第二节 盈亏平衡分析
盈亏平衡分析又称量、本、利分析。它是根据产品产量或销售量、成本和利润三者之间相互依存关系进行综合分析,用以预测产品产量、成本等因素变化时对项目盈亏的影响,研究拟建项目成本费用与收益的平衡关系的方法。通过盈亏平衡分析,可以确定盈亏平衡点。项目盈利与损失有个转折点,称为盈亏平衡点,用BEP表示。在这一点上,营业收入等于总成本费用,项目刚好盈亏平衡。盈亏平衡分析就是要找出盈亏平衡点,通常根据项目正常生产年份产品产销量、固定成本、可变成本、产品销售价格及营业税金等数据进行计算,从而确定工程项目最佳的生产和运营方案,确定工程项目最佳的建设规模。盈亏平衡点越低,项目盈利的可能性就越大,造成亏损的可能性就越小。
根据总成本费用、营业收入与产量(销售量)之间是否呈线性关系,盈亏平衡分析可分为线性盈亏平衡分析和非线性盈亏平衡分析,在这里主要介绍线性盈亏平衡分析。
一、线性盈亏平衡分析
采用线性盈亏平衡分析,对产品销售量、产品价格、成本必须满足下列条件:①产量等于销售量,即当年生产的产品或服务当年销售出去;②当产量变化时,单位可变成本不变,则总可变成本是产量的线性函数;③当产量变化时,销售价格不变,则营业收入是销售量的线性函数;④按单一产品计算,当生产多种产品,应换算为单一产品。
目前,盈亏平衡分析的理论和方法已经有较大的发展。这里主要介绍单方案盈亏平衡分析和多方案盈亏平衡分析。
(一)单方案线性盈亏平衡分析
1.营业收入、成本费用与产品产量的关系
为了进行盈亏平衡分析,必须将总成本费用分为固定成本和可变成本,这是线性盈亏平衡分析的关键。在满足上述4个假定的条件下,企业的产品成本费用和营业收入是产量的线性函数。即有:
总成本费用为:CT=CF+CV=CF+CvQ (5-1)
营业收入为:S=PQ(1-r′) (5-2)
利润总额为:R=S-CT=PQ(1-r′)-CF-CvQ (5-3)
式中:CT为年总成本费用;CF为年总固定成本;CV为年总可变成本;Cv为单位产品的可变成本;S为扣除税金后的营业收入;Q为年总产量;P为单位产品价格(不含税);r′为营业税率;R为利润。
当盈亏平衡时,收入与支出相等(R=0),即税后营业收入(S)等于总成本费用(CT)。即:
CF+CvQ=PQ(1-r′) (5-4)
2.盈亏平衡点的确定
1)图解法
将式(5-1)与式(5-2)在同一坐标图上表示出来,可以构成线性盈亏平衡分析图(量-本-利分析图),如图5-1所示。盈亏平衡点可以通过作图求出。

图5-1 线性盈亏平衡图
图5-1中纵坐标表示营业收入与成本费用,横坐标表示产品产量。营业收入线(S)与总成本线(CT)的交点称盈亏平衡点(简称BEP),也就是项目盈利与亏损的临界点。在BEP的左边,总成本大于营业收入,项目亏损;在BEP的右边,营业收入大于总成本,项目盈利;在BEP点上,项目不亏不盈。
盈亏平衡点(BEP)对应的产量为盈亏平衡时的产量(BEPQ)。当Q=BEPQ时,S=CT,R=0,这时处于盈亏平衡状态;当Q>BEPQ时,S>CT,R>0,这时处于盈利状态;当Q<BEPQ时,S<CT,R<0,这时处于亏损状态。
2)解析法
在营业收入及总成本都与产量呈线性关系的情况下,可以很方便地用解析方法求出以产品产量、生产能力利用率、产品销售价格、单位产品变动成本等表示的盈亏平衡点。
(1)盈亏平衡点的产量(BEPQ)。在产品的价格、固定成本、单位变动成本已知的条件下,可以求出盈亏平衡点的产量为:

式中:r为单位产品税金(r=P×r′)。
(2)盈亏平衡点的营业收入(BEPS)。当确定产品的价格时,根据盈亏平衡时的产量,可以求出盈亏平衡时的营业收入。即:
BEPS=BEPQ·P (5-6)
(3)生产能力利用率(BEPn)。生产能力利用率的盈亏平衡是指项目不发生亏损时生产能力利用率的最低限度。若盈亏平衡点用设计的生产能力百分比可表示为:

式中:Q0为设计生产能力。
(4)盈亏平衡点的销售价格(BEPP)。若按项目设计能力进行生产和销售,则盈亏平衡点的销售价格为:

(5)盈亏平衡点的单位产品变动成本(BEPCv)。若在设计能力进行生产和销售,且销售价格已定,则盈亏平衡点的单位产品变动成本为:

3.风险评价
盈亏平衡点越低,表明项目适应市场变化的能力越大,抗风险能力越强;反之,抗风险能力越差。多方案比较时,选择盈亏平衡点低的方案。
盈亏平衡时的生产能力利用率又称经营风险率,此值越高,风险越大;反之,风险越小。与经营风险率相对应的指标称作经营安全率。计算公式为:

经营安全率越大,表明企业生产经营状况越好,拟建项目越安全可靠。相反,经营安全率的数值低于15%或很小的数值,说明企业已发生亏损或已接近亏损。企业的经营情况可以参考表5-1的数值判断。
表5-1 经营安全率

【例5-1】 某石油化工项目年设计生产某产品3.5万吨,单位产品售价7000元,生产总成本为8800万元,其中固定成本为4500万元,总变动成本与产品产量成正比,单位产品税金为500元,试求盈亏平衡点。
【解】 (1)求盈亏平衡点。
首先计算单位产品变动成本:


(2)进行经济评价。通过计算盈亏平衡点,结合市场预测,可以对该石油化工项目的方案发生亏损的可能性作出大致判断。如果未来的产品销售价格及生产成本与预期值相同,项目不发生亏损的条件是年销售量不能低于8537吨,生产能力利用率不能低于24.4%;如果按设计能力进行生产并能全部销售,生产成本与期望值相同,项目不发生亏损的条件是产品价格不低于3014元/吨;如果销售量、产品价格与预期值相同,项目不发生亏损的条件是单位产品变动成本不高于5214元/吨。经营安全率为75.6%,说明企业生产经营状况很好,该项目安全可靠。
(二)多方案盈亏平衡分析
石油工业技术经济所研究的问题主要是多方案的分析、比较和选择。若某些排他型方案是某一个共有的不确定性因素影响这些方案的舍取,可以采用盈亏平衡分析方法帮助投资者作出正确决策。
设两个方案的经济效果都受某不确定性因素x的影响,我们可以把x看作一个变量,把两个方案的经济效果指标都表示为x的函数:
E1=f1(x)
E2=f2(x)
式中:E1和E2分别为方案1和方案2的经济效果指标,当两个方案的经济效果相等时,则有:
f1(x)=f2(x)解出使这个方程式成立的x值,即为方案1和方案2的盈亏平衡点,也就是决定这两个方案孰优孰劣的临界点。结合对不确定因素x未来取值范围的预测,就可以作出相应的决策。
【例5-2】 建设某石油工程项目有3种方案:
第一种方案,从国外引进,固定成本800万元,单位可变成本为10万元。
第二种方案,采用一般国产自动化装置,固定成本为500万元,单位可变成本为12万元。
第三种方案,采用自动化程度较低的国产设备,固定成本为300万元,单位可变成本为15万元。
试比较不同生产规模下的方案选择。

图5-2 3个方案的年总成本函数曲线盈亏分析图
【解】 各方案年总成本均可表示为产量Q的函数:
CT1=CF1+Cv1Q=800+10Q
CT2=CF2+Cv2Q=500+12Q
CT3=CF3+Cv3Q=300+15Q
可以看出3个方案的总成本都是产量单一的函数。各方案的总成本曲线见图5-2。
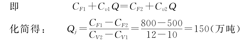
由图5-2可以看出,3个方案的年总成本函数曲线两两相交于i、k、j三个交点。其中,i、j两点将最低成本线分为3段。各个交点所对应的产量就是相应的两个方案的盈亏平衡点。Qi是方案2与方案3的盈亏平衡点下的产量,Qj是方案1与方案2的盈亏平衡点下的产量。显然:当Q<Qi时,第三种方案的年总成本最低;当Qi<Q<Qj时,第二种方案的年总成本最低;当Q>Qj时,第一种方案的年总成本最低。
因此,i点即为第三种方案和第二种方案的盈亏平衡点,j点为第二种方案和第一种方案的盈亏平衡点。各盈亏平衡点计算如下。
对i点,当Q=Qi时,则:
CT2=CT3
即
CF2+Cv2Q=CF3+Cv3Q

对j点,当Q=Qj时,则:
CT1=CT2

由此可见,当预期产量低于66.7万吨时,应采用第三种方案;当预期产量在66.7万吨至150万吨之间时,应采用第二种方案;当预期产量高于150万吨时,应当采用第一种方案。
在上例中,我们是用产量作为盈亏平衡分析的共有变量,根据年总成本费用的高低判断方案的优劣。在各种不同的情况下,根据实际需要,也可以用投资额、产品价格、经营成本、贷款利率、项目寿命期、期末固定资产残值等作为盈亏平衡分析的共有变量,用净现值、净年值、内部收益率等作为衡量方案经济效果的评价指标。
【例5-3】 某石油企业为加工一种产品,有A、B两种设备供选用,两台设备及加工费如表5-2所示。
表5-2 A、B设备的投资及加工费情况表

试问:
(1)若折现率为12%,使用年限均为8年,问每年产量为多少时选用A设备有利?
(2)若折现率为12%,年产量均为13 000件,则设备使用年限多长时选用A设备有利?
【解】 (1)此问求A、B两设备的产量盈亏平衡点。设产量Q为变量,考虑资金时间价值后,以总成本费用现值为经济效果指标。
(CT)PCA=2000×104+800(P/A,12%,8)Q
(CT)PCB=3000×104+600(P/A,12%,8)Q
当(CT)PCA=(CT)PCB时,则有:
2000×104+800(P/A,12%,8)Q=3000×104+600(P/A,12%,8)Q

图5-3 A、B两设备盈亏平衡分析图
解得:Q=10065(件/年)
当产量小于10065件/年时,选A设备有利,总成本曲线如图5-3所示。
(2)此问所需求解的不确定因素是设备使用年限。设使用年限n为变量,考虑资金时间价值后,以费用现值为经济效果指标。
PCA=2000×104+800(P/A,12%,n)
PCB=3000×104+600(P/A,12%,n)
当PCA=PCB时,则有:
2000×104+800 P/A,12%,()n×1.3=3000×104+600(P/A,12%,n)×1.3
解得: n=5.46(年)
当设备的使用年限小于5.46年,选用A设备有利。
二、基准平衡分析
基准平衡分析是指其他因素不变,当某一因素单独变化时,反算(目标寻求)项目的财务内部收益率等于基准收益率(15%)时产品的价格、产量、投资和经营成本,称该单因素的变化值为基准平衡点。它是以动态方法,即以现金流量模型的财务内部收益率表达式反算求得。

令IRR=i0,按现金流量表中现金流入与现金流出的各构成项目将表达式展开,可分别得到基准平衡价格或基准平衡产量的计算公式。
处于基准平衡点时的财务盈利能力为项目获得的最低财务盈利水平。当项目产品价格或产量高于基准平衡点时,或者投资和成本低于基准平衡值时,项目的效益将更好。
三、盈亏平衡分析的优缺点及注意的问题
盈亏平衡分析具有以下优点。
(1)分析简单明了。只要对项目的产量、售价、成本等因素进行分析,就可以了解项目产品对市场的适应程度及项目可能承担风险的程度。
(2)盈亏平衡分析除了有助于确定项目的合理生产规模外,还可以帮助项目规划者对由于设备不同引起生产能力不同的方案,以及工艺流程不同的方案进行投资抉择。设备生产能力的变化,会引起成本的变化;同样,工艺流程的变化则会影响到单位产品的可变成本。通过对方案的BEP值计算,可以为方案抉择提供有用的信息。
盈亏平衡分析的缺点是:由于它是建立在生产量等于销售量的基础上,即生产的产品全部销售无积压;此外分析所用的数据是某一正常年份的数据。所以盈亏平衡分析不能代表整个生产寿命期的经营过程,也很难得到一个全面的结论。
尽管盈亏平衡分析有上述缺点,但由于它计算简单,可直接对项目的关键因素进行分析。因此仍然被作为项目不确定性分析的一种方法。
由于财务制度的改革,采用了新的总成本费用估算方法,使项目在达产后年份产量固定而总成本费用却不一定相同。这是因为:①新的方法允许固定资产采用加速折旧法,无形资产和递延资产可能采用不同的年限摊销,导致各年的折旧费和摊销费数额不尽相同;②生产期的借款利息计入当年总成本费用中的财务费用,而随着借款的偿还,利息逐年减少。这样,按不同年份的成本费用进行盈亏平衡分析就可能会出现不同的盈亏平衡点。为此,建议选取固定成本最高的年份来进行盈亏平衡分析。这样求出的盈亏平衡点是最高的。以此进行盈亏平衡分析对预测项目风险最具有意义。
四、盈亏平衡分析在油气田生产中的应用例举
案例1 确定单井经济极限含水率
盈亏平衡分析法在油气田生产当中已得到广泛应用。特别是油气田开发过程中,各种经济极限的分析,如开发经济年限、经济采收率、经济极限含水率等,对指导生产,提高经济效益起到了巨大作用。
这里我们仅以单井采油经济极限含水率分析为例说明其应用。
现阶段,我国某些油田已处于中后期开采阶段,都已进入高含水和特高含水采油期。有的油田含水已高达90%以上,甚至95%以上,最高者已达98%以上。随着含水率的升高,开发投资及生产费用的增长速度也会不断加快,如何把握油井含水的经济极限,注重研究那些高含水低效井的增产措施,以期提高整个油田的经济效益是一个十分重要的问题。
所谓经济极限含水,是指油井开发到一定阶段,其含水达到某一数值时,投入和产出相抵,若含水继续升高,不仅没有利润,反而亏损。此时,油井的含水称为经济极限含水,其含水率称为经济极限含水率。
开发单井采用经济极限含水率分析的应用软件,就是根据采油各项费用求出经济极限含水率后,与正在生产的油井实际含水率进行对比,分析此油井是否继续生产或关停,以提高整个油田的经济效益。
1.基本原理
经济极限含水率分析的基本原理是盈亏平衡原理。即营业收入等于总成本时的含水率就是经济极限含水率。
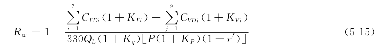
根据式(5-4),可建立单井投入产出盈亏平衡分析模型,如下式:
330QL(1-Rw)P(1-r′)=CFD+CVD (5-11)
整理得:
式中:P为油价(元/吨);CFD为单井年固定成本(元);CVD为单井年变动成本(元);Rw为经济极限含水率;QL为单井日产液量(吨);330为单井年生产天数(天)。
从式(5-12)可看出:油价等于吨油成本,此时的含水率即为经济极限含水率,即:

2.原油成本分类
原油成本是指油田在采油过程中消耗的一切活劳动和物化劳动的总和。按经济用途分为直接材料、直接燃料、直接动力、直接生产人员工资、驱油物注入费、井下作业费、测井试井费、维护及修理费、折旧费、稠油热采费、轻烃回收费、油气处理费、天然气净化费、运输费、其他直接费、厂矿管理费共计16项。根据原油成本中各项费用和产量之间的关系,可将原油成本分为固定成本和变动成本两类。
根据历年成本资料的分析,直接材料、直接生产人员工资、折旧费、测井试井费、维护及修理费、其他直接费及厂矿管理费这7项费用的变化基本不受油井产量(或产液量)的影响,归类为固定成本。而直接燃料、直接动力、驱油物注入费、稠油热采费、轻烃回收费、油气处理费、井下作业费、天然气净化费及运输费这9项费用与油井的产油量或产液量直接相关,归为变动成本。
3.计算公式分析
根据以上分析,将式(5-13)可写为:

由于原油开采成本的变化还受物价变动及日产液量变动的影响,再者,油价也是在不断变化着。所以,考虑到每项因素的变化,将式(5-14)改写为:

式中:KFi为相应固定费用的变化率;KVj为相应变动费用的变化率;Kq为日产液量的变化率;KP为油价变化率。
根据式(5-15)可以计算出每口油井的经济极限含水率及利润,利润计算公式为:
R=330QL(Rw-RP)[P(1-r′)] (5-16)
式中:R为单井年利润;RP为油井实际含水率。
当R>0时,Rw>RP,油井盈利;当R=0时,Rw=RP,油井盈亏平衡,利润为零,只能维持简单的再生产;当R<0时,Rw<RP,油井亏损。
根据式(5-16)可进行单因素和多因素敏感性分析,分析指标是经济极限含水率,分析因素为公式中的各相应因素。
案例2 动态盈亏平衡点法在油气田开发投资项目决策中的应用
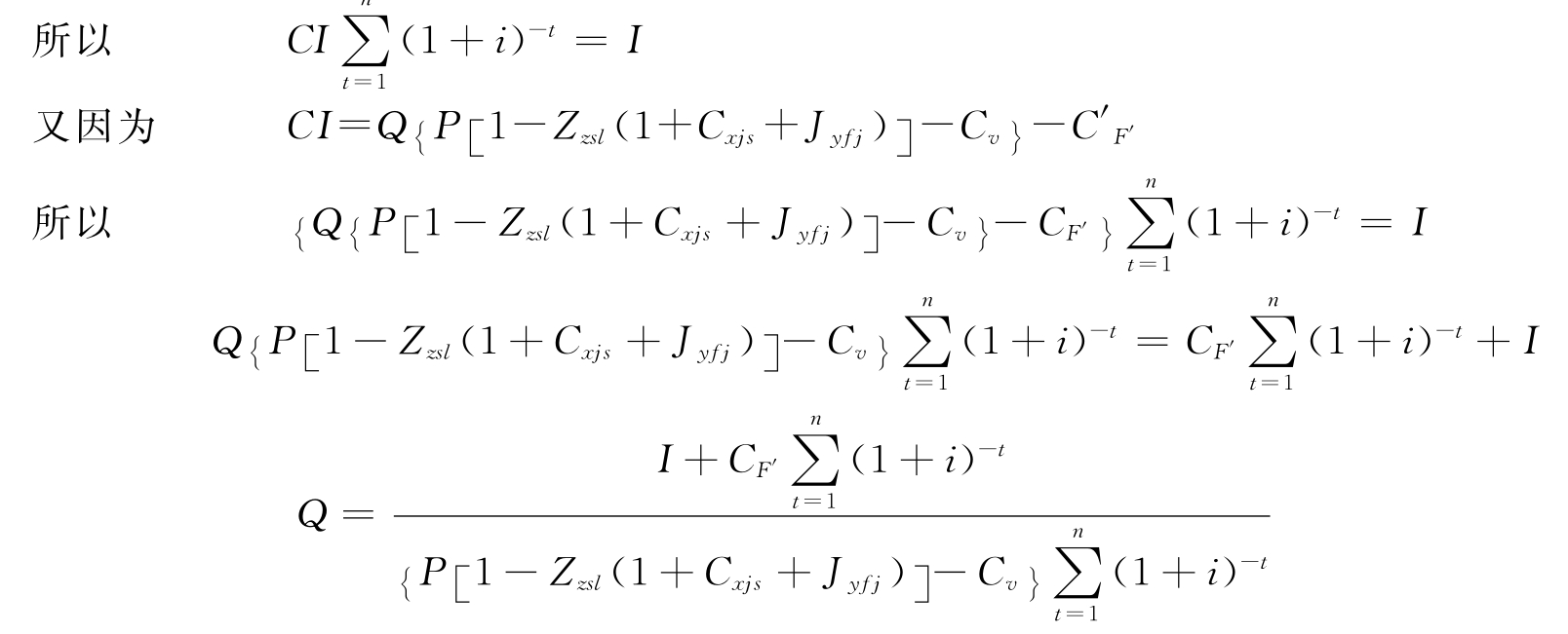
目前常用的盈亏平衡法仅是一种静态的计算方法,没有考虑到资金的时间价值,由于一个投资项目投产后的使用年限往往有若干年,决策中若不考虑资金的时间价值,那么决策就失去了它的客观性和准确性,同时给投资项目带来一定的风险。
通过盈亏平衡分析,可以确定盈亏平衡点,又称保本点。在这一点上营业收入等于总成本费用。如果设I为投资方案总投资额,CI为建成投产后的年现金流入量,t为项目寿命期,i为年利率,Q为产量(或销售量),P为单位产品销售价格,Cv为单位产品变动成本,CF为年固定成本。即建立盈亏平衡式:
QP[1-Zzsl(1+Cxjs+Jyfj)]=CvQ+CF
式中:Zzsl为增值税率;Cxjs为城乡建设维护税率;Jyfj为教育费附加率。
盈亏平衡是石油投资项目中一个很重要的数量界限,因为企业首先要“保本”后才谈得上盈利,“保本”是企业得以继续发展生存的前提,所以近年来盈亏平衡分析法在油气田开发投资项目中已得到广泛应用。
1.动态盈亏平衡点分析法
如何考虑资金的时间价值这个因素,使盈亏平衡点由静态应用转入动态应用,根据不同的利率水平确定不同的盈亏平衡点,从而更全面地进行油气田开发投资决策分析,这就是本案例探讨的问题——盈亏平衡点法与净现值相结合的动态应用。
根据净现值计算公式:

当CIt=常数时,

在盈亏平衡点,有NPV=0


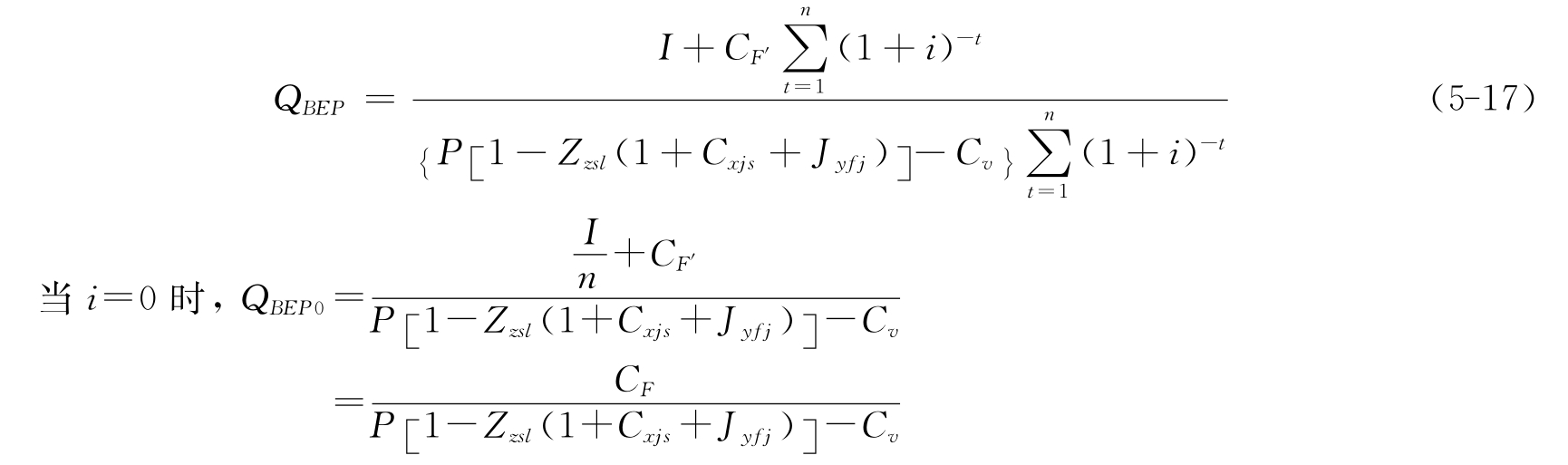
所以动态盈亏平衡点的产量(QBEP)或销售量为:

式中:QBEP0为静态(当i=0时)盈亏平衡点产量,当i=1%,i=2%,i=3%,…时,QBEP1,QBEP2,QBEP3,…为不同利率水平下的动态盈亏平衡点产量;CF为扣除折旧费以外的年固定成本。

2.动态盈亏平衡点法在油气田开发投资项目中的应用实例
某油田是我国西部近几年发现的较大整装油气田之一。该油田从20世纪70年代开始地质调查,90年代进行全面勘探,2000年开始投入开发。该油区已完成地震工作量约5200km,钻探井45口,试油180层,该油气田开发项目前2年为建设期,投产期为3年,生产期为10年,整个评价期为15年,油气田开发采用注水开采,生产井为245口,该油气田开发项目总投资为191 801.7万元,其中固定资产投资为127 520.8万元,采用直线折旧法,折旧年限为10年,油气田开发投资其他数据见表5-2。
表5-2 油气田开发数据及技术经济指标

如果油价按1500元/吨计算,在不同的年利率情况下,根据式(5-17)和式(5-18)将会得到不同的盈亏平衡点产量和净现值,计算结果见表5-3。
表5-3 不同利率条件下的动态盈亏平衡点产量及净现值

3.结论
从上述计算结果可见,若用通常常用的静态盈亏平衡点法来决策(即不考虑货币的时间价值),该石油投资项目生产能力(以第5年为例)只要达到17.0万吨即保本了,而实际上该决策漏计了货币的时间价值,但若采用了动态盈亏平衡点法,即该石油投资项目的生产能力要达到(i=5%时)51.5万吨、(i=8%时)55.9万吨、(i=12%时)61.6万吨才能保本,这个数字才是科学、准确的投资决策的依据。在不同的年利率条件下盈亏平衡点的生产能力是不同的,随着年利率的升高生产能力的盈亏平衡点也越高,如果按年利率5%计算,在第5年不仅可归还全部投资191 801.7万元,还可获得净现值263 491.0万元,而年利率按12%计算时,则在第6年可归还全部投资,可获得净现值282 559.3万元,所以该油气田开发投资项目是可行的。