2.4 液体动力学
本节主要讨论液体在流动时的运动规律、能量转换和流动液体对固体壁面作用力等问题。重点研究三个基本方程:连续方程、能量方程(伯努利方程)、动量方程及其应用。
在液体的动力学研究中,由于重力、惯性力、黏性摩擦力的影响,液体中不同质点的运动状态是变化的,同一质点的运动状态也随时间、空间的不同而不同,速度、压力、密度等都是时间、空间位置的函数,即u=u(x,y,z,t),p=p(x,y,z,t),ρ=ρ(x,y,z,t)。但在液压技术研究中,研究的是整个液体在空间某特定点处或特定区域内的平均运动情况。另外,液体流动的状态还与液体的温度、黏度等参数有关。为了便于分析,往往简化条件,假定温度为常量,以及不考虑惯性力、黏性摩擦力的影响。并且在研究时,通常取某一部分液体为控制体作为研究对象。
2.4.1 基本概念
1.理想液体
既无黏性又不可压缩的假想液体称为理想液体。在实际生活中,理想液体几乎是没有的。某些液体黏性很小,也只是近似于理想液体。对于液压传动的油液来说,黏性往往较大,更不能作为理想液体。但由于液体运动的复杂性,如果一开始就把所有因素都考虑在内,会使问题非常复杂。为了使问题简化,在研究中往往假设液体没有黏性,之后再考虑黏性的作用并通过实验验证等办法对理想化的结论进行补充或修正。
2.恒定流动、非恒定流动、一维流动、二维流动、三维流动
液体中任何一点的速度、压力、密度等参数都不随时间变化而变化的流动称为恒定流动。
液体中任何一点的速度、压力、密度等,有一个参数随时间变化而变化的流动称为非恒定流动。非恒定流动研究比较复杂,有些非恒定流动的液体可以近似地当做恒定流动来考虑。通常,在研究液压系统静态性能时,认为液体作恒定流动;在研究其动态性能时,则必须按非恒定流动来考虑。
液体在管道中整个地做线形流动时,称为一维流动。
液体在管道中整个地做平面流动时,称为二维流动。
液体在管道中整个地做空间流动时,称为三维流动。
一维流动在实际中很少见,一般断面用平均流速来描述时,可用一维流动来处理,然后再用实验数据修正。
3.流线、流管、流束、平行流动、缓变流动、通流截面
流线是指某一瞬时液流中一条条标志其各处质点运动状态的曲线。在流线上各点处的瞬时液流方向与该点的切线方向重合,在恒定流动状态下流线的形状不随时间变化而变化。对于非恒定流动来说,由于液流通过空间点的速度随时间变化而变化,因而流线形状也随时间变化而变化。液体中的某个质点在同一时刻只能有一个速度,所以流线不能相交,不能转折,但可相切,是一条条光滑的曲线,如图2-7(a)所示。
在流场的空间划出一任意封闭曲线,此封闭曲线本身不是流线,则经过该封闭曲线上每一点作流线,这些流线组合成一表面,称为流管,如图2-7(b)所示。
流管内的流线群称为流束,如图2-7(c)所示。流管是流束的几何外形。根据流线不会相交的性质,流线不能穿越流管表面,所以流管与真实管道相似,在恒定流动时流管与真实管道一样。如果将流管的断面无限缩小趋近于零,就获得微小流管或流束。微小流束截面上各点处的流速可以认为是相等的。流线彼此平行的流动称为平行流动。流线间的夹角很小或流线曲率半径很大的流动称为缓变流动。平行流动和缓变流动都可以算是一维流动。流束中与所有流线垂直的横截面称为通流截面,可能是平面或曲面,如图2-7(c)所示。

图2-7 流线、流管、流束和通流截面
2.4.2 连续性方程
1.流量与平均流速
流量可分为质量流量和体积流量。在液压传动中,一般把单位时间内流过某通流截面的液体体积称为流量,常用q表示,即

式中:q——流量,在液压传动中流量常用单位为m3/s或L/min;
V——液体的体积;
t——流过液体体积V所需的时间。
由于实际液体具有黏度,液体在某一通流截面流动时截面上各点的流速可能是不相等的。比如液体在管道内流动时,管壁处的流速为零,管道中心处流速最大。对微小流束而言,其通流截面dA很小,可以认为在此截面上流速是均匀的。如每点的流速均等于u,则通过其截面上的流量为

通过整个通流截面A的总流量为

即使在稳定流动时,同一通流截面内不同点处的流速大小也可能是不同的,并且在截面内的分布规律并非都是已知的,所以按式(2-26)来求流量q就有很大困难。为方便起见,在液压传动中用平均流速v来求流量,并且认为以平均流速流过通流截面A的流量与以实际流速流过通流截面A的流量相等,即


2.连续性方程
在两端通流截面面积为A1、A2的管中取一微小流束,如图2-8所示,其两端的截面面积为dA1、dA2,通过这两个微小截面的流速和密度分别为u1、ρ1和u2、ρ2,在dt时间内经过这两个通流截面的液体质量分别为ρ1u1dA1dt和ρ2u2dA2dt。
考虑到下列所述的几个因素:
(1)液流是恒定流动,所以流束形状将不随时间变化而变化;

图2-8 连续性方程推导简图
(2)不可能有液体经过微小流束的侧面流入或流出;
(3)假设液体是不可压缩的,即ρ1=ρ2=ρ,并且在液体内部不形成空隙。
在上述条件下,根据质量守恒定律,有如下关系式:

因为ρ1=ρ2,故式(2-29)可简化为

对式(2-30)等号两端进行积分,则

根据式(2-27),式(2-31)可写成


这就是液流的流量连续性方程,是质量守恒定律的另一种表示形式。式(2-34)表明,不管平均流速和液流通流截面面积沿着流程怎样变化,流过不同截面的液体流量仍然相同。在液压传动设计计算时,连续性方程可作为一个已知条件进行计算。
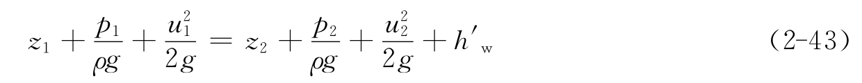
2.4.3 伯努利方程
由于在液压传动系统中是利用有压力的流动液体来传递能量的,故伯努利方程也称为能量方程,它实际上是流动液体的能量守恒定律。由于流动液体的能量问题比较复杂,为了理论上研究的方便,可把液体看成理想液体处理,然后再对实际液体进行修正,得出实际液体的能量方程。
1.理想液体的伯努利方程
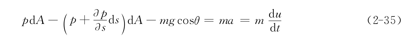
假设从理想液流中沿流束方向取出一段长度为ds、面积为dA的微元体,如图2-9所示,在一维流动情况下,作用在此微元体上的力有:两截面上所受的压力pdA和
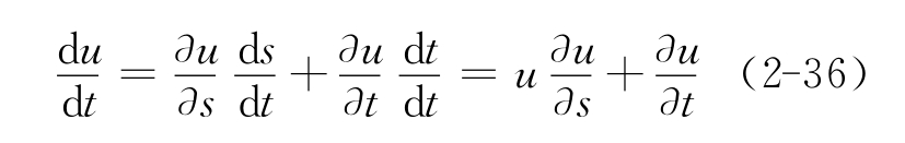
dA,它们的方向为垂直于端面的内法线方向;重力为mg。上述各力在ds方向上的分力产生加速度。由牛顿第二定律ΣF=ma得

因为速度u是时间和空间的函数,所以

图2-9 理想液体的伯努利方程推导简图

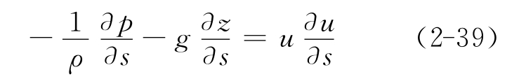
因为是恒定流动,所以
=0,式(2-36)变成

又因为

把式(2-37)、式(2-38)代入式(2-35)后整理得

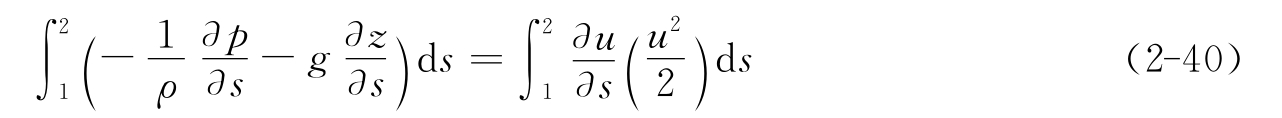
将式(2-39)沿流线s从截面1到截面2进行积分,得

式(2-40)两边同除以g,移项后整理得

因为截面1、截面2是任意取的,故上式也可写成

式(2-41)或式(2-42)就是只受重力作用的理想液体作恒定流动时的伯努利方程。
2.理想液体伯努利方程的物理本质
只受重力作用下的理想液体作恒定流动时具有压力能、位能和动能三种能量形式,在任一截面上这三种能量形式之间可以互相转换,但这三种能量在任意截面上的形式之和为一定值,即能量守恒。将z称为比位能
称为比压能
称为比动能。
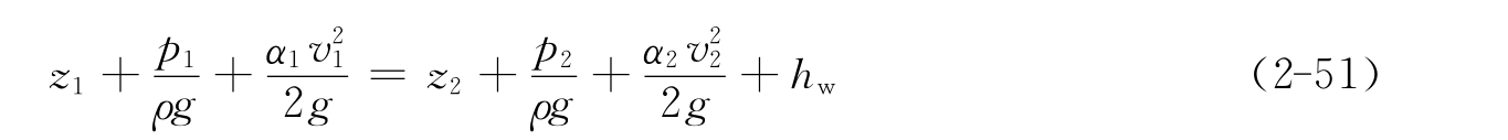
3.实际液体的伯努利方程
实际液体流动时,要克服由于黏性所产生的摩擦阻力,存在能量损失,所以当液体沿着流束方向流动时,液体的总能量在不断减少。
设h′w为图2-9中的微元体从截面1流到截面2因黏性而损耗的能量,则实际液体微小流束作恒定流动时的能量方程为

式(2-43)中的h′w常被称为阻力水头,它是单位质量的实际液体由截面1到截面2运动过程中克服阻力所做的功。
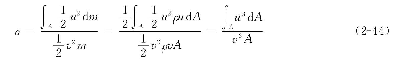
工程实际中要解决总流(即管道或其他有一定大小通流截面的液体流动)的运动情况,需要将微小流束的伯努利方程式扩展到实际液体的整个截面中去,必须应用缓变流动和动能修正系数等概念。
1)缓变流动
对于缓变流动,液体的流线几乎是平行的,液流的通流截面近似是平面。在这些通流截面上除重力外无其他质量力,因而通流截面上各点处的压力具有与液体静压力相同的分布规律,即z+
=常数。
2)动能修正系数
由于液体的黏性和液体与管壁之间的附着力的影响,当实际液体沿着管道壁流动时,接触管壁一层的流速为零;随着与管壁的距离增大,流速也逐渐增大,到管子中心达到最大流速,其实际流速呈抛物线分布规律。假设用平均流速动能来代替真实流速的动能计算,将引起一定的误差。可以用动能修正系数来纠正这一偏差。动能修正系数α是指单位时间内通流截面A处液流的实际动能和平均动能之比,即


图2-10 实际液体的能量方程推导简图
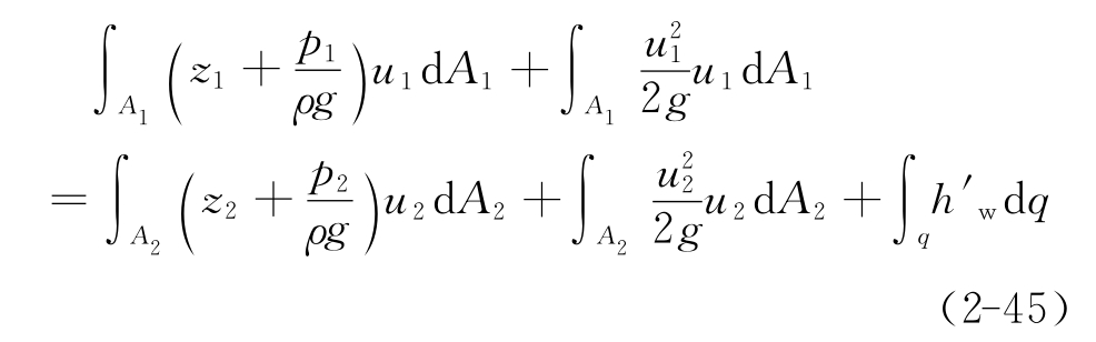
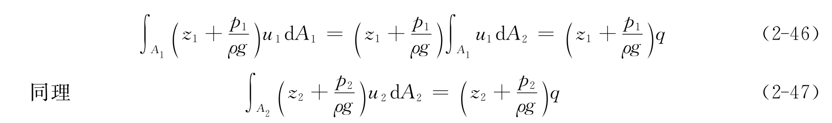
如图2-10所示,通过微流束取一流管,上、下截面分别为A1、A2,微流束两端的截面分别为dA1、dA2,两截面相应的压力、速度、离基准面的位置分别为p1、u1、z1和p2、u2、z2。将式(2-43)的两端乘以相应的微小流量dq(dq=u1dA=u2dA2),然后方程两边在A1和A2面上进行积分,得

因为z+
=常数,因此式(2-45)左右两边的第一项积分中这个常数值可从积分符号内取出来,即

将式(2-45)左右两边的第二项积分,并运用式(2-44)得

式(2-45)右边的第三项积分代表着总流中各微小流束在截面1与截面2之间的流段上能量损失的总和,直接积分比较困难。设hw代表总流量在这一流段上的单位质量液体的平均能量损失,则有

把上面计算的各式代入式(2-45),整理后可得

式中:α1、α2——截面A1、截面A2上的动能修正系数。
式(2-51)就是仅受重力作用的实际液体在流管中作平行(或缓变)流动时的能量方程,它是单位质量液体的能量守恒方程。其中hw为单位质量液体从截面A1流到截面A2过程中的能量损耗。在应用式(2-51)时必须注意以下几点。
(1)液流是只受重力作用和不可压缩的,密度在流动中保持不变。
(2)液流是恒定流动,如不是恒定流动,则要加入惯性项。
(3)选取点要取在平行流或缓变流上,至于两截面是什么流动没有关系,只影响能量损失的多少,并且z+
=常数,p和z为通流截面的同一点上的两个参数,通常把这两个参数都取在通流截面的轴心处,公式中的速度取平均速度。
(4)因为是单位质量液体的能量方程,所以有分流时,伯努利方程要分别列写,不能错误地认为总流等于各分流之和。
(5)方程两边的压力要取同一种形式,即要么都取相对压力,要么都取绝对压力。
(6)方程中的动能修正系数α,在层流时为2(可计算),在紊流时约为1(实验测定)。

图2-11 液体在截面不等的管道内作连续流动
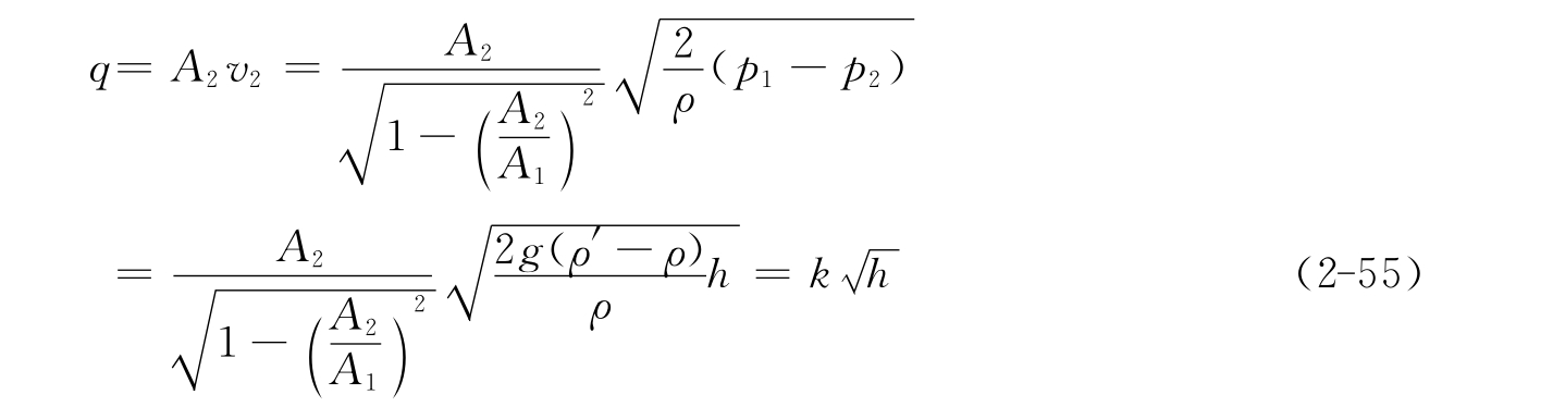
例2-2 如图2-11所示,液体在管道内作连续流动,截面1—1和截面2—2处的通流面积分别为A1和A2,在截面1—1和截面2—2处接一水银测压计,其读数差为Δh,液体密度为ρ,水银的密度为ρ′,若不考虑管路内能量损失,试求:①截面1—1和截面2—2哪一处压力大?为什么?②通过管路的流量q为多少?
解 ①截面1—1处的压力比截面2—2处大。理由如下:由伯努利方程的物理意义可知,在密闭管道中作稳定流动的理想液体的位能、动能和压力能之和是一个常数,但互相之间可以转换,因管道水平放置,位置水头(位能)相等,所以各截面的动能与压力能可以互相转换。因截面1—1的面积大于截面2—2的面积,根据连续性方程可知,截面1—1的平均速度小于截面2—2的平均速度,所以截面2—2的动能大,压力能小,截面1—1的动能小,压力能大。
②以截面1—1和截面2—2的中心为基准列出伯努利方程。
由于z1=z2=0,所以

根据连续性方程可得

U形管内的压力平衡方程为

将上述三个方程联立求解,则得


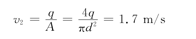
图2-12 泵从油池中吸油
例2-3 如图2-12所示,液压泵的流量q=32 L/min,吸油管通道宽d=20mm,液压泵吸油口距离液面高度h=500mm,液压泵的运动黏度ν=20×10-6 m2/s,密度ρ=900kg/m3。不计压力损失,求液压泵吸油口的真空度。
解 吸油管的平均速度为

油液运动黏度为
ν=20×10-6 m2/s=0.2cm2/s
油液在吸油管中流动的雷诺数为

由手册可查得液体在吸油管中的运动为层流状态。选取自由截面Ⅰ—Ⅰ和靠近吸油口的截面Ⅱ—Ⅱ列伯努利方程,以Ⅰ—Ⅰ截面为基准面,因此z1=0,v1≈0(截面大,油箱下降速度相对于管道流动速度要小得多),p1=pa(液面受大气压力的作用),即得如下伯努利方程

因z2=h,所以泵吸油口(Ⅱ—Ⅱ截面)的真空度为


图2-13 动量定律推导简图
2.4.4 动量方程
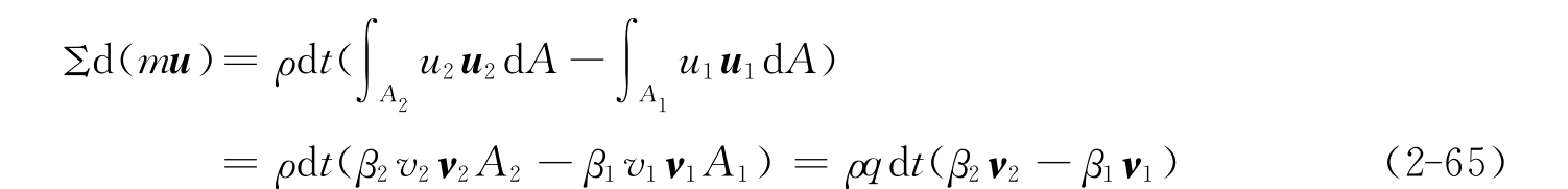
流动液体的动量方程式是用来研究液体动量变化与作用在液体上的外力之间关系的,它是动量定理在流体力学中的具体应用。动量定理认为:作用在物体上的合力的大小应等于物体在力作用方向上的动量变化率,即

如图2-13所示,设在时间t内,有一液体作稳定流动,从总流中取出一个由通流截面A1和A2围起来的控制体,A1的通流截面为1—1,A2的通流截面为2—2,在此控制体内取一微小流束,其通流截面为dA1、dA2,流速为u1、u2。过了一段时间dt后,1—2段的流束移动到1′—2′段,因此动量发生了变化。这样,动量的增量为

式中:

所以

动量的增量等于流束段2—2′与1—1′动量的矢量差。因此,通过微小流束的动量的变化可写成

根据液体的连续性方程得
q1=q2=q
则通过总流的动量差为

在计算总流的动量方程时,假设用通流截面上的平均速度来代替真实流速的动量计算,将会引起一定的误差,需采用动量修正系数β进行修正。动量修正系数β为实际动量与平均动量之比,即

所以式(2-63)可变为如下形式

式(2-65)再结合式(2-57)得

在应用式(2-66)时必须注意以下几点。
(1)选取适当的控制体。
(2)式中F、ν2、ν1均为向量,计算时应根据具体情况转化为指定方向上的投影,即列出指定方向上的动量方程。
(3)等式左边的力是作用在被研究的流体段上的所有外力,如控制体内的液体只有与固体壁面间的相互作用力,则需求作用在固体壁面上的力时,要应用作用力与反作用力。
(4)等式右边的ν2为流出的速度,ν1为流入的速度,应注意其方向。
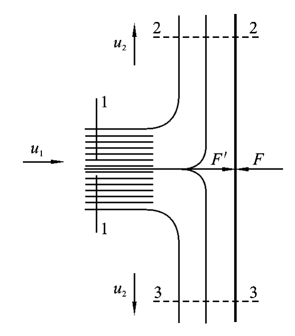
例2-4 有一股流量为q,密度为ρ的油流,以速度v1垂直射向平板,之后分为两股平行射流从平板射出,如图2-14所示。求射流对平板的作用力。
解 运用动量方程求作用力问题的关键是正确选用控制体。本题中以截面1—1、截面2—2、截面3—3所划出的区域为控制体积,这三个截面上的压力都为大气压力,相对压力为零。设平板对射流的作用力为F,方向向左,不考虑其他力的作用,由动量方程可得

因此,射流对平板的作用力F′=-F=-ρqv1,方向向右。

图2-14 射流对平板的作用力

图2-15 锥阀上的液动力
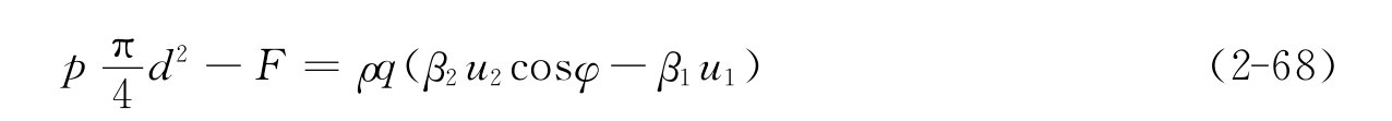
例2-5 有一锥阀,锥阀的锥角为2φ,如图2-15所示。当液体在相对压力p的作用下以流量q流经锥阀时,液流通过阀口处的速度为u2,出口处的压力为大气压。求作用在锥阀上的力的大小和方向。
解 在图2-15(a)所示的情况下,取锥阀阀芯下面的双点画线部分的液体为控制体;在图2-15(b)所示的情况下,取锥阀阀芯上面的双点画线部分的液体为控制体。设锥阀作用在控制体上的力为F,方向如图所示,沿液流方向对控制体列出动量方程。
对图2-15(a)有

取β1=β2≈1,因管道流速相对于阀口流速来说很小,即u1《u2,所以可忽略u1,故得

对图2-15(b)有

同样,取β1=β2≈1,u1《u2,忽略u1,故得

上述两种情况,液流对锥阀的作用力大小都等于F,而作用方向各自与图示方向相反。