实例一 HXL油田J45块产能开发建设项目经济评价
一、项目概况
该项目是东北某地一个油田。J45块构造处于辽河断陷盆地西部凹陷西斜坡HXL单斜构造的第二断陷带上,主要开采目的层为沙一段、沙二段的于楼油层和兴隆台油层。该油田于2006年开始钻探。目前,整个断块的含油面积为9.0km2,地质储量5697万吨。总体开发规划采用反九点法井网、118m井距、蒸汽吞吐开采。兴隆台油层51个井组采用非混相驱(注氮气+化学驱+热水驱)开发。
二、基础数据
(一)油田开发基础数据
该项目评价期15年,其中建设期3年,生产期12年。根据总体规划方案,J45断块日产油3164吨/天,年产油114.9498万吨,综合含水71.35%,采油速度2.02%,采出程度20.12%。新钻井数903口,平均井深1150m。根据总体规划方案,预测开发指标(表10-1-1)。
表10-1-1 J45块开发指标预测表

(二)经济参数
1.投资与资金筹措
该项目所需建设投资包括工程投资、预备费和其他费用。工程投资包括钻井工程、采油工程和地面工程。钻井工程投资中,平均单井进尺1150m,钻井单位成本按1450元/m来测算。新井的平均采油工程投资为20万元/井。新井的平均单井地面工程投资为50万元/井。第一年钻井383口,第二年钻井407口,第三年钻井113口。预备费率按国家、石油行业、中国石化石油专业工程定额有关规定的比率执行。基本预备费率12%,涨价预备费率6%。其他费用中,固定资产其他费用为2137.85万元,无形资产费用为1282.71万元,其他资产费用为855.14万元。流动资金按照扩大指标法估算,取正常生产年经营成本的25%。
该项目所需建设投资中,30%来源于自筹资金,70%来源于银行贷款,按5年贷款利率6.40%计算。流动资金30%自筹,70%来源于贷款,贷款年利率为6.00%。
2.成本费用
该项目的总成本费用包括操作成本、折旧费和期间费。
(1)操作成本。根据该油田实际发生值及相近油田参考值,确定该项目开采成本取值(表10-1-2)。
表10-1-2 操作成本项目定额表

(2)折旧费。折旧费取固定资产金额按直线法进行计算,固定资产的折旧年限为6年,残值率为3%。固定资产包括工程费用、固定资产其他费用、预备费和建设期利息。建设投资进项税不形成固定资产。
(3)期间费。根据相关规定,确定期间费的项目及定额值(表10-1-3)。
表10-1-3 期间费项目定额表

3.原油价格
该项目商品率为93%,原油不含税价格为2290元/吨。评价期内不考虑原油价格的上涨。
4.税金
该项目缴纳的营业税金及附加包括城乡建设维护税、教育费附加和资源税。城市维护建设税按增值税额的7%计征,教育费附加按增值税额的3%计征,资源税按销售收入的5%的税率征收。增值税率为17%。建设投资为含税价,建设投资中购进设备需要估算建设投资进项税,本项目按建设投资的100%比例进行估算。建设投资中的增值税不形成油气资产。所得税率为25%。
5.利润分配
该项目除按可供利润分配的10%提取盈余公积金外,其余为未分配利润(用于还款利润包括在内)。还清借款后,未分配利润转入分配。
三、财务评价基准参数
(1)基准收益率。油气田开发建设项目基准收益率定为15%。
(2)基准投资回收期。油气田开发项目基准投资回收期一般不超过6年。
(3)项目总投资收益率和项目资本金净利润率,目前暂取80%。
(4)利息备付率、偿债备付率。利息备付率应大于2,偿债备付率应大于1.3。
四、财务经济评价
(一)经济参数估算
1.投资估算与资金筹措
油田开发建设项目总投资是油田基本建设过程中物资资料和劳动消耗总和的价值表现,也是重要的经济指标之一,主要包括建设投资、建设期利息和流动资金。
1)建设投资估算
建设投资包括工程费用、工程建设其他费用和预备费用。
(1)工程费用投资估算。油气田勘探开发建设项目工程费用投资包括钻井工程投资、采油工程投资以及地面工程投资。J45块开发调整方案钻井工程投资为150575.25万元。采油工程投资包括完井、采油举升工艺、注汽工艺、防砂工艺、酸洗、降黏和投产作业等费用。根据J45块新投产油井的投资情况,经过测算,新井的平均单井采油工程投资为20万元/井。经估算,采油工程投资为18060.00万元。地面工程投资主要包括油气集输工程、注水注氮工程、供电工程、通讯工程、道路桥梁等投资。根据J45块新投产油井的投资情况,经过测算,新井的平均单井地面工程投资为50万元/井。经过计算,地面工程投资为45150.00万元。工程费用总和为213785.25万元。
(2)工程建设其他费用。工程建设其他费用是指在工程建设投资中支付的,除设备购置费、安装工程费及建筑工程费用以外的其他固定资产费用、无形资产和其他资产费用。按照相关规定和可能发生的费用取值计算,该项目其他固定资产费用为2137.85万元,无形资产费用为1282.71万元,其他资产费用为855.14万元。
(3)预备费。预备费用包括基本预备费和涨价预备费。基本预备费取工程费用投资和其他费用之和的12%,该项目为26167.31万元。
涨价预备费以工程费用为计算基础,建设期物价年上涨率6%,计算公式为:

该项目的涨价预备费为22460.47万元。总的预备费为48 627.79万元。
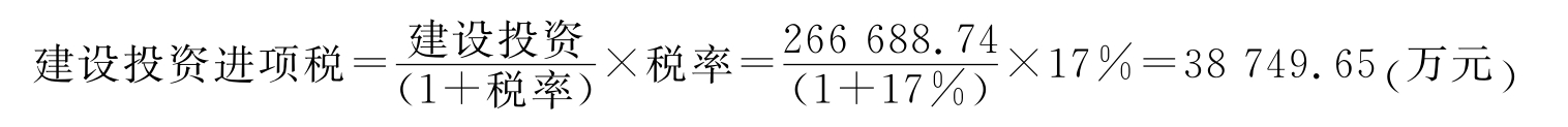
J45块产能开发建设项目建设投资总额为266688.74万元,其中含建设投资进项税为38749.65万元(建设投资进项税在生产期间通过销项税返还)。

固定资产=建设投资-建设投资进项税-无形资产-其他资产投资+建设期利息
=266688.74-38749.65-1282.71-855.14+22325.21=248126.46(万元)
本项目形成的固定资产为248126.46万元(附表10-1-1)。
2)资金筹措与建设期利息
根据目前资金筹措结构,开发建设投资的30%来源于自筹资金,而投资的70%来源于银行贷款,按5年贷款利率6.40%,以复利法计息,应用年中法计算,当年偿还利息。计算公式为:

各年应计利息=(年初借款本金累计+本年借款额/2)×有效年利率
第一年应计利息=(0+79179.68/2)×6.4%=2533.75(万元)
第二年应计利息=(81713.43+84141.33/2)×6.4%=7922.18(万元)
第三年应计利息=(81713.43+84114.33+23361.11/2)×6.4%=11869.28(万元)
建设期利息=2533.75+7922.18+11869.28=22325.21(万元)
计算得到J45块开发调整方案建设期利息为22325.21万元。
3)流动资金
此次开发方案评价流动资金按扩大指标估算法估算,即按年经营成本的25%估算,流动资金贷款比例为70%,贷款年利率为6.00%。经测算,方案的流动资金为12217.77万元。
4)总投资
项目总投资=建设投资+建设期利息+流动资金
=266688.74+22325.21+12217.77=301231.72(万元)
估算J45块产能开发项目总投资额为301231.72万元(附表10-1-1)。项目总投资计划与资金筹措见附表10-1-2。
2.成本费用估算
根据该项目需要分别做了借款还本付息表(附表10-1-3),通过借款还本付息表估算财务费用为38069.33万元;折旧与摊销计算表(附表10-1-4),通过折旧与摊销表估算固定资产折旧费为240682.68万元;油气操作成本表(附表10-1-5),通过油气操作成本表估算油气操作成本为475385.47万元,单位油气操作成本为560.84元/吨;总成本费用估算表(附表10-1-6),通过总成本费用表估算生产成本为716068.14万元,单位生产成本为844.78元/吨;总成本费用为867342.58万元。
通过估算从图10-1-1中可以看出,从第4年开始生产,在第4~9年期间,由于需要计算折旧、摊销等,使得单位总成本升高。从第9年开始,计提折旧费结束,单位总成本开始下降。第10年原油产量逐渐下降,含水不断上升,单位成本开始增加。第12年以后,产量开始缓慢递减,成本也开始呈现大致上涨趋势。
3.营业收入、税金及附加估算
1)营业收入的估算
该项目累计产油量为847.634万吨,商品率为93%,原油不含税价格为2290元/吨,营业收入为1805206.13万元(附表10-1-7)。
2)营业税金及附加估算
(1)增值税。根据国家规定,石油增值税税率为17%。其计算方法:
增值税=销项税-进项税

图10-1-1 单位成本变化曲线图
其中:进项税包括建设投资中的进项税和生产成本中的进项税,当期不能抵扣的进项税进入下期抵扣。项目的累积增值税额为233755.31万元。
(2)城乡维护建设税。根据国家规定,城市维护建设税以增值税为计税依据,该项目税率为7%。项目的累积城乡建设税额为16362.87万元。
(3)教育费附加。根据国家规定,教育费附加按增值税为计征基础,税率为3%。项目的累计教育费附加额为7012.66万元。
(4)资源税。根据国家规定,油气田的资源税按营业额的5%~10%计取。该项目的资源税按营业额的5%计取。项目的累计资源税为90 260.31万元。
该项目的营业税金及附加包括城市建设维护税、教育费附加和资源税3部分。项目的累计营业税金及附加为113635.84万元(附表10-1-7)。
4.利润总额
利润总额及分配估算见附表10-1-8的利润与利润分配表。该项目利润总额为1043496.53万元,所得税为260874.13万元,税后利润为782622.39万元。
(二)财务盈利能力分析
1.项目投资盈利能力分析
根据项目投资现金流量表(附表10-1-9)计算得到项目的主要财务评价指标(表10-1-4)。
从表10-1-4可看出,在评价油价为2290元/吨的条件下,项目的税前财务内部收益率为29.23%,税后财务内部收益率为23.33%,均大于行业内部收益率15%。项目的税前财务净现值为174400.52万元,税后财务净现值为91310.74万元,均大于零。表明项目除能满足行业最低要求外,还有超额盈余,该项目在财务上是可以考虑接受的。
表10-1-4 项目主要财务评价指标计算表

项目的税前静态投资回收期为5.01年,税后投资回收期为5.44年,均小于行业基准值6年。项目能满足行业要求,能较快地收回投资,投资风险较小,表明项目投资能按时收回。
全部投资的累计现金流量图如图10-1-2所示。以时间为横轴,税前和税后的累计净现金流量和累计净现值为纵轴,绘制项目评价期内全部投资现金流量曲线。从图10-1-2中可以看出,项目第1年开始建设,累计现金流为负值。第4年建成投产,项目的累计现金流量曲线快速上升,项目在第5年投资全部回收。在项目开发后期,随着原油产量逐渐降低,项目累计净现金流量曲线上升幅度趋缓。

图10-1-2 项目税前和税后的现金流量曲线图
2.项目资本金盈利分析
根据项目资本金现金流量表(附表10-1-10)、计算得到项目资本金财务内部收益率为37.74%,高于企业的内部收益率23.33%,大于石油行业内部收益率15%,表明在总投资中采用借款可以使企业获得更好的经济效果,因为债务比越高,财务杠杆效益越高,项目资本金的经济效果变得越好。项目资本金投资的效果一部分来自项目资本金本身,另一部分来自债务资金。
3.投资收益率分析
根据利润与利润分配表(附表10-1-8)和投资估算表(附表10-1-1),计算项目的总投资收益率为29.92%,资本金净利润为21.65%,总投资收益率和资本金净利润未能满足石油行业总体水平,不能作为项目是否达到石油行业最低要求的评价判据。
(二)偿债能力分析
偿债能力分析是通过借款还本付息计算表(附表10-1-3)的计算,考察项目计算期内各年的财务状况及偿债能力,并计算利息备付率为439.13%,大于2,偿债备付率为8818.46%,大于1.3。本项目具备一定的偿债能力。
(三)财务生存能力分析
由财务计划现金流量表(附表10-1-11)可以看出,用项目筹措的资金和项目的净收益足可以支付各项支出,不需要用短期借款即可保证资金收支相抵有余。各年的累计盈余资金均大于零,可满足项目资金运行要求,以实现财务可持续性。
(四)不确定性分析
该项目的不确定性分析主要进行敏感性分析、基准平衡分析和盈亏平衡分析。
1.敏感性分析
该项目做了所得税后全部投资的敏感性分析,该项目选财务内部收益率和财务净现值为敏感性分析的经济效果指标,基本方案财务内部收益率为23.33%,财务净现值为9.13亿元,均满足行业要求。考虑项目实施过程中一些不确定因素的变化,分别对价格、产量、建设投资、经营成本的单因素变化对财务内部收益率和财务净现值的敏感性分析,敏感性分析见表10-1-5。
表10-1-5 J45块开发方案敏感性分析表

从表10-1-5可看出,各因素的变化都不同程度地影响财务内部收益率,其中价格的波动最为敏感,其次依次为产量、经营成本,建设投资相对最不敏感,敏感性分析见图10-1-3。

图10-1-3 J45块开发方案内部收益率敏感性分析图
从图10-1-3中可以看出,原油价格和产量对基本方案内部收益率的影响曲线与财务基准收益率的交点(临界点),当原油价格下降20.68%或者累计产油量减少25.03%,项目的内部收益率才低于基准收益率水平,项目就不能满足石油行业基准要求,说明该项目评价期内抗风险能力一般。
2.基准平衡分析
本次评价对影响项目收益率的主要敏感因素即价格、产量、投资和成本进行了基准平衡分析(表10-1-6),该项目原油价格和产量均高于基准平衡点,经营成本和建设投资均低于基准平衡点,说明项目的效益较好。
表10-1-6 单因素变化的基准平衡值


3.盈亏平衡分析
利用生产能力利用率表示的盈亏平衡点(BEP)进行盈亏平衡分析。
该项目在第5年达到设计生产能力,此时年固定成本为77170.20万元,可变成本为46980.52万元,年营业收入为226979.17万元,年营业税金及附加为14211.85万元。根据计算生产能力利用率盈亏平衡点如下:即该项目只要达到设计规模的46.55%,也就是当年产量达到49.61万吨时,企业就可以保本,故该项目风险较小(图10-1-4)。

图10-1-4 J45块开发方案盈亏平衡图
五、结论与建议
从上述财务评价看,财务内部收益率高于石油行业基准收益率,财务净现值大于零,投资回收期小于石油行业基准投资回收期,借款偿还能满足贷款机构的要求,从敏感性分析、盈亏平衡分析看,项目具有一定的抗风险能力,因此项目从财务上讲是可行的。
另外,该区块储量丰富地区构造不太复杂,开发条件好。财务评价各项指标均属可行。从社会效益看,该油田的开发对发展当地经济具有深远的意义。
综上所述,该开发方案是可行的,对国家和地区的经济发展是有利的。
由于项目对油价最为敏感,国内原油的价格又受国际市场的影响不断波动,如果国际油价降低到低于1816.4元/吨时,建议国家在税收、贷款等方面给该地区以适当优惠政策,使之更好地发展本地优势,持续发展本地经济。针对该区块,努力提高产量也是至关重要的。其次还需要尽量降低投资,并在生产中节约开支、降低成本,使J45块开发既具有较高的开发效益,又有较好的经济效益。
附表10-1-1 项目总投资估算表

附表10-1-2 项目总投资计划与资金筹措表










