2.3 液体静力学
液体静力学是研究液体处于静止状态下的力学规律。实际上物质世界是在不停运动的,没有绝对静止的东西。这里所谓的静止液体,是指液体宏观质点之间没有相对运动,达到了相对的平衡。在这种相对平衡状态下,液体的黏性在力学问题中不起作用。
2.3.1 液体静压力(压强)的性质和单位
作用在液体上的力有两种,即质量力和表面力。质量力是作用于液体内部任何一个质点上的力,与质量成正比,由加速度引起,如重力、惯性力、离心力等。单位质量力就是加速度,垂直方向的单位质量力就是重力加速度。表面力是作用在所研究液体的外表面上的力,与所受液体作用的表面积成正比,单位面积上作用的表面力称为应力。表面力有两种,即法向表面力和切向表面力。切向表面力与液体表面相切。流体黏性引起的内摩擦力即为切向表面力。静止液体质点间没有相对运动,不存在摩擦力,所以静止液体没有切向表面力。法向表面力总是指向液体表面的内法线方向。
单位面积上所受的法向力称为静压力。静压力在液体传动中简称压力,在物理学中称为压强。本书以后只用“压力”一词。静止液体中某点处微小面积ΔA上作用有法线力ΔF,则该点的压力定义为

若法向作用力F均匀地作用在面积ΔA上,则压力可表示为

1.压力的单位
(1)国际单位制单位 国际单位制单位为Pa(帕)、N/m2(我国法定计量单位)或MPa(兆帕),1MPa=106 Pa。
(2)工程制单位 工程制单位为kgf/cm2。国外也有用bar(巴),1bar=105 Pa。
(3)标准大气压 1标准大气压atm=101 325Pa。
(4)液体柱高度 h=p/(ρg),常用的有水柱、汞柱等,如1个标准大气压约等于10m水柱高产生的压力。
2.液体静压力的几个重要特性
(1)液体静压力的作用方向始终指向作用面的内法线方向。由于液体质点间的内聚力很小,液体不能受拉只能受压。
(2)静止液体中,任何一点所受到的各个方向的液体静压力都相等。如果在液体中某点受到各个方向的压力不等,那么,液体就要运动,这就破坏了静止的条件。所以,任意一点处的液体静压力,其大小与作用面在空间的方向无关,而与该点在空间的位置有关。
(3)在密封容器内,施加于静止液体上的压力将以等值传递到液体中所有各点,这就是帕斯卡原理,或者称为静压传递原理。
2.3.2 液体压力的表示方法
压力根据度量基准的不同有两种表示方法:以绝对零压力为基准所表示的压力,称为绝对压力;以当地大气压力为基准所表示的压力,称为相对压力。

图2-3 相对压力与绝对压力间的关系
绝大多数测压仪表,因其外部均受大气压力作用,大气压力并不能使仪表指针回转,即在大气压力下指针指在零点,所以仪表指示的压力是相对压力或表压力(指示压力),即高于大气压力的那部分压力。在液压传动中,如不特别指明,所提到的压力均为相对压力。如果某点的绝对压力比大气压力低,说明该点具有真空,把该点的绝对压力比大气压力小的那部分压力值称为真空度。绝对压力总是正的,相对压力可正可负,负的相对压力就是真空度。它们的关系如图2-3所示,可用下列式子表示:

2.3.3 静压力方程及其物理本质
1.静压力方程

图2-4 重力作用下的静止液体
在一容器中放着连续均质且绝对静止的液体,上表面受到压力p0的作用。在液体中取出一个高为h,上表面与自由液面相重合,上下底面积均为ΔA的垂直微元柱体作为研究对象,如图2-4所示。这个柱体除了在上表面受到压力p0作用,下底面上受到p作用,侧面受到垂直于液柱侧面大小相等、方向相反的液体静压力作用外,还有作用于液柱重心上的重力G,如液体的密度为ρ,则G=ρghΔA。
该微液柱在重力及周围液体的压力作用下处于平衡状态,其在垂直方向上的力平衡方程式为

式(2-13)简化后得

如上表面受到大气压力pa的作用,则

式(2-14)即为静压力基本方程。
由式(2-14)可以看出:静止液体在自重作用下任何一点的压力随着液体深度呈线性规律递增。液体中压力相等的液面称为等压面,静止液体的等压面是一水平面。
当不计自重时,液体静压力可认为是处处相等的。在一般情况下,液体自重产生的压力与液体传递压力相比要小得多,所以在液压传动中常常忽略不计。
2.静压力方程的物理本质

图2-5 静压力方程的物理本质
如将图2-5中盛有液体的容器放在xOz基准水平面上,则静压力基本方程可写成


式中:z——单位质量液体的位能,常称为位置水头;p/(ρg)——单位重力液体的压力能,常称为压力水头。
式(2-17)是液体静压力基本方程的另一种表示形式。
静压力基本方程的物理本质为:静止液体内任何一点具有位能和压力能两种能量形式,且其总和在任意位置保持不变,但两种能量形式之间可以互相转换。
2.3.4 液体静压力对固体壁面的作用力
静止液体与固体壁面接触时,固体壁面将受到由静止液体的静压力所产生的作用力。要计算这个作用力的大小,须分两种情况考虑(不计重力作用,即忽略ρgh项)。当固体壁面为平面时,作用在该平面上的静压力大小相等,方向垂直于该平面,故作用在该平面上的总力F等于液压力p与承压面积A的乘积,即

当固体壁面是曲面时,由于作用在曲面上各点的压力的作用线彼此不平行,所以求作用总力时要说明是沿哪一方向,对于任何曲面通过证明(略)可以得到如下结论:静压力在曲面某一方向上的总力F1等于压力p与曲面在该方向投影面积A1的乘积,即

下面以液压缸缸筒为例加以说明。

图2-6 静压力作用在液压缸内壁面上的力
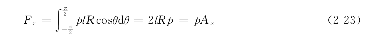
例2-1 已知有一液压缸两端封闭,缸中充满压力为p的油液,缸筒半径为R,长度为l,如图2-6所示。求在x方向上压力油作用在液压缸右半壁上的总力Fx。
解 液压力作用于整个缸筒内表面上的力是平衡的,液压力作用于内壁上各点的静压力大小相等,都为p,但方向不平行。现在液压缸壁上取一狭长条微小面积,即

压力油作用在这微小面积上的力为

dF在x方向上的分力为

压力油在x方向上作用在液压缸右半壁上的总力Fx可由式(2-22)积分后求得

上述计算结果与式(2-19)的结论完全相符。