2.5 管道中液流的特性
19世纪末,英国物理学家雷诺通过实验发现,液体在管道中流动时,有两种完全不同的流动状态:层流和紊流。流动状态的不同直接影响液流的各种特性。下面介绍液流的两种流态及判断两种流态的方法。
2.5.1 液体的两种流态及雷诺数判断
1.层流和紊流
层流:液体流动时,液体质点间没有横向运动,且不混杂,作线状或层状的流动。
紊流:液体流动时,液体质点有横向运动或产生小旋涡,作杂乱无章的运动。
2.雷诺数判断
液体的流动状态是层流还是紊流,可以通过无量纲值雷诺数Re来判断。实验证明,液体在圆管中的流动状态可用下式来表示:

在雷诺实验中发现,液流由层流转变为紊流和由紊流转变为层流时的雷诺数是不同的,前者比后者的雷诺数要大。因为由杂乱无章的运动转变为有序的运动更慢、更不易。在理论计算中,一般都用小的雷诺数作为判断流动状态的依据,称之为临界雷诺数,计作Recr。当雷诺数小于临界雷诺数时,看做是层流;反之,则为紊流。
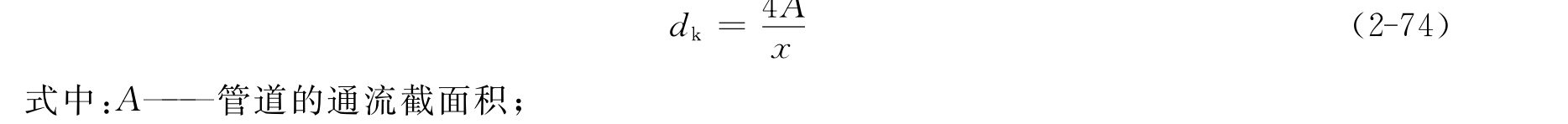
对于非圆截面的管道来说,雷诺数可用下式表示:


x——湿周,即流体与固体壁面相接触的周长。
水力直径的大小直接影响液体在管道中的通流能力。水力直径大,说明液流与管壁接触少,阻力小,通流能力大,即使通流截面小也不易堵塞。在相同的通流截面面积情况下,一般圆形管道的水力直径比其他形状管道的水力直径大。
雷诺数的物理意义:由雷诺数Re的数学表达式可知,惯性力与黏性力的无因次比值是雷诺数;而影响液体流动的力主要是惯性力和黏性力。所以雷诺数大就说明惯性力起主导作用,这样的液流呈紊流状态;若雷诺数小就说明黏性力起主导作用,这样的液流呈层流状态。
2.5.2 沿程压力损失
实际上液体是有黏性的,当液体流动时,这种黏性表现为阻力。要克服这个阻力,就必须消耗一定能量。这种能量消耗表现为压力损失。损耗的能量转变为热能,使液压系统温度升高,性能变差。因此,在设计液压系统时,应尽量减少压力损失。
沿程压力损失,是指液体在直径不变的直管中流动时克服摩擦阻力的作用而产生的能量消耗。因为液体流动有层流和紊流两种状态,所以沿程压力损失也有层流沿程压力损失和紊流沿程压力损失两种。下面分别来讨论。
1.层流沿程压力损失
在液压系统中,液体在管道中的流动速度相对比较低,所以圆管中的层流是液压传动中最常见的现象。在设计和使用液压系统时,希望管道中的液流保持这种状态。
如图2-16所示,有一直径为d的圆管,液体自左向右地作层流流动。在管内取出一段半径为r,长为l,中心与管道轴心相重合的小圆柱体,作用在其两端的压力为p1、p2,作用在侧面上的内摩擦力为Ff。根据条件可知每一同心圆上的流速相等,通流截面上自中心向管壁的流速不等。中心位置的液流速度最大,靠近管壁位置的液流速度最小,为零。小圆柱受力平衡方程式为


图2-16 液体在圆管中作层流时的简图
由式(2-4)可知,内摩擦力Ff=-μA
=-μ2πrl
(因管中流速u随r增大而减小,故
为负值,为使Ff为正值,前面加一负号)。
令

所以

将式(2-77)整理后可得

对式(2-78)等号两边进行积分,并利用边界条件,当r=R时,u=0,最后得

由式(2-79)可见,在通流截面中,流速相等的点至圆心的距离r相等,整个速度分布呈抛物面形状。当r=0时,速度达到最大,umax=ΔpR2 4μl;当r=R时,速度为最小(umin)。在半径为r的圆柱上取一微小圆环dr,此面积为dA=2πrdr,通过此圆环面积的流量为

对式(2-80)进行积分得

即

式(2-82)就是计算液流通过圆管层流时的流量公式,说明液体在作层流运动时,通过直管中的流量与管道直径的4次方、两端的压差成正比,与动力黏度、管道长度成反比。也就是说,要使黏度为μ的液体在直径为d、长度为l的直管中以流量q流过,则其两端必须有Δp的压力降。
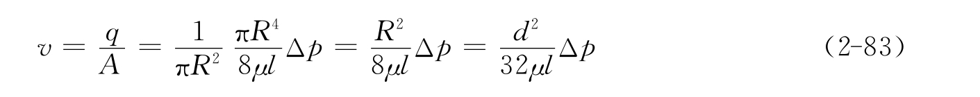
根据平均速度的定义,可求出通过圆管的平均速度:

用v与umax比较可知,平均流速是最大流速的一半。
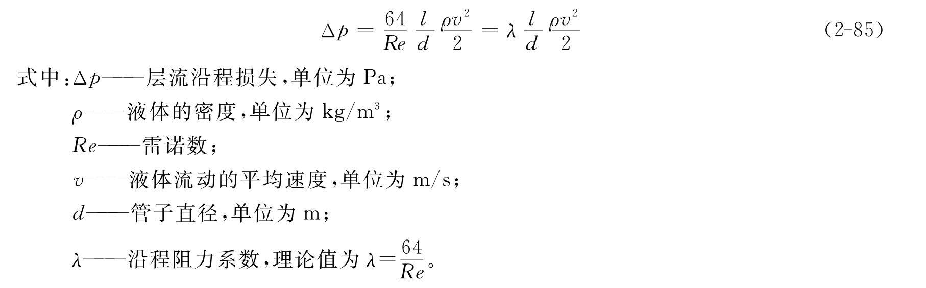
在式(2-82)中,Δp=p1-p2就是液流通过直管时的压力损失,把式(2-82)进行变换可得

实际计算系统的压力损失时,为了与局部压力损失有相同的形式,常将式(2-84)改写为如下形式。
把μ=νρ,Re=
v,代入式(2-84),经整理后得

考虑到实际流动时存在截面不圆、温度变化等因素,试验证明,液体在金属管道中流动时宜取λ=
在橡胶软管中流动时取λ=
另外,在实际计算压力损失时,应注意单位要统一,并且都要用常用单位。式(2-85)也可用水头来表示:

到此,我们前面提到过的动能修正系数和动量修正系数也可以求出。将式(2-79)、式(2-83)的计算公式代入α和β的表达式中,通过积分计算,可得在层流时动能修正系数α=2,动量修正系数
2.紊流沿程压力损失
紊流状态时液体质点除作轴向流动外,还有横向流动,这会引起质点之间的碰撞,并形成旋涡。因此,液体作紊流运动时的能量损失比层流时大得多。紊流运动时液体的运动参数(压力p和流速u)随时间变化而变化,因此,它是一种非稳定流动。通过实验发现,其运动参数总是在某一平均值上下波动。所以可用平均值来研究紊流,把紊流简化为稳定流动。
液体在直管中作紊流运动时,其沿程压力损失的计算公式与层流时相同,即为

但是式(2-87)中的沿程阻力系数λ有所不同。由于紊流时管壁附近有一层层流边界层,它在Re较低时厚度较大,把管壁的表面粗糙度掩盖住,使之不影响液体的流动,液体像流过一根光滑管一样(称为水力光滑管)。这时的λ仅和Re有关,和表面粗糙度无关,即λ=f(Re)。当Re增大时,层流边界层厚度变薄,当它小于管壁表面粗糙度时,管壁表面就突出在层流边界层之外(称为水力粗糙管),对液体的压力产生影响。这时的λ将和Re及管壁的相对表面粗糙度Δ/d(Δ为管壁的绝对表面粗糙度,d为管子内径)有关,即λ=f(Re,Δ/d)。当液体流速进一步加快,Re再进一步增大时,λ将仅与相对表面粗糙度Δ/d有关,即λ=f(Δ/d),这时就称管流进入了阻力平方区。
圆管的沿程阻力系数λ的计算公式列于表2-4中。
表2-4 圆管的沿程阻力系数λ的计算公式

注:管壁绝对表面粗糙度Δ的值,在粗估时,钢管取0.04mm,铜管取0.001 5~0.01mm,铝管取0.001 5~0.06 mm,橡胶软管取0.03mm,铸铁管取0.25mm。
2.5.3 局部压力损失
局部压力损失,就是液体流经管道的弯头、接头、阀口,以及突然变化的截面等处时,因流速或流向发生急剧变化而在局部区域产生流动阻力所造成的压力损失。由于液流在这些局部阻碍处的流动状态相当复杂,影响因素较多,因此,除少数(比如液流流经突然扩大或突然缩小的截面时)能在理论上作一定的分析外,其他情况都必须通过实验来测定。
局部压力损失的计算公式为

式中:ζ——局部阻力系数,由实验求得,也可查阅有关手册获得;
v——液体的平均流速,一般情况下均指局部阻力下游处的流速。
但是对于阀和过滤器等液压元件,往往并不能用式(2-88)来计算其局部压力损失,因为液流情况比较复杂,难以计算。这些局部压力损失可以根据产品样本上提供的在额定流量qr下的压力损失Δpr,通过换算得到。设实际通过的流量为q,则实际的局部压力损失可用下式计算:

2.5.4 管路中总的压力损失
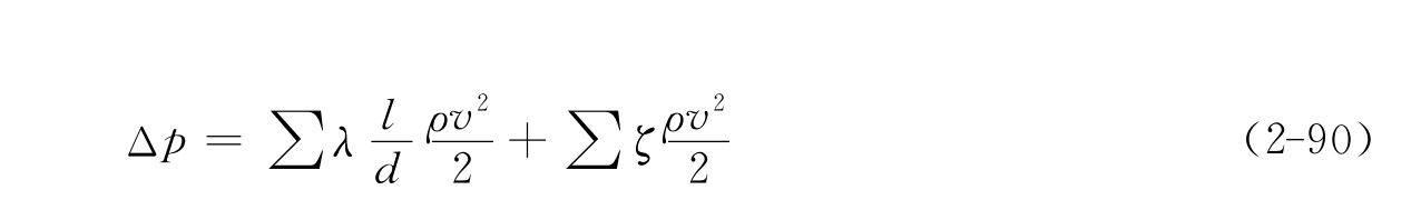
液压系统的管路由若干段直管和一些弯管、阀、过滤器、管接头等元件组成,因此,管路总的压力损失就等于所有直管中的沿程压力损失之和与所有局部压力损失之和的叠加。
即

必须指出,式(2-90)仅在两相邻局部压力损失之间的距离大于管道内径10~20倍时才是正确的。因为液流经过局部阻力区域后受到很大的扰动,要经过一段距离才能稳定下来。如果距离太短,液流还未稳定就又要经历后一个局部阻力,它所受到的扰动将更为严重,这时的阻力系数可能会比正常值大好几倍,按式(2-90)算出的压力损失值会比实际数值要小。
通常情况下,液压系统的管路并不长,所以沿程压力损失比较小,而阀、过滤器等元件的局部压力损失却较大,总的压力损失只包括局部压力损失和长管的沿程损失。
液压系统的压力损失绝大部分转换为热能,使油液温度升高、泄漏增多、传动效率降低。为了减少压力损失,常采用下列措施。
(1)尽量缩短管道,减少截面变化和管道弯曲。
(2)管道内壁尽量做得光滑,选用的油液黏度应适当。
(3)由于流速的影响较大,应将油液的流速限制在适当的范围内。
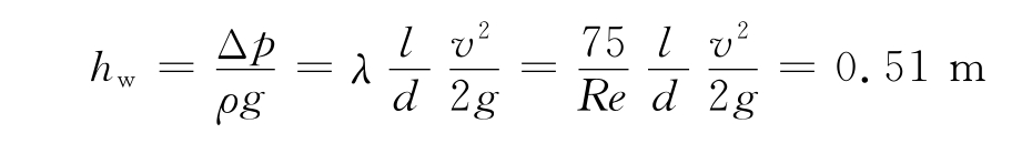
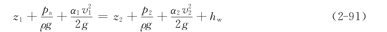
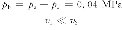
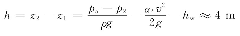
例2-6 如图2-12所示,有一液压泵,它的流量qp=25L/min,吸油管内径d=30mm,长度l=10m,油液的运动黏度ν=20×10-6 m2/s,密度ρ=900kg/m3,泵入口处的真空度pb不大于0.04MPa。求泵的吸油高度(不考虑局部压力损失)。
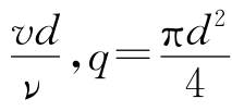
解 油液在管内的流动速度为

油液的雷诺数为


因金属管的Recr=2 320,由于Re=900<2 320,为层流,故α=2。吸油管的沿程压力损失为对截面Ⅰ—Ⅰ和截面Ⅱ—Ⅱ列伯努利方程:

因

所以
