旋转方向向前倾斜一个角度θ(θ一般取13°),采取这一措施的初衷是为了减小叶片与定子曲线法线之间的夹角,从而减少定子过渡曲线内表面和叶片顶部接触反力的垂直分力,以减少叶片与叶片槽侧壁之间的摩擦力,保证叶片的自由滑动。后来实践表明,叶片倾角并非完全必要,因此为简化加工工艺,有的转子叶片槽采用了径向布置。
3.3.3 双联叶片泵
1.双级叶片泵
双级叶片泵是由两个普通压力的单级双作用叶片泵装在一个泵体内,在油路上串联而组成,目的是可以得到更高的压力。如图3-17所示,在双级叶片泵中,两个单级的叶片泵的转子装在同一根传动轴上,随传动轴一起转动,第一级泵吸油管直接从油箱中吸油,输出的油液送到第二级泵的吸油口,第二级泵的输出油液经油管送到工作系统中。设第一级泵的输出压力为p1,第二级泵的输出压力为p2,该泵工作时应使p1=0.5p2。为了使在泵体内的两个泵的载荷平衡,在两个泵的中间装有载荷平衡阀1,其面积比是1∶2。工作时,当第一级泵的流量大于第二级泵时,油压p1就会增加,推动平衡阀左移,第一级泵输出的多余的油液就会流回吸油口,从而油压p1就会降低;同理,当第二级泵的流量大于第一级泵时,会使平衡阀右移,第二级泵输出的多余的油液流回第二级泵的吸油口,从而保证两个泵的载荷达到平衡。

图3-17 双级叶片泵
1—载荷平衡阀(活塞面积比1∶2);2、3—叶片泵内部组件
2.双联叶片泵
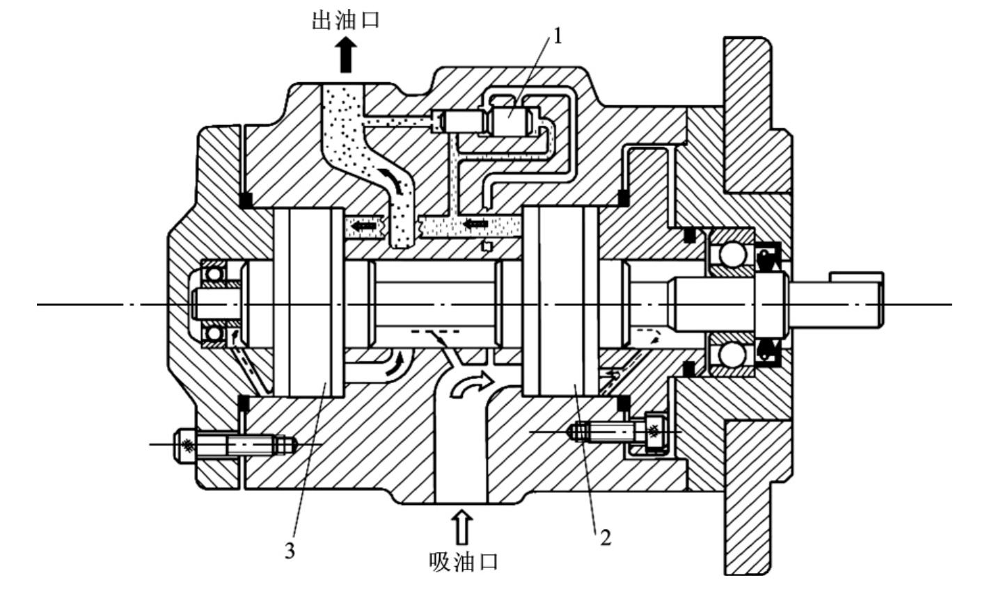
双联叶片泵是两个独立的双作用叶片泵并联装在一个泵体内,两泵共用一个吸油口,各自有自己的输出油口。两泵的流量可以相同也可以不同,一般常用于机床上需要不同的流量的场合。图3-18所示为采用复合泵的双泵供油系统,很多厂家将这种泵和控制阀做成一体,称为复合泵。复合泵具有结构紧凑、回路简单等特点。

图3-18 采用复合泵的双泵供油系统
1—溢流阀;2—单向阀;3—小流量泵组件;4—大流量泵组件;5—轴;6—卸荷阀
该复合泵的组成,下部分小流量泵组件3为高压小流量泵,大流量泵组件4为低压泵,左上部有溢流阀1控制系统最高压力,右上部6为卸荷阀,中间还有防止油液逆流的单向阀2。其工作过程如下:液压泵启动后,当系统压力小于卸荷阀6的弹簧调整压力时,卸荷阀关闭,小流量泵和大流量泵同时向系统供油,流量大,系统快速工作;当系统压力升高,达到卸荷阀6的弹簧调整压力时,卸荷阀6的阀口打开,大流量泵的油液经卸荷阀6流回油口,实现卸荷,此时由小流量泵供油,实现慢速工作进给。