第四节 投资方案的比较和优选
对石油工程项目方案进行经济评价,一般常遇到两种情况:一种是单方案评价,即投资项目只有一种技术方案或独立的项目方案可供评价;另一种是多方案评价,即投资项目有几种可供选择的技术方案。对单方案的评价,采用前述的经济指标就可以决定项目的舍取。但是,在实践中,由于决策结构的复杂性,往往只有对多方案进行比较与评价,才能决策出技术上先进适用、经济上合理有利、社会效益大的最优方案。
不同的投资方案,投资、费用、收益及方案的寿命期都不尽相同,使得我们在上节中对单方案分析所得出的一些结论,如方案的净现值越大越好、内部收益率越高越好、投资回收期越短越好等,不能直接用于多方案的比较和选择。在多方案的选择中,我们不仅要考虑单方案的经济可行性,而且要考虑项目群或组合方案的整体最优。因此,本节在划分决策类型的基础上,讨论如何正确运用前面讲过的各种评价指标进行项目评价与选择。
任何一个企业或部门总有能力同时在若干个项目上平行地投资,但是可供选择的投资机会往往多于公司的资金预算所允许的投资能力。或者,为达到某一经济目标,有众多的投资方案可供选择。在这种情况下,人们常常根据方案的性质及其相互间的关系,选用不同的评价方法。从方案之间的相互关系来说,可分为3种类型,即独立型方案、互斥型方案和相关型方案。
一、独立型方案的比选
独立型方案是指在一系列方案中,各方案的现金流量相互独立存在,互不排斥,当接受其中某一方案时,并不影响其他方案的接受,这种方案叫做独立型方案。由此可见,独立型方案之间的效果具有可加性。例如某石油企业应生产发展所需,欲购置钻机、采购运输车辆、登广告、建立安全系统等,这些方案具有不同的作用,其间不存在替代关系,可以看作是独立型方案。
独立型方案的采用与否,只取决于方案自身的经济性,即只需检验它们是否能够通过净现值、净年值或内部收益率指标的评价标准。在一组独立型方案中,各方案的寿命期可以相同,也可以不相同,并不影响决策的结果。因此,多个独立方案与单一方案的评价方法是相同的。
用经济效果评价标准(如NPV≥0,NAV≥0,IRR≥i0)检验方案自身的经济性,叫“绝对(经济)效果检验”。凡通过绝对效果检验的方案,就认为它在经济效果上是可以接受的,否则就应予以拒绝。
【例4-8】 现有A、B两个独立方案,现金流量如表4-8所示。若基准收益率要求20%,应选择哪个方案?
表4-8 独立方案A、B的现金流量

【解】 因为该例题为独立方案,应先计算方案自身的绝对经济果指标(NPV、NAV、IRR),然后再根据各指标的判别标准进行绝对效果检验并决定舍取。
(1)NPVA=-20000+6000(P/A,20%,5)+4000(P/F,20,5)=-448.8(万元)
NPVB=-30000+10000(P/A,20%,20)=18696(万元)
因NPVA<0,NPVB>0,根据净现值判别标准,B方案可行,A方案不可行。
(2)NAVA=NPVA(A/P,20%,5)=-448.8×0.334 38=-150.07(万元)
NAVB=NPVB(A/P,20%,20)=18696×0.205 36=3839.41(万元)
因NAVA<0,NAVB>0,根据净年值判别标准,B方案可行,A方案不可行。
(3)设IRRA为A方案内部收益率,IRRB为B方案内部收益率,则:
-20000+6000(P/A,IRRA,5)+4000(P/F,IRRA,5)=0
-30000+10000(P/A,IRRB,20)=0
解得各方案的内部收益率为:IRRA=19%,IRRB=30%,因为IRRA<i0(20%),IRRB>i0(20%),所以B方案可行,A方案不可行。
对于独立型方案来说,经济上是否可行的判据是其绝对经济效果指标是否优于一定的检验标准。不论采用净现值、净年值和内部收益率当中哪一种评价指标,评价结论都是一致的。
二、互斥型方案的比选
互斥型方案是指为了解决某一问题,有多个方案可供选择,但各方案之间是相互排斥的,当接受其中一个方案时就会排除其他方案的采纳。由此可见,互斥型方案之间的效果不具有可加性。互斥型方案又叫排他型方案或替代型方案。例如在某地是建一座年加工能力为100万吨的炼油厂,还是建150万吨的炼油厂?又如某采油厂欲购置一台抽油机,有4家厂商可以提供货源,究竟应选择哪一家厂商;等等,这都属于互斥型方案的选择问题。
互斥型方案决策的特点是:互斥型方案一般在满足需要上是相同的,可以互相替代;各方案比较时应有相同的经济寿命期,若不相等,应按一定方法进行调整后再比较;应有一个企业能够接受的基准收益率(i0)作为方案舍取的标准;为选出最优方案,除了考察各个方案自身的经济效果,即进行绝对(经济)效果检验,还要考察哪个方案相对最优,称“相对(经济)效果检验”。两种检验的目的和作用不同,通常缺一不可。下面讨论互斥方案的比选。
我们分方案寿命期相等与方案寿命期不相等两种情况讨论互斥方案的经济效果评价。讨论中使用的主要评价指标有净现值、净年值、费用现值、费用年值和内部收益率。
(一)寿命期相同互斥方案的比选
对于寿命周期相同的互斥方案,计算期通常设定为其寿命周期,这样,在利用资金等值原理进行经济效果评价时,各方案在时间上具有可比性。
1.增量分析法
首先分析一个互斥方案评价的例题。
【例4-9】 有3个相互排斥的投资方案,寿命期均为10年,各方案的初始投资和年净收益如表4-9所示。试在基准折现率10%的条件下选择最优方案。
表4-9 3个互斥方案的净现金流量表 单位:万元

【解】 根据题意计算3个方案的绝对经济效果指标NPV和IRR,并对3个方案进行比选。
根据净现值计算公式计算3个方案净现值如下:
NPVA=-490+100(P/A,10%,10)=124.46(万元)
NPVB=-600+120(P/A,10%,10)=137.35(万元)
NPVC=-700+130(P/A,10%,10)=98.80(万元)
根据内部收益率计算公式计算3个方案内部收益率如下:
-490+100(P/A,IRRA,10)=0
-600+120(P/A,IRRB,10)=0
-700+130(P/A,IRRC,10)=0
计算出内部收益率为:IRRA=15.6%,IRRB=15.13%,IRRC=13.21%。
NPVA、NPVB、NPVC均大于零,IRRA、IRRB、IRRC均大于基准折现率(i0=10%),所以方案A、方案B和方案C都能通过绝对经济效果检验,且使用NPV指标和使用IRR指标进行绝对经济效果检验结论是一致的。
由于NPVB>NPVA>NPVC,故按净现值最大准则方案B为最优方案。而计算结果还表明IRRA>IRRB>IRRC,若以内部收益率最大为比选原则,则方案A为最优方案,这与按净现值最大准则比选的结论相矛盾。
为什么NPV与IRR法得出的结论不一致?解决这个问题需要分析投资方案比选的实质。投资额不等的互斥方案比选的实质是判断增量投资(或称差额投资)的经济合理性,即投资大的方案相对于投资小的方案应考察多投入的资金能否带来满意的增量收益。显然,若增量投资能够带来满意的增量收益,则投资额大的方案优于投资额小的方案,若增量投资不能够带来满意的增量收益,则投资额小的方案优于投资额大的方案。
以上分析中采用的通过计算增量净现金流评价增量投资经济效果,对投资额不等的互斥方案进行比选的方法称为增量分析法或差额分析法。这是互斥方案比选的基本方法。
2.增量分析指标
对于寿命期相等的互斥方案,净现值、净年值、投资回收期、内部收益率等评价指标都可以用增量分析,下面就代表性指标净现值和内部收益率在增量分析中的应用作进一步讨论。
1)差额净现值
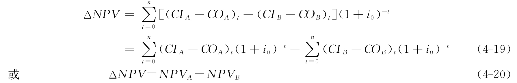
差额净现值就是指两个方案的净现金流量之差额的净现值,或理解为两个方案净现值之差额。
设A、B为投资额不等的互斥方案,A方案比B方案投资大,两方案的差额净现值可由下式求得:

式中:ΔNPV为差额净现值;(CIA-COA)t为方案A第t年的净现金流量;(CIB-COB)t为方案B第t年的净现金流量;NPVA、NPVB分别为方案A和方案B的净现值。
用增量分析法进行互斥方案比选时,若ΔNPV≥0,表明增量投资可以接受,投资(现值)大的方案经济效果好;若ΔNPV<0,表明增量投资不可接受,投资(现值)小的方案经济效果好。
由式(4-19)可知,差额净现值等于两个互斥方案的净现值之差。显然,用增量分析法计算两方案的差额净现值进行互斥方案比选,用式(4-20)分别计算两方案的净现值,根据净现值最大准则进行互斥方案比选结论是一致的。因此,实际工作中应根据具体情况选择比较方便的比选方法。当有多个互斥方案时,直接用净现值最大准则选择最优方案比两两比较的增量分析更为简便。分别计算各备选方案的净现值,根据净现值最大准则选择最优方案可以将方案的绝对效果检验和相对经济效果检验结合起来。判别准则可表述为:净现值最大且非负的方案为最优方案。这一判别准则可以推广至净现值的等效指标净年值,即净年值最大且非负的方案为最优方案。
对于仅有或仅需计算费用现金流量的互斥方案,只需进行相对效果检验,通常使用费用现值或费用年值指标,一般情况下不需要进行增量分析,方案选择的判别准则是:费用现值或费用年值最小的方案为最优方案。
用差额投资净现值法选择方案的步骤如下:
(1)把各方案按初始投资递增的次序排列。
(2)选初始投资最小的方案作为临时最优方案,其他方案作为竞选方案。此时需要注意的是,唯有投资较小的方案被证明是合理时,才能成为临时最优方案,其他投资较大的方案才能与之比较。
(3)计算两个方案的差额净现值,并进行判断:若ΔNPVA-B>0,选投资大的方案A,淘汰投资小的方案B;若ΔNPVA-B<0,选投资小的方案B,淘汰投资大的方案A。
(4)用选出来的较优方案与下一方案比较。比较一次淘汰一个方案,依次比较、选优,直至选出最优方案。
根据上述步骤,我们用差额投资净现值法分析例4-9。
首先,以A方案为临时最优方案,并证明其合理性:
ΔNPVA-0=NPVA=-490+100(P/A,10%,10)=124.46(万元)
因为ΔNPVA-0>0,故方案A是可行的。
其次,计算方案B与方案A的差额投资净现值:
ΔNPVB-A=-(600-490)+(120-100)(P/A,10%,10)=12.89(万元)
因为ΔNPVB-A>0,故投资大的方案B优,淘汰方案A。
以方案B为临时最优方案,计算方案C与方案B的差额投资净现值:
ΔNPVC-B=-(700-600)+(130-120)(P/A,10%,10)=-38.55(万元)
因为ΔNPVC-B<0,故投资小的方案B优,淘汰方案C。
结论是方案B最优,与净现值法一致。
本例还可以直接根据两方案净现值之差来判断优劣:
NPVA=124.46万元>0,方案A是可行的。
ΔNPVB-A=NPVB-NPVA=137.35-124.46=12.89(万元)>0
故投资大的方案B为优选方案。
ΔNPVC-B=NPVC-NPVB=98.80-137.35=-38.55(万元)<0
故投资小的方案B优,即方案B为最优方案。
读者可以证明,用差额投资净年值(ΔNAV)法所得出的结论相同于差额投资净现值法。
2)差额内部收益率
差额投资内部收益率就是指使两个互斥方案的差额投资净现值等于零时的折现率。其计算方程式为:

式中:ΔIRR为差额内部收益率;ΔCI为互斥方案(A、B)的差额(增量)现金流入,即ΔCI=CIA-CIB;ΔCO为互斥方案(A、B)的差额(增量)现金流出,即ΔCO=COA-COB。
差额内部收益率定义的另一种表达方式:也可以理解为使两个方案净现值相等时的折现率(即两条净现值函数曲线的交点所对应的折现率)。其计算方程式也可以写成:

计算两互斥方案的差额投资内部收益率和计算单方案的内部收益率方法相同,用试算法(参见内部收益率的求法)。利用式(4-21)和式(4-22)求解ΔIRR的结果是一样的。
用差额内部收益率比选方案判别的标准是:若ΔIRR>i0(基准折现率),则投资(现值)大的方案为优选方案;若ΔIRR<i0(基准折现率),则投资(现值)小的方案为优选方案。用差额内部收益率进行方案比选的情况见图4-7。

图4-7 用于方案比较的差额内部收益率
在图4-7中,D点为A、B两方案净现值曲线的交点,在这一点两方案净现值相等。D点所对应的折现率即为两方案的差额内部收益率ΔIRR。由图中可以看出,当ΔIRR>i0时,NPVA>NPVB,当ΔIRR<i0时,NPVA<NPVB。用ΔIRR与NPV比选方案的结论是一致的。
由此可知,在对互斥方案进行比较选择时,净现值最大准则(以及净年值最大准则、费用现值和费用年值最小准则)是正确的判别准则,而内部收益率最大准则不能保证比选结论的正确性。
净现值最大准则的正确性,是由基准折现率——最低希望收益率的经济意义决定的。一般来说,最低希望收益率应该等于被拒绝的投资机会中最佳投资机会的盈利率,因此净现值就是拟采纳方案较之被拒绝的最佳投资机会多得的盈利,其值越大越好,这符合盈利最大化的决策目标的要求。
内部收益率最大准则只在基准折现率大于被比较两方案的差额内部收益率的前提下成立。也就是说,如果将投资大的方案相对于投资小的方案的增量投资用于其他投资机会,会获得高于差额内部收益率的盈利率,用内部收益率最大准则进行方案比选的结论就是正确的。如图4-7所示,如果所取的基准折现率i0>ΔIRR,则用内部收益率最大准则与净现值最大准则比选方案的结论就是一致的。但是倘若基准折现率i0<ΔIRR,用内部收益率最大准则选择方案就会导致错误的抉择。由于基准折现率是独立确定的,不依赖于具体待比选方案的差额内部收益率,故用内部收益率最大准则比选方案是不可靠的。
用内部收益率评价互斥方案的步骤和方法如下:
(1)根据每个方案自身的净现金流,计算每个方案的内部收益率,淘汰内部收益率小于基准折现率的方案,即淘汰通不过绝对效果检验的方案。
(2)按照投资从大到小的顺序排列经绝对效果检验保留下来的方案。首先计算头两个方案的ΔIRR。若ΔIRR>i0,则保留投资大的方案;若ΔIRR<i0,则保留投资小的方案。
(3)将(2)得到的保留方案与下一个方案进行比较——计算两方案的差额内部收益率,取舍判据同上。以此类推,直至检验了所有可行方案,找出最优方案为止。
值得指出的是,ΔIRR只能反映增量现金流的经济性(相对经济效果),不能反映各方案自身的经济性(绝对经济效果)。故差额内部收益率只能用于方案间的比较(相对效果检验),不能仅根据ΔIRR数值的大小判定方案的取舍。图4-7对此作了说明。
图4-8中,在(a)、(b)所示的两种情况下,方案A与方案B均能通过绝对效果检验(IRRA>i0,IRRB>i0),可以根据IRRB与i0的比较判定方案的取舍:(a)情况下,ΔIRR>i0,投资大的方案A优于投资小的方案B;(b)情况下,ΔIRR<i0,方案B优于方案A;在(c)所示的情况下,方案A与方案B均不能通过绝对效果检验(IRRA<i0,IRRB<i0),故不管ΔIRR大小如何,两个方案都不应选取;在(d)所示的情况下,方案A通过绝对效果检验(IRRA>i0),且ΔIRR>i0,可以判定方案A为最优可行方案。
根据上述步骤,我们用差额投资内部收益率法分析例4-9。
前面已计算了各方案的内部收益率:
IRRA=15.6%,IRRB=15.13%,IRRC=13.21%
显然,3个方案的内部收益率均大于基准折现率i0=10%,均是可行的方案,故方案A为临时最优方案。
先计算方案B与方案A的差额投资内部收益率:

图4-8 用内部收益率法比选方案示意图
-(600-490)+(120-100)(P/A,ΔIRRB-A,10)=0
解得ΔIRRB-A=12.7%>i0,说明投资大的方案B优于投资小的方案A。
再计算方案C与方案B的差额投资内部收益率:
-(700-600)+(130-120)(P/A,ΔIRRC-B,10)=0
解得ΔIRRC-B<1%<i0,说明投资小的方案B优于投资大的方案C。
结论是方案B最优。
差额内部收益率也可用于仅有费用现金流的互斥方案比选。比选结论与费用现值法和费用年值法一致,在这种情况下,实际上是把增量投资所导致的对其他费用的节约看成是增量收益。计算仅有费用现金流的互斥方案的差额内部收益率的方程,可以比照式(4-18)或式(4-19),按两方案费用现值相等或增量费用现金流现值之和等于零的方式建立。
(二)寿命期不等的互斥方案比选
多数情况下,互相比较的投资方案的寿命期是不同的。这时要评价方案,首先必须满足时间上可比。满足这一要求需要解决两个问题:一是设定一个合理的共同分析期;二是给寿命期不等于分析期的方案选择合理的方案接续假定或残值回收假定。下面结合具体评价指标在寿命期不等互斥方案比选中的应用讨论这两个问题的解决方法。
1.现值法
当互斥方案寿命期不等时,一般情况下,各方案的现金流在各自寿命期内的现值不具有可比性。如果要使用现值指标(净现值或费用现值)进行方案比选,必须设定一个共同的分析期。分析期的设定应根据决策的需要和方案的技术经济特征来决定。通常有以下几种处理方法:
(1)最小公倍数法。对不同寿命期的方案以其寿命期的最小公倍数作为统一的计算期。例如,甲方案的寿命期为5年,乙方案的寿命期为10年,两者不能直接比较。此时应以10年为相同的计算期,假设甲方案在第5年末重复投资一次,以其10年的收益与费用同乙方案相比较,从而满足了时间上可比的条件。
(2)研究期法。当方案较多时,由于各方案的寿命期不同,计算出的最小公倍数可能很大,如油田开发方案寿命期往往较长,假设有4个方案进行比较,其寿命期分别为15年、20年、25年、30年。寿命期的最小公倍数为300年。计算300年内各开发方案的效益和费用既麻烦又无现实意义。此时采用较简便的方法是选择一个共同的时期如10年作为比较的基础,分析研究各个方案开发10年的效益和费用,这就是研究期法。若选择的研究期为各个方案中寿命期最大者,又叫最大寿命期法;选择的研究期为其中最小者,又叫最小寿命期法。
(3)年值折现法。按某一共同的分析期将各备选方案的年值折现得到用于方案比选的现值。这种方法实际上是年值法的一种变形,隐含着与年值法相同的接续方案假定。设方案j(j=1,2,3,…,m)的寿命期为n,共同分析期为N,按年值折现法,方案j净现值的计算公式为:

用年值折现法求净现值时,共同分析期N取值的大小不会影响方案比选结论,但通常N的取值不大于最长的方案寿命期,不小于最短的方案寿命期。
用上述方法计算出的净现值用于寿命不等互斥方案评价的判别准则是:净现值最大且非负的方案是最优可行方案。对于仅有或仅需计算费用现金流的互斥方案,可比照上述方法计算费用现值进行比选,判别准则是:费用现值最小的方案为最优方案。
【例4-10】 有两个互斥方案,如表4-10所示。若基准折现率为15%,试选择较优方案。
表4-10 A、B方案的现金流表

由于两个方案寿命期不同,不满足时间上的可比要求,故取其寿命期最小公倍数12年作为统一的计算期。即方案A在12年内重复投资3次,方案B重复投资两次,经过这样的处理后两方案具有了可比性,可以用净现值法、差额投资净现值法或差额投资内部收益率法等方法进行比较。现以净现值法为例,介绍寿命期不等互斥型方案的比选。
【解】 两方案净现值计算如下:

NPVB=-500[1+(P/F,15%,4)+(P/F,15%,8)]+300(P/A,15%,12)
=676.95(万元)
由于NPVA>0,NPVB>0,所以A方案与B方案均可行;又因NPVA>NPVB,所以方案A优于方案B。
同样也可用年值折现法比选方案。取最短的方案寿命期3年作为共同分析期,用年值折现法求各方案的净现值:
NPVA=-1000+680(P/A,15%,3)=552.44(万元)
NPVB=[-500+300(P/A,15%,4)](A/P,15%,4)(P/A,15%,3)=285.08(万元)
由于NPVA>0,NPVB>0,所以A方案与B方案均可行;又因NPVA>NPVB,所以方案A优于方案B。
从上面计算可以看出,若多个寿命期不等的互斥型方案相互比较,其最小公倍数可能很大,有时甚至达几百年,而解决这一问题最简便有效的方法是年值法。
2.年值法
在对寿命期不等的互斥方案进行比较时,不论方案在寿命期最小公倍数的时间内重复多少次,其年值是相等的。当参加比选的方案数目众多时,用年值法最为简便,年值法使用的指标有净年值与费用年值。
【例4-11】 根据例4-10的数据,用净年值法比选方案。
【解】 由式(4-10)得:
NAVA=NPVA(A/P,15%,12)=242.07(万元)NAVB=NPVB(A/P,15%,12)=124.88(万元)
或者,由式(4-11)得:
NAVA=680-1000(A/P,15%,3)=242.02(万元)
NAVB=300-500(A/P,15%,4)=124.86(万元)
由于NAVA>0,NAVB>0,所以A方案与B方案均可行;又因NPVA>NPVB,所以选方案A为最优方案。
由本例可见,计算两方案12年内净年值与计算一个寿命周期内的净年值是相同的。因此结论成立的先决条件是各方案必须满足重复投资的假设。在此条件下,用净年值法比用净现值法或其他方法要简单得多。
在实际生活中,会常常遇到下面问题:在水力发电和火力发电之间、在铁路和公路运输之间、在水泥结构的桥梁和金属结构的桥梁之间进行的选择。这类问题的特点是,无论选择哪一种方案,其产出相同或提供相同的服务,或者根本无法用货币来衡量。这时只要考虑各方案的成本费用大小就可以了。对于仅有或仅需要计算费用现金流的互斥方案,可以比照净年值的计算方法,用费用年值指标进行比选。判别标准是:费用年值最小的方案为最优方案。
【例4-12】 已知甲方案的设备购置费为800万元,年维修运行费600万元,寿命5年;乙方案的设备购置费为1500万元,年维修运行费500万元,寿命10年。设两者的残值为零,最低期望报酬率i=8%,试选择最优方案。
【解】 作方案现金流量图如图4-9所示。
根据式(4-13)可计算各方案的费用年值如下:

图4-9 甲、乙两方案现金流量图
AC甲=800(A/P,8%,5)+600=800(万元)
AC乙=1500(A/P,8%,10)+500=724(万元)
乙方案设备年成本费用节约额=AC甲-AC乙=76(万元) (4-24)
以上方案经济效益的评价未遵守寿命期可比性原则,但实际上它与采用以下3种方法解决寿命可比性问题后所取得的评价结果是一致的。
(1)按甲、乙方案寿命最小公倍数确定两方案相同的服务期为10年,方案甲在第5年末以同种新设备进行更换。按此方法,两方案的现金流量图如图4-10所示。

图4-10 甲、乙两方案现金流量图
方案的设备费用年值的比较:
AC甲=[800+800(P/F,8%,5)+600(P/A,8%,10)](A/P,8%,5)=800(万元)
AC乙=1500(A/P,8%,10)+500=724(万元)
乙方案设备年成本费用节约额=AC甲-AC乙=76(万元) (4-25)
(2)以寿命最短方案的寿命为各方案共同的服务期,寿命长的方案按一定的程序确定共同服务期末的残值。本例以方案甲的寿命5年为共同服务期,方案乙第5年末的残值按下式计算:
方案乙第5年末残值=1500(A/P,8%,10)(P/A,8%,5)=893(万元)
按此方法评价,方案的现金流量图如图4-11所示。
方案费用年值的比较:
AC甲=800(A/P,8%,5)+600=800(万元)
AC乙=1500(A/P,8%,5)+500-893(A/F,8%,5)=724(万元)
乙方案设备年成本费用节约额=AC甲-AC乙=76(万元) (4-26)
这里应当指出,只有当方案乙的设备残值按上述公式计算的条件下,式(4-26)才能与式(4-24)及式(4-25)相同。
(3)以寿命最长方案的寿命为共同服务期,寿命短的方案在寿命期满之后以寿命长的方案来更换。这种方式在设备更新问题中是可能出现的。例如,方案甲的设备为待更新的旧设备,方案乙的设备为新设备,新旧设备比较时,由于寿命期不等,可以设想在旧设备寿命结束时,以新设备去替换旧设备。按此方法进行评价,方案的现金流量如图4-12所示。

图4-11 甲、乙两方案现金流量图

图4-12 甲、乙两方案现金流量图
为便于进行比较,可利用上面有关的计算结果,把图4-12的现金流量图改为如图4-13所示的年成本的形式。
由图4-13可知,两方案虽按10年进行比较,但实际上只有前5年的年成本不同。因此,前5年年成本之差能代表10年比较期的年成本之差,即:
AC甲(前5年)-AC乙(前5年)=800-724=76(万元) (4-27)
对照式(4-24)、式(4-25)、式(4-26)、式(4-27)可知寿命不等方案按简化程序计算的费用年值与用上述3种方法计算出的费用年值是相同的。由此可见,简化程序实际上是以上3种方法的计算与比较过程的简化。因此,只有在备选方案适于按上述3种方法进行评价时,才可以采用简化程序;否则,就必须先用一定方法解决方案寿命不等问题后,再进行费用年值计算与比较。

图4-13 甲、乙两方案年成本费用比较图
三、相关型方案的比选
在多个方案之间,如果接受(或拒绝)某一方案,会显著改变其他方案的现金流量,或者接受(或拒绝)某一方案会影响对其他方案的接受(或拒绝),我们说这些方案是相关的。方案相关的类型主要有以下几种。
(一)完全互斥型
如果由于技术的或经济的原因,接受某一方案就必须放弃其他方案,那么,从决策角度来看这些方案是完全互斥的,这也是方案相关的一种类型。特定项目经济规模的确定,厂址方案的选择,特定水利发电站坝高方案的选择等,都是这类方案完全互斥的例子。这种互斥方案的经济效果评价方法,我们在前面已作了较为充分的论述。
(二)相互依存型和完全互补型
如果两个或多个方案之间,某一方案的实施要求以另一方案(或另几个方案)的实施为条件,则这两个(或若干个)方案具有相互依存性,或者说具有完全互补性,例如,在两个不同的军工厂分别建设生产新型火炮和与之配套的炮弹的项目就是这种类型的相关方案。紧密互补方案的经济效果评价通常应放在一起进行。
(三)混合相关型
在方案众多的情况下,方案间的相关关系可能包括多种类型,我们称之为混合相关型。
(四)现金流相关型
即使方案间不完全互斥,也不完全互补,如果若干方案中任一方案的取舍会导致其他方案现金流量的变化,这些方案之间也具有相关性。例如,有两种在技术上都可行的方案:一个是在某大河上建一座收费公路桥(方案A);另一个是在桥址附近建收费轮渡码头(方案B),即使这两个方案间不存在互不相容的关系,但任一方案的实施或放弃都会影响另一方案的收入,从而影响方案经济效果评价的结论,同样,也存在互补性的现金流相关方案。
当各方案的现金流量之间具有相关性,但当方案之间并不完全互补时我们不能简单地按照独立方案或互斥方案的评价方法进行决策,而应当首先用一种“互斥方案组合法”,将各方案组合成互斥方案,计算各互斥方案的现金流量,再按互斥方案的评价方法进行评价选择。
【例4-13】 为了满足油田运输要求,有关部门分别提出要在某两地之间上一铁路项目和(或)一公路项目。只上一个项目时的净现金流量如表4-13所示。若两个项目都上,由于受货运分流的影响,两项目都将减少净收入,其净现金流量如表4-14所示。当基准折现率为i0=10%时应如何决策?
表4-13 只上一个项目时的净现金流量 单位:百万元

表4-14 两个项目都上时的净现金流量 单位:百万元

为保证决策的正确性,先将两个相关方案组合成3个互斥方案,再分别计算其净现值,如表4-15所示。
表4-15 组合互斥方案的净现金流量及其净现值表 单位:百万元

根据净现值判断准则,在3个互斥方案中,A方案净现值最大且大于零(NPVA>NPVB>NPVC>0),故A方案为最优可行方案。
若用净年值法和内部收益率法对表4-13中的互斥组合方案进行评价选择,亦会得出相同的结论。
(五)资金约束导致的方案相关
如果没有资金总额约束,各方案具有独立性质,但在资金有限的情况下,接受某些方案则意味着不得不放弃另外一些方案,这也是方案相关的一种类型。
在资金有限的情况下,局部看来不具有互斥性的独立方案也成了相关方案。如何对这类方案进行评价选择,以保证在给定资金预算总额的前提下取得最大的经济效果(即实现净现值最大化),按照有限的资源得到最佳利用的原则进行方案组合,保证所选的组合方案产出最大。这就是所谓“投资有限情况下方案的选择”问题。
受资金限制的方案选择使用的主要方法有“整体净现值法”和“互斥方案组合法”。
整体净现值法:就是在计算各方案净现值指数的基础上,将净现值指数大于或等于零的方案按净现值指数大小排序,并依此次序选取项目方案,然后测算在资金限额内各种可能的组合方案的整体净现值,其中整体净现值最大的组合方案为最优方案,直至所选取方案的投资总额最大限度地接近或等于投资限额为止。本法所要达到的目标是在一定的投资限额约束下使所选项目方案的净现值最大。
【例4-14】 某企业可利用的资金为60万元,共有8个独立型方案可供选择,其资料见表4-16。设各方案寿命期均为10年,基准收益率为12%,试确定最优组合方案。
表4-16 各方案的投资收益表

【解】 首先,计算各方案的净现值及净现值比率,如表4-16所示。
由于各方案净现值及净现值比率均大于零,故各方案本身在经济上是可行的。现按各方案净现值比率由大到小排序:A、B、H、E、D、F、G、C。
其次,在60万元资金的限额内进行各种可能的方案组合。
组合方案1是由A、B、H、D、C五个方案组成。其基本原则是按各方案的净现值比率由大到小进行选择,直到满足资金限额为止。其整体净现值为:

组合方案2是由A、B、H、E四个方案组成。其基本原则是在按各方案的净现值比率由大到小进行选择的基础上,考虑其中某一方案或某些方案是否有更好的替代方案?现在用方案E取代方案D和C。其整体净现值为:

显然,组合方案2优于组合方案1。读者可以证明,其他各种组合方案的整体净现值均小于组合方案2。因此,组合方案2最优。
通过本例求解过程可知,整体净现值法计算简便、方法简单。但是由于投资项目的不可分性,单纯按各方案的净现值比率大小来组合方案,使得该法在许多情况下不能保证现有资金的充分利用,不能达到整体净现值最大的目标。只有在下述情况下,运用整体净现值法,才能达到或接近于净现值最大的目标:①各独立型方案的投资占投资预算的比例很小;②各方案投资额相差很小;③各入选方案的投资累加额与投资预算限额相差无几。
实际上,在各种情况下,我们只有在按各方案的净现值比率由大到小进行选择的基础上,考虑各种可能的相互排斥的组合方案,才能保证获得最大的整体净现值。
思考与练习
1.静态经济评价和动态经济评价的区别是什么?
2.如何用净现(年)值进行方案评价?净现(年)值有何优点和不足之处?
3.净现值函数的特点是什么?
4.费用现值和费用年值的使用条件是什么?
5.什么是内部收益率的经济涵义、判别准则和唯一性?
6.互斥方案比较的增量分析指标有哪些?各有什么特点?
7.有资源约束的独立方案有哪些评价方法,如何选择?
8.怎样用内部收益率法进行多方案项目的比选?
9.简述净现值最大准则在多方案比选中的合理性。
10.试根据可比原理判断以下方案是否可以直接比较。
(1)某公司拟建一个橡胶厂,甲方案投资为5000万元,年产丁苯橡胶100万吨;乙方案投资4500万元,年产丁苯橡胶86万吨,两方案的寿命期和年经营费用相同。
(2)某厂更新设备,方案A花了3万元购买一台旧型号的设备,寿命期为8年;方案B花了4.5万元购买一台改进型的设备,寿命期为15年。
(3)投资400万元建一机械厂,A方案在建设前期占用资金多,B方案在建设后期占用资金多,建设期均为3年。
(4)胜利油田的钻井成本和大庆油田的钻井成本。
11.某油田总投资为40亿元,自投产后每年产原油400万吨,年经营费用2.6亿元,每年上缴的税金为3.5亿元。假定原油的价格为520元/吨,不考虑时间因素,求该油田的投资回收期。
12.某石油工程项目净现金流量如下表所示。

(1)试计算静态投资回收期、净现值、净年值、内部收益率、净现值比率和动态投资回收期(i0=10%)。
(2)画出累计净现金流量曲线与累计净现金流量现值曲线。
13.某拟建石油工程项目,第1年初投资1000万元,第2年初投资2000万元,第3年初投资1500万元,从第3年起连续8年每年可获净收入1450万元。若期末残值忽略不计,最低希望收益率为12%,试计算净现值和内部收益率,并判断该项目经济上是否可行。
14.某企业初期投资5000元,第1年末又投资2000元,第2年末得净收益2000元,以后连续5年每年得净收益2500元,年利率为12%。试画出现金流量图,并计算净现值及净现值比率。
15.某项目初始投资为1000万元,在此后10年中每年支出200万元,收入410万元,期末残值回收60万元,求该项目的内部收益率。
16.购买某台设备需80000元,用该设备每年可获净收益12600元,该设备报废后无残值。
(1)若设备使用8年后报废,这项投资的内部收益率是多少?
(2)若最低希望收益率为10%,该设备至少可使用多少年才值得购买?
17.某项产品发明专利有效期12年,专利使用许可合同规定制造商每销售一件产品应向发明人支付250元专利使用费。据预测,下一年度该产品可销售1000件,以后销售量每年可增加100件。若发明人希望制造商将专利使用费一次付清,制造商同意支付的最高金额会是多少?制造商的最低希望收益率为15%,发明人的最低希望收益率是10%。
18.有3个互斥方案的净现金流量如下表所示(i0=12%),试用NPV法、IRR法、ΔNPV法和ΔIRR法评价选择最优方案(单位:万元)。

19.有3个修建太阳能灶的投资方案A、B、C,现在一次投资分别为2万元、4万元和10万元,3个方案的太阳能的使用寿命均为20年。未安装太阳能灶之前,企业每年交电费1万元。A方案每年省电费30%;B方案每年省电费50%,C方案每年省电费90%。A、B方案在第10年、第16年均需花维修费1000元,C方案在第12年需花维修费1500元。20年末只有C方案有残值1万元。基准收益率为10%,试选择最优案。
20.某产品生产方案有两个,其费用如下表所示。若i=10%,试用费用现值法及费用年值法选优。

21.假定某产品加工工艺方案有3个,寿命期均为10年,残值为零,其费用如下表所示。

(1)若该部门规定的基准投资回收期为5年,试计算选优。
(2)若折现率为20%,试计算选优。
22.某小电厂每年热损失费5200元,现制定两个减少热损失的方案,方案A可以减少60%的热损失,其投资为3000元,方案B可以减少55%的热损失,投资为2500元。假如基准收益率为8%,热损失的减少为工厂的收益,两方案寿命均为10年。试用下列方法比较选优:
(1)净现值法。
(2)差额投资净现值法。
(3)差额投资内部收益率法。
23.某炼油厂要安装一条输油管线,现有两个可供选择的方案,方案A可以用10万元安装起来,包括输送费用及维修费用在内的年运行费用为2万元。方案B可以用7万元安装起来,但年运行费用为3万元。管道预期服务年限为20年,残值为原值的10%。若公司的最低收益率为20%,试选择较优方案。
24.某油田现有若干互斥型投资方案,有关数据如下表所示。

以上各方案寿命期均为7年,试问:
(1)当折现率为120%时,资金无限制,哪个方案最佳?
(2)折现率在什么范围内时,B方案在经济上最佳?
(3)若i0=10%,实施B方案企业在经济上的损失是多少?