2.6 液体流经小孔和缝隙的流量压力特性
小孔在液压与气压传动中的应用非常广泛。本节主要根据液体经过薄壁小孔、厚壁小孔和细长小孔的流动情况,分析它们的流量压力特性,为以后学习节流调速及伺服系统工作原理打下理论基础。
2.6.1 液体流经小孔的流量压力特性
1.薄壁小孔的流量压力特性

图2-17 薄壁小孔的流量推导简图
在图2-17中,如小孔的长度为l,小孔直径为d,当长径之比l/d≤0.5时,这种小孔称为薄壁小孔。一般孔口边缘做成刀刃口形式。各种结构形式阀口一般都属于薄壁小孔类型。
液体流过小孔时,因D》d,相比之下,流过截面1—1时的速度较低。当液流流过小孔时,在流体惯性力作用下,使通过小孔后的流体形成一个收缩截面A2,然后再扩大,这一收缩和扩大的过程便产生了局部能量损失,并以热量的形式散发。当管道直径与小孔直径之比D/d≥7时,流体的收缩作用不受孔前管道内壁的影响,这时称流体为完全收缩;当D/d<7时,孔前管道内壁对流体进入小孔有导向作用,这时称流体为不完全收缩。
设收缩截面A2=
与孔口截面A=
的比值称为截面收缩系数Cc。
即

在图2-17中,在截面1—1及截面2—2上列出伯努利方程。
由于D》d,v1《v2,故v1可忽略不计,得

化简后得

故

由此可得通过薄壁小孔的流量为

通常,Cc的值可根据雷诺数的大小查有关手册获得。而液体的流量系数Cd的值一般由实验测定。在液流完全收缩的情况下,对常用的液压油,流量系数可取Cd=0.62;在液流不完全收缩时,因管壁离小孔较近,管壁对液流进入小孔起导向作用,流量系数Cd可增大至0.7~0.8;当小孔不是刃口形式而是带棱边或小倒角的孔时,Cd值将更大。
2.厚壁小孔和细长小孔的流量压力特性
1)厚壁小孔的流量压力特性
当小孔的长度和直径之比为0.5<l/d≤4时,此小孔称为厚壁小孔,它的孔长l影响液体流动情况,出口流体不再收缩,因液流经过厚壁孔时的沿程压力损失仍然很小,可以略去不计。厚壁小孔的流量计算公式仍然使用式(2-96),只是流量系数Cd较薄壁小孔大,它的数值可查有关图表获得,一般取0.8左右。厚壁小孔加工比薄壁小孔容易得多,因此特别适合要求不高的固定节流器使用。
2)细长小孔的流量压力特性
当小孔的长度和直径之比为l/d>4时,此小孔称为细长小孔。由于油液流经细长小孔时一般都是层流状态,所以细长小孔的流量公式可以应用前面推导的式(2-82),即

由式(2-97)可知,液流流经细长小孔的流量和孔前后压力差Δp的一次方成正比,而流经薄壁小孔的流量和小孔前后压力差的平方根成正比,所以细长小孔相对薄壁小孔而言,压力差对流量的影响要大些;同时流经薄壁小孔的流量和液体动力黏度μ成反比,当温度升高时,油的黏度降低,因此,流量受液体温度变化的影响较大,这一点和薄壁小孔、短孔的特性明显不同。它一般局限于用做阻尼器或用在流量调节程度要求低的场合。
3.液体经小孔流动时流量压力的统一公式
由上述三种小孔的流量公式,可以综合地用以下公式表示

2.6.2 液体流经缝隙的流量压力特性
在液压系统中的阀、泵、马达、液压缸等部件中存在着大量的缝隙,这些缝隙构成了泄漏的主要原因,造成这些液压元件容积效率降低、功率损失加大、系统发热增加,另外,缝隙过小也会造成相对运动表面之间的摩擦阻力增大。因此,适当的间隙是保证液压元件能正常工作的必要条件。
在液压系统中常见的缝隙形式有两种:一种是由两平行平面形成的平面缝隙;另一种是由内、外两个圆柱面形成的环状缝隙。
1.液体平行平板缝隙流动的流量压力特性
有两块平行平板,其间充满了液体,设缝隙高度为h,宽度为b,长度为l,且一般有b》h和l》h。若考虑液体通过平行平板缝隙时的一般流动情况,即缝隙两端既存在压力差Δp=p1-p2作用,又受到平行平板间相对运动的作用。

图2-18 平行平板的流量推导简图
在液流中取一微小的平行六面体,平行于三个坐标方向的长度分别为dx、dy、dz,如图2-18所示。此微小六面体在x方向作用于左右两端面的压力为p和p+dp,以及作用于上下两表面上的切应力为τ+dτ和τ,则此微元体的受力平衡方程为

整理后得

把τ=μ
代入式(2-100)得

将式(2-101)对y求两次积分得

式中:c1、c2——积分常数。
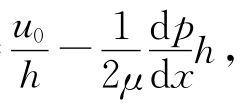
c1、c2可利用边界条件求出,当y=0时,u=0;当y=h时,u=u0。则得c1=
c2=0。
另外,当液流作层流时,p只是x的线性函数,即

则式(2-102)经整理后可得

由此可求得通过平行平板缝隙的流量,设间隙沿z方向的总宽度为b,则厚为dy的液体层的微元流量为

则

即

当平行平板间没有相对运动,即u0=0时,通过平板的缝隙液流完全由压力差引起,其值为

当平行平板两端不存在压力差,仅有平板运动时,经缝隙的液体流量为

当平板的运动方向与压力差方向相反时,则通过平行平板缝隙的流量为

综合以上情况,可得通过平行平板缝隙的流量为

由式(2-111)可知,通过平行平板缝隙的流量与缝隙值的三次方成正比,说明元件内缝隙的大小对其泄漏量的影响是很大的。
2.液体同心圆环和偏心圆环的流量压力特性
液压和气动各零件间的配合间隙大多是圆环形间隙,例如缸筒和活塞之间的间隙、滑阀和阀套之间的间隙等。所有这些情况在理想状况下皆为同心环形缝隙,但在实际中,可能为偏心环形缝隙,下面分别予以讨论。
1)同心圆环缝隙的流量
同心圆环如果间隙h和半径之比很小时,则上述所得平行平板缝隙流动的结论都适用于这种流动。若将环形断面管顺着轴向割开,展开成平面,此流动与平行平板缝隙流动变得完全相似。所以只要在平行平板缝隙的流量计算公式中将宽度b用圆周长πd代替并代入式(2-107)即可。
2)偏心圆环缝隙的流量
图2-19所示为偏心圆环缝隙间的流量推导简图。设内外圆间的偏心距为e,在任意角度θ处的缝隙为h,h沿着圆周方向是个变量。因缝隙很小,R≈r,可以把微元圆弧db所对应的圆环缝隙间的流动近似看做是平行平板缝隙间的流动。将db=rdθ代入式(2-107)得

图2-19 偏心圆环缝隙间的流量推导简图

由图2-19中的几何关系,可得

即

将式(2-114)代入式(2-112)并积分,得其流量公式为

当内外圆相互间没有轴向相对移动时,即u0=0,其流量为

由式(2-116)可以看出,当ε=0时,它就是同心圆环缝隙的流量公式。当ε=1时,为最大偏心状态,理论上其流量为同心圆环缝隙的流量的2.5倍。所以在液压元件的制造装配过程中,为了减少流经缝隙的泄漏量,应尽量使配合件处于同心状态。

图2-20 例2-7的计算简图
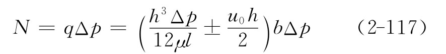
3.泄漏功率
液压元件中相对运动零件间存在着配合间隙,因而就产生了间隙泄漏引起的功率损失。
当然也存在由油液的黏性摩擦引起的摩擦功率损失。
如间隙增大将会使漏泄增加,间隙减小将会使黏性摩擦力增大,因而间隙与漏泄流量及黏性摩擦力之间存在着矛盾,这里只讨论漏泄的问题。
液流在平板间运动时,既有泄漏损失,又有摩擦损失。
由泄漏引起的功率损失为

正号表示两端压力差作用方向与平板运动方向相同;负号表示两端压力差作用方向与平板运动方向相反。同心圆环和偏心圆环也有同样的形式。
例2-7 有一同心圆环缝隙,如图2-20所示,直径d=1cm,缝隙h=0.01mm,缝隙长度l=2mm,缝隙两端压力差Δp=21MPa,油的运动黏度ν=4×10-5 m2/s,油的密度ρ=900kg/m3,求其泄漏量。
解 只在压力差作用下,流经环形缝隙流量公式为q=
其中:d=0.01m;Δp=21×106 Pa;h=1×10-5 m;l=0.002m;μ=ρν=900×40×10-6 Pa·s=36×10-3 Pa·s;所以
