4.2.2 新型软件体系结构
随着计算机网络技术和软件技术的发展,软件体系结构和模式也在不断地发生变化,下面介绍几种新型的软件体系结构。
1.正交软件体系结构
正交软件体系结构由组织层和线索的构件构成。层由一组具有相同抽象级别的构件构成。线索是子系统的特例,它是由完成不同层次功能的构件组成(通过相互调用来关联)的,每一条线索完成整个系统中相对独立的一部分功能。每一条线索的实现与其他线索的实现无关或关联很少,在同一层中的构件之间是不存在相互调用的。
1)正交软件体系结构的特征
如果线索是相互独立的,即不同线索中的构件之间没有相互调用,那么这个结构就是完全正交的。从以上定义可以看出,正交软件体系结构是一种以垂直线索构件族为基础的层次化结构,其基本思想是把应用系统的结构按功能的正交相关性,垂直分割为若干条线索(子系统),线索又分为几个层次,每个线索由多个具有不同层次功能和不同抽象级别的构件构成。各线索的相同层次的构件具有相同的抽象级别。因此,我们可以归纳正交软件体系结构的主要特征如下:
(1)正交软件体系结构由完成不同功能的n(n>1)条线索(子系统)组成;
(2)系统具有m(m>1)个不同抽象级别的层次;
(3)线索之间是相互独立的(正交的);
(4)系统有一个公共驱动层(一般为最高层)和公共数据结构(一般为最低层)。
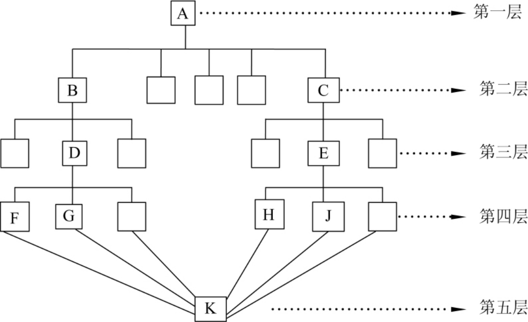
对于大型的和复杂的软件系统,其子线索(一级子线索)还可以划分为更低一级的子线索(二级子线索),形成多级正交结构。正交软件体系结构的框架如图4-1所示。
图4-1是一个三级线索(高层和最低层之间,有三级线索)、五层结构的正交软件体系结构框架图,在该图中,ABDFK组成了一条线索,ACEJK也是一条线索。因为B、C处于同一层次中,所以不允许互相调用;H、J处于同一层次中,也不允许互相调用。一般来讲,第五层的是一个物理数据库连接构件或设备构件,供整个系统公用。
在软件进化过程中,系统需求会不断发生变化。在正交软件体系结构中,因线索的正交性,每一个需求变动仅影响某一条线索,而不会涉及其他线索。这样,就把软件需求的变动局部化了,产生的影响也被限制在一定范围内,因此容易实现。

图4-1 正交软件体系结构
2)正交软件体系结构的优点
(1)结构清晰,易于理解。正交软件体系结构的形式有利于理解。由于线索功能相互独立,不允许互相调用,结构简单、清晰,构件在结构图中的位置已经说明它所实现的是哪一级抽象,担负的是什么功能。
(2)易修改,可维护性强。由于线索之间是相互独立的,所以一条线索的修改不会影响到其他线索。因此,当软件需求发生变化时,可以将新需求分解为独立的子需求,然后以线索和其中的构件为主要对象分别对各个子需求进行处理,这样软件修改就很容易实现。系统功能的增加或减少,只需相应地增删线索构件族,而不影响整个正交体系结构,因此能方便地实现结构调整。
(3)可移植性强,重用粒度大。因为正交结构可以为一个领域内的所有应用程序所共享,这些软件有着相同或类似的层次和线索,可以实现体系结构级的重用。
2.三层C/S软件体系结构
C/S软件体系结构,即Client/Server(客户机/服务器)软件体系结构,是基于资源不对等,且为实现共享而提出来的,是20世纪90年代成熟起来的技术,C/S软件体系结构将应用一分为二,服务器(后台)负责数据管理,客户机(前台)完成与用户的交互任务。
C/S软件体系结构具有强大的数据操作和事务处理能力,模型简单,易于人们理解和接受。但随着企业规模的日益扩大,软件的复杂程度也在不断提高。
1)传统的二层C/S软件体系结构存在的局限性
(1)二层C/S软件体系结构是单一服务器且以局域网为中心的,所以难以扩展至大型企业广域网或Internet。
(2)软、硬件的组合及集成能力有限。
(3)客户机的负荷太重,难以管理大量的客户机,系统的性能容易变坏。
(4)数据安全性不好。因为客户端程序可以直接访问数据库服务器,那么,在客户端计算机上的其他程序也可想办法访问数据库服务器,从而使数据库的安全性受到威胁。
2)三层C/S软件体系结构
正是因为二层C/S软件体系结构有这么多缺点,因此三层C/S软件体系结构应运而生。三层C/S软件体系结构将应用功能分成表示层、功能层和数据层三个部分,如图4-2所示。

图4-2 三层C/S软件体系结构示意图
表示层是应用用户的接口部分。它担负着用户与应用层间的对话功能,用于检查用户从键盘等输入的数据,显示应用输出的数据。为使用户能直观地进行操作,一般要使用图形用户接口,操作简单、易学易用。在变更用户接口时,只需改写显示控制和数据检查程序,而不影响其他两层。检查的内容也只限于数据的形式和取值的范围,不包括有关业务本身的处理逻辑。
功能层相当于应用的本体,它将具体的业务处理逻辑编入程序中。例如,在制作订购合同时要计算合同金额,按照定好的格式配置数据、打印订购合同,而处理所需的数据则要从表示层或数据层取得。表示层和功能层之间的数据交换要尽可能简洁。例如,用户检索数据时,要设法将有关检索要求的信息一次性地传送给功能层,而由功能层处理过的检索结果数据也一次性地传送给表示层。
通常,在功能层中包含有确认用户对应用和数据库存取权限的功能及记录系统处理日志的功能。功能层的程序多半是用可视化编程工具开发的,也有使用COBOL和C语言的。
数据层的构件就是数据库管理系统,负责管理对数据库数据的读/写。数据库管理系统必须能迅速执行大量数据的更新和检索。因此,一般从功能层传送到数据层的要求大都使用SQL语言编写。
3)三层C/S软件体系结构的解决方案
对这三层进行明确分割,并在逻辑上使其独立。原来的数据层作为数据库管理系统已经独立出来,所以关键是要将表示层和功能层分离成各自独立的程序,并且还要使这两层间的接口简洁明了。
一般情况是只将表示层配置在客户机中,如果连功能层也放在客户机中,与二层C/S软件体系结构相比,其程序的可维护性要好得多,但是其他问题并未得到解决。客户机的负荷太重,其业务处理所需的数据要从服务器传送给客户机,所以系统的性能容易变坏。
如果将功能层和数据层分别放在不同的服务器中,则服务器和服务器之间也要进行数据传送。但是,由于在这种形态中三层C/S软件体系是分别放在各自不同的硬件系统上的,所以灵活性很高,能够适应客户机数目的增加和处理负荷的变动。例如,在追加新业务处理时,可以相应增加装载功能层的服务器。因此,系统规模越大这种形态的优点就越显著。
4)三层C/S软件体系结构具有的优点
(1)允许合理地划分三层C/S软件体系结构的功能,使之在逻辑上保持相对独立性,从而使整个系统的逻辑结构更为清晰,能提高系统和软件的可维护性和可扩展性。
(2)允许更灵活、有效地选用相应的平台和硬件系统,使之在处理负荷能力上与处理特性上分别适应于结构清晰的三层C/S软件体系结构;并且这些平台和各个组成部分可以具有良好的可升级性和开放性。例如,最初用一台Unix工作站作为服务器,将数据层和功能层都配置在这台服务器上。随着业务的发展,用户数和数据量逐渐增加,这时就可以将Unix工作站作为功能层的专用服务器,另外追加一台专用于数据层的服务器。若业务进一步扩大,用户数进一步增加,则可以继续增加功能层的服务器数目,用于分割数据库。清晰、合理地分割三层C/S软件体系结构并使其独立,可以使系统构成的变更非常简单。因此,被分成三层C/S软件体系结构的应用基本上不需要修正。
(3)在三层C/S软件体系结构中,应用的各层可以并行开发,各层也可以选择各自最适合的开发语言,使之能并行而且高效地进行开发,以达到较高的性价比,对每一层的处理逻辑的开发和维护也会更容易些。
(4)允许充分利用功能层有效地隔离表示层与数据层,未授权的用户难以绕过功能层而利用数据库工具或黑客手段去非法地访问数据层,这就为严格的安全管理奠定了坚实的基础;整个系统的管理层次也更加合理和可控制。
3.C/S与B/S混合软件体系结构
C/S与B/S混合软件体系结构是一种典型的异构体系结构。
B/S软件体系结构,即Browser/Server(浏览器/服务器)软件体系结构,是随着Internet技术的兴起,对C/S软件体系结构的一种变化或者改进的结构。在B/S软件体系结构下,用户界面完全通过WWW浏览器来实现,一部分事务逻辑在前端实现,但是主要事务逻辑在服务器端实现。
B/S软件体系结构主要是利用不断成熟的WWW浏览器技术,结合浏览器的多种脚本语言,用通用浏览器就实现了原来需要复杂的专用软件才能实现的强大功能,并节约了开发成本,这是一种全新的软件体系结构。基于B/S软件体系结构的软件,其系统安装、修改和维护全在服务器端解决。用户在使用系统时,仅仅需要一个浏览器就可运行全部的模块,真正达到了“零客户端”的功能,很容易在运行时自动升级。B/S软件体系结构还提供了异种机、异种网、异种应用服务的联机、联网、统一服务的最现实的开放性基础。
但是,与C/S软件体系结构相比,B/S软件体系结构也有许多不足之处,具体如下:
(1)B/S软件体系结构缺乏对动态页面的支持能力,没有集成有效的数据库处理功能;
(2)B/S软件体系结构的系统扩展能力差,安全性难以控制;
(3)采用B/S软件体系结构的应用系统,在数据查询等响应速度上,要远远地低于C/S软件体系结构;
(4)B/S软件体系结构的数据提交一般以页面为单位,数据的动态交互性不强,不利于在线事务处理(OLTP)的应用。
从上面的对比分析中,我们可以看出,传统的C/S软件体系结构并非一无是处,而新兴的B/S软件体系结构也并非十全十美。由于C/S软件体系结构根深蒂固,技术成熟,原来的很多软件系统都是建立在C/S软件体系结构基础上的,因此B/S软件体系结构要想在软件开发中起主导作用,要走的路还很长。我们认为,C/S软件体系结构与B/S软件体系结构还将长期共存。
例如,在实现变电站信息管理系统解决方案中,就使用了C/S与B/S混合软件体系结构的方式,其结构如图4-3所示。

图4-3 C/S与B/S混合软件体系结构
变电站内部用户通过局域网直接访问数据库服务器,外部用户(包括县调、地调和省调的用户及普通Internet用户)通过Internet访问Web服务器,再通过Web服务器访问数据库服务器。该解决方案把B/S软件体系结构和C/S软件体系结构进行了有机的结合,扬长避短,有效地发挥了各自的优势。同时,因外部用户只需一台接入Internet的计算机,就可以通过Internet查询运行、生产、管理情况,无须做太大的投入和复杂的设置。这样也方便所属电力局及时了解各变电站的运行、生产、管理情况,对各变电站的运行、生产、管理进行宏观调控。
C/S与B/S混合软件体系结构的优点是外部用户不直接访问数据库服务器,能保证企业数据库的相对安全。企业内部用户的交互性较强,数据查询和修改的响应速度较快。
C/S与B/S混合软件体系结构的缺点是企业外部用户修改和维护数据时,速度较慢,较烦琐,数据的动态交互性不强。