3.1 液压动力元件概述
液压泵是液压系统中的动力元件,是能量转换元件。动力元件的作用是向系统提供液压油。它把驱动它的原动机(一般为电动机)的机械能转换成输送到系统中去的油液的压力能。液压泵性能的好坏将直接影响液压系统的可靠性和稳定性。
3.1.1 液压泵的基本工作原理
图3-1所示为单柱塞液压泵的工作原理。偏心轮1旋转时,柱塞2在偏心轮1和弹簧a的作用下在泵体3中左右移动。柱塞右移时,泵体中的油腔(密封工作腔)容积变大,产生真空,油液便通过吸油阀4吸入;柱塞左移时,泵体中的油腔容积变小,已吸入的油液便通过压油阀5输出到系统中去。由此可见,泵是靠密封工作腔的容积变化进行工作的,故一般称之为容积式液压泵。而输出流量的大小是由密封工作腔的容积变化大小来决定的。

图3-1 单柱塞液压泵的工作原理
1—偏心轮;2—柱塞;3—泵体;4—吸油阀;5—压油阀
综上所述,液压泵工作的基本条件如下。
(1)在结构上能形成密封的工作容积。
(2)密封工作容积能实现周期性的变化,密封工作容积由小变大时与吸油腔相通,完成吸油过程;密封工作容积由大变小时与排油腔相通,完成排油过程。
(3)吸油腔与排油腔必须相互隔开,也就是说有一个配流机构。
3.1.2 液压泵的分类和职能符号
液压泵按其在单位时间内所能输出(所需输入)油液体积可否调节而分为定量泵和变量泵两类;按结构形式可以分为齿轮泵、叶片泵、柱塞泵、螺杆泵。液压泵的职能符号如图3-2所示。

图3-2 液压泵的职能符号
3.1.3 液压泵的性能参数
1.工作压力、额定压力、最高压力
液压泵的工作压力是指泵实际工作时输出油液的压力。工作压力由系统负载决定,若负载增加,泵的工作压力随之升高;负载减少,泵的工作压力随之降低。
液压泵的额定压力是指液压泵在正常工作条件下,按试验标准规定连续运转正常工作的最高工作压力,即在液压泵铭牌或产品样本上标出的压力。
液压泵的最高压力是指按试验标准规定,允许短暂运行的最高压力。液压泵的工作压力随负载的增加而增加,当工作压力增加到液压泵本身的强度允许值和允许的最大泄漏量时,液压泵的工作压力就不能再增加了,这时液压泵的工作压力为最高工作压力。
考虑液压泵在工作中应有一定的压力储备,并有一定的使用寿命和容积效率,通常它的工作压力应低于额定压力。
2.排量和流量
排量是指在不考虑泄漏的情况下,泵轴每转一转所排出油液的体积,用Vp表示,单位为m3/r,实际应用中的单位为mL/r。液压泵的排量取决于液压泵密封腔的几何尺寸,不同的泵因结构参数不同,排量也不一样。
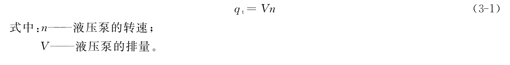
理论流量是指在不考虑泄漏的情况下,液压泵在单位时间内所排出的油液体积,用qt表示,单位为m3/s,实际应用中的单位为L/min。排量和理论流量之间的关系为

实际流量是指液压泵在实际工作时,在单位时间内所排出的油液体积,用q表示。由于液压泵在工作中存在泄漏损失,所以液压泵的实际流量总是小于理论流量。即

式中:Δq——泵的泄漏量。Δq与泵的工作压力p有关,随工作压力p的增高而加大。
泵的流量与压力之间的关系为

额定流量是指液压泵在额定转速和额定压力下工作时实际输出的流量,用q0表示。泵的产品样本或铭牌上标出的流量即为泵的额定流量。
3.功率和效率
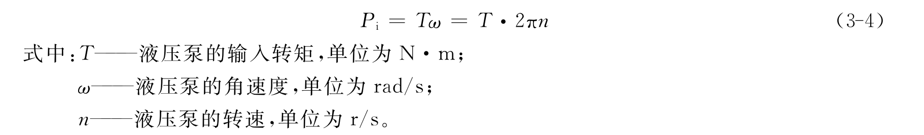
液压泵由电机驱动,输入量是转矩和转速(角速度),输出量是液体的压力和流量。
1)输入功率
液压泵的输入功率是电机驱动液压泵轴的机械功率,它等于输入转矩乘以角速度。即

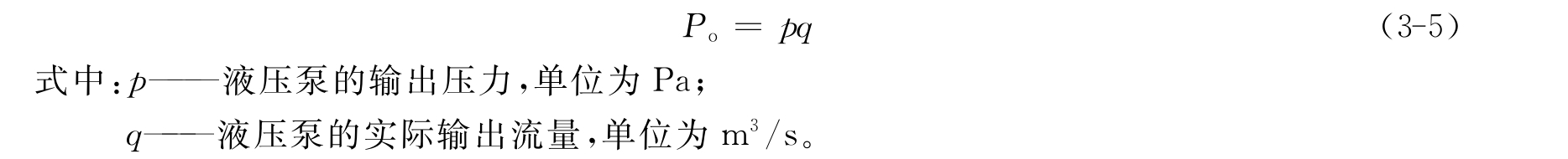
2)输出功率
液压泵输出的是液压油,所以输出功率等于液压泵输出的压力乘以流量。即

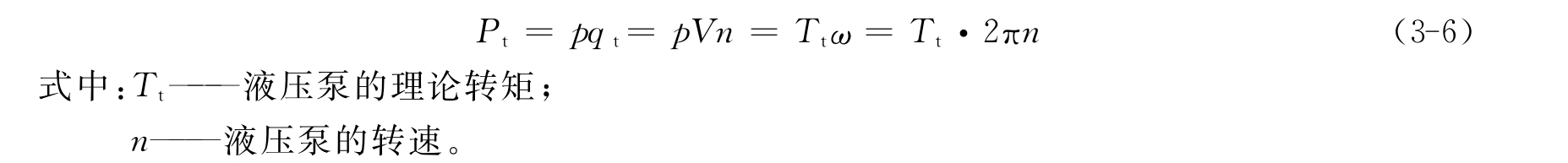
如果不考虑液压泵在能量转换过程中的损失,则输出功率等于输入功率,也就是它们的理论功率为

3)功率损失和效率
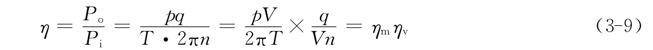
实际上,液压泵在能量转换过程中是有损失的,因此输出功率小于输入功率。两者之间的差值即为功率损失,功率损失可以分为容积损失和机械损失两部分。
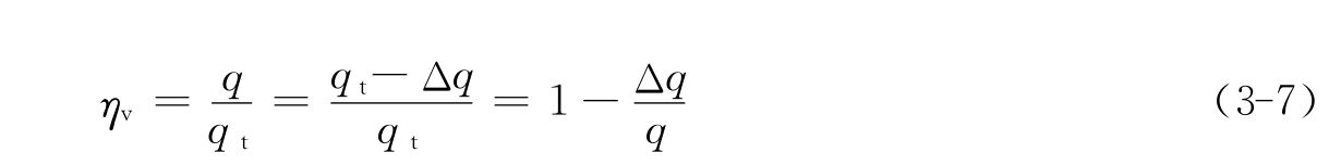
容积损失是指因内泄漏、气穴和油液在高压下的压缩(主要是内泄漏)而造成的流量上的损失。输出压力增大时,泵实际输出的流量q减小。泵的容积损失可用容积效率ηv来表示,有

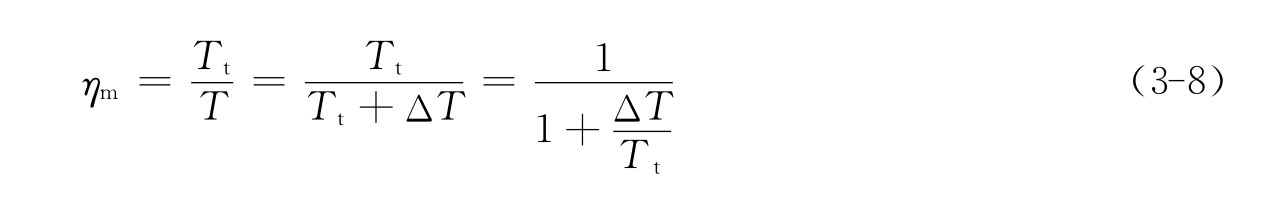
机械损失是指因摩擦而造成的转矩上的损失。对液压泵来说,驱动泵的转矩总是大于其理论上需要的转矩,设转矩损失为ΔT,则泵实际输入转矩为T=Tt+ΔT,用机械效率ηm来表示泵的机械损失时,有

液压泵的总效率η是其输出功率与输入功率之比,有

一般情况下,在液压系统的设计计算中,常常需要计算液压泵的输入功率以确定所需电动机的功率。根据前面的公式可以推导出液压泵的输入功率,可用下式计算

3.1.4 液压泵的性能及检测
液压泵的性能是衡量液压泵优劣的技术指标。性能指标主要包括液压泵的压力-流量特性、泵的容积效率曲线、泵的总效率曲线等。
检测液压泵性能的系统原理图如图3-3所示,首先将溢流阀置于额定压力下,再将节流阀全部打开,使泵的负载为零(此时,由于管路的压力损失,压力表的显示并不一定为零),在流量计上读出流量值,以此空载流量值作为液压泵的理论流量qt。然后通过调节节流阀阀口逐渐升高压力值,读出每次调定压力后的流量值q。根据上述数据可绘制被测泵的压力-流量曲线,根据式(3-7)可算出各调定压力点的容积效率ηV。如果在输入轴上测得转矩和转速,即可利用式(3-4)计算泵的输入功率Pi,再利用式(3-5)计算泵的输出功率Po,即可算出液压泵的总效率。根据上述数据绘出如图3-4所示的液压泵性能曲线。

图3-3 液压泵性能检测原理图

图3-4 液压泵性能曲线
例3-1 某液压泵的输出压力p=10MPa,泵转速n=1 450r/min,排量V=50mL/r,容积效率ηv=0.95,总效率η=0.9。求液压泵的输出功率和驱动液压泵的电动机功率。
解 (1)求液压泵的输出功率。
液压泵输出的实际流量为
q=qtηv=Vnηv=50×10-3×1 450×0.95L/min=67.425L/min
则液压泵的输出功率为

(2)求电动机的功率。
电动机的功率即泵的输入功率,即
