第二节 资金等值计算及基本公式
一、资金等值的概念
在石油技术经济分析中,资金时间价值的等值是一个非常重要的概念。资金等值是指在考虑时间因素的情况下,不同时间的两笔资金或一系列资金,可按某一利率换算至某相同的时点使之彼此“相等”,这就是资金等值的概念。资金等值是考虑货币时间价值的等值,即不同时期绝对值不等而价值相等的资金。例如,今年100元,在年利率10%复利条件下,一年后相当于110元,两年后相当于121元等等。从资金的绝对值看,100元不等于110元和121元,是在年利率10%的条件下,可以说今年的100元与一年后的110元和两年后的121元其价值是相等的。在石油技术经济评价中,等值是必须运用的一个十分重要的概念。
下面以借款、还本付息的例子来进一步说明资金等值的概念。
【例3-4】 某石油企业以年利率8%向银行借款10000万元,在4年内将本利还清。这笔借款有很多种归还方式,现选择3种归还方法列于表3-4。
第一种方法:前三年每年年末仅偿还借款的利息10000×8%=800万元,第4年末归还全部借款和第4年借款的利息。
第二种方法:将所借本金作分期均匀摊还,每年年末偿还本金2500万元,同时偿还到期利息。由于所欠本金逐年递减,所以利息也随之递减,至第4年末全部还清。
第三种方法:在4年中对本金和利息不作任何偿还,只是在最后的第4年末将本利一次偿还清。
从上面的例子可以看出,如果年利率为8%不变,上述3种不同偿还方法与原来的10000万元本金是等值的。从借款人的立场来看,企业如果同意今后以3种方案中任何一种方案来偿还借款,企业今天就可以得到10000万元的使用权。从贷款银行立场来看,今后以3种方案中任何一种都可以抵偿他现在所贷出的10000万元,因此现在银行愿意提供10000万元的贷款。
表3-4 3种特殊的等值形式 单位:万元

1.现值(P)
现值是指现在时刻的货币价值或者说把某一时刻的货币价值换算成现在的价值,即现值,又称为“期初值”或“基期的价值”。需要说明的是,“现值”并非专指一笔资金“现在”的价值,它是一个相对的概念。一般来说,将t+n个时点上发生的资金折现到第t个时点上,所得到的等值金额就是第t+n个时点上资金金额的现值,现值用符号P表示。现值P的现金流量如图3-1所示。
2.将来值(F)
在复利条件下,按一定利率可以将“现值”换算到将来某一时刻的价值,即将来值,又称为“终值”“期末值”或“本利和”。终值用符号F表示。终值F的现金流量如图3-2所示。

图3-1 现值(P)的现金流量图

图3-2 终值(F)的现金流量图
现值与终值是相对的概念,在确定利率情况下,如果第n周期的资金值a是第n-m周期的资金值b的终值,则b是a的现值;如果a又是第n+k周期的资金值c的现值,则c是a的终值;此时b和c也互为现值和终值。现值与终值之间的关系为:
终值=现值+复利利息 (3-7)
现值=终值-复利利息 (3-8)
3.年金(A)
年金又称等年值。表示一个期末支付的等额均匀序列。要满足这个定义,它们必须是等量的支付,并且必须出现在每一个周期的末尾,而且是连续的。年金用符号A表示。年金A的现金流量如图3-3所示。
4.递增(或递减)年值(G)
递增(或递减)年值是指在第一年末的现金流量的基础上,以后每年末递增(或递减)一个数量G,G称为“等差值”或梯度,第一年末的现金流量称为基础付款额,递增年值的现金流量如图3-4所示。

图3-3 年金(A)的现金流量图

图3-4 递增年值的现金流量图
根据资金等值的概念,价值测度P、F、A、G之间可以互相转换,即现金流量可以转换成不同的形式。
利用等值的概念,可以把一个时点发生的资金金额换算成另一个时点的等值金额,这一过程叫资金等值计算。把将来某一时刻的资金金额换算成现在时点的等值金额称为“折现”或“贴现”。
进行资金等值计算中使用反映资金时间价值的参数叫折现率,例3-3中是以银行利率(6%)作为折现率的。
二、资金等值计算基本公式
在石油工业技术经济分析中,为了考察投资项目的经济效果,必须对项目寿命期内不同时间发生的全部费用和全部收益进行计算及分析。在考虑资金时间价值的情况下,不同时间发生的收入或支出,其数值不能直接相加或相减,只能通过资金等值计算将它们换算到同一时点上进行分析。资金等值计算是借助于普通复利计算公式来进行的。
(一)一次支付类型
一次支付又称整付,是指所分析系统的现金流量,无论是流出还是流入,均在一个时点上发生。对于所考虑的系统来说,如果在考虑资金时间价值的条件下,现金流入恰恰能补偿现金流出,则F与P就是等值的。F是P的终值,P是F的现值。
1.一次支付终值公式
已知期初投资为P,期利率为i,求第n期期末的终值(本利和)F是多少。一次支付现金流量图如图3-5所示。

图3-5 一次支付终值现金流量图
F=P(1+i)n (3-9)
公式(3-9)与复利计算的本利和公式(3-5)相同。但在等值计算中,一般称P为现值;F为终值;i为折现率;n为时间周期数。(1+i)n为一次支付复利终值系数,也可以用符号(F/P,i,n)表示,其中斜线右边字母表示已知的数据与参数,左边表示欲求的等值现金流量,其系数可通过查“一次支付终值系数表”求得。则式(3-9)可简化为:
F=P(F/P,i,n) (3-10)

图3-6 一次支付10000元的现金流量图
【例3-5】 某石油公司决策进行油气开发项目,需向银行借款10 000万元,年利率为6%,一年计息一次,借期3年,问3年后一次归还银行的终值(本利和)金额是多少?
【解】 3年后归还银行的本利和应与现在的借款金额等值,折现率就是银行利率。
解法一:由式(3-9)得:
F=P(1+i)n=10000(1+6%)=11910(万元)
解法二:查复利系数表,i=6%,n=3的一次支付终值系数(F/P,6%,3)为1.191,由式(3-10)得:
F=P(F/P,i,n)=10000(F/P,6%,3)=10000×1.191=11910(万元)
3年后一次归还银行11910万元。
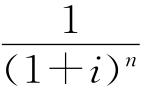
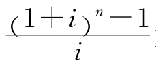
2.一次支付现值公式
已知第n期期末的终值F,期利率为i,求现值P是多少?一次支付现值现金流量图如图3-7所示。此问题与一次支付终值问题正好相反。由式(3-9)可直接推导出一次支付现值公式:

式(3-11)中
为一次支付现值系数,亦可用(P/F,i,n)表示,系数可通过查“一次支付现值系数表”求得。则式(3-11)可简化为:

图3-7 一次支付现值现金流量图
P=F(P/F,i,n) (3-12)

图3-8 5年末一次提取5000元的现金流量图
【例3-6】 某采油厂要想在5年末一次从银行提取5000万元钱,年利率为15%,问现在必须一次性存入银行多少钱?
【解】 根据题意画出现金流量图如图3-8所示。
解法一:由式(3-11)得:

解法二:查复利系数表,i=15%,n=5的一次支付现值系数(P/F,15%,5)为0.4972
由式(3-12)得:
P=F(P/F,i,n)=5000(P/F,15%,5)=5000×0.4972=2486(万元)
现在必须一次性存入银行2486万元。
(二)等额支付类型
等额分付是多次支付形式中的一种。多次支付是指现金流入和现金流出在多个时点上发生,而不是集中在某一个时点上。现金流数额的大小可以是不等的,也可以是相等的。当现金流序列是连续的,且数额相等,则称为等额系列现金流。下面介绍等额系列现金流的4个等值计算公式。

图3-9 等额序列的现金流量图
1.等额支付年金终值公式
已知每期期末等额支付资金额为A,连续支付n期,期利率为i,求第n期的终值F。如图3-9所示,从第1年末至第n年末有一等额的现金流序列,在考虑资金时间的条件下,n年内系统的总现金流出等于总的现金流入,n年末的现金流入F应与等额现金流出序列等值。F相当于等额年值序列的终值,可把等额序列视为n个一次支付的组合,利用一次支付终值公式推导出等额分付终值公式:
F=A+A(1+i)+A(1+i)2+A(1+i)3+…+A(1+i)n-2+A(1+i)n-1①
将式①两边×(1+i)得式②:
(1+i)F=A+A(1+i)+A(1+i)2+A(1+i)3+…+A(1+i)n-1+A(1+i)n②
式②-式①,得等额分付年金终值公式:

式(3-13)中
为等额分付年金终值系数,亦可用(F/A,i,n)表示。其值可以通过查“等额支付年金终值系数表”求得。则式(3-13)可简化为:
F=A(F/A,i,n) (3-14)
【例3-7】 某采油厂连续6年每年年末从利润中提取300万元存入银行,年利率为10%,问6年后一次可以提取多少万元?
【解】 根据题意画现金流量图如图3-10所示。
查复利系数表,i=10%,n=6的等额支付终值系数(F/A,10%,6)为7.716,由式(3-14)得:
F=300(F/A,10%,6)=300×7.716=2314.8(万元)
6年后一次可以提取2314.8万元。
2.等额支付资金积累公式
已知第n期期末的将来值为F,期利率为i,求连续n期每期期末的等额支付值A。等额支付资金积累公式是上述等额支付终值公式的逆运算,现金流量图如图3-11所示。由式(3-13)直接推导出等额支付资金积累公式:

图3-10 等额提取300万元的现金流量图

图3-11 等额序列的现金流量图

式(3-15)中
为等额支付资金积累系数,亦可以用(A/F,i,n)表示,其系数可查“等额支付资金积累系数表”求得。则式(3-15)可简化为:
A=F(A/F,i,n) (3-16)
【例3-8】有一炼油厂欲在8年末更新一台设备,其购置费为40万元,年利率为10%。现在每年应该存入银行多少万元?
【解】根据题意画现金流量图如图3-12所示。
查复利系数表,i=10%,n=8的等额支付资金积累系数(A/F,10%,8)为0.087 44,由式(3-16)得:
A=F(A/F,i,n)=40(A/F,10%,8)=40×0.087 44=3.498(万元)
现在每年应该存入银行3.498万元。
3.等额支付年金现值公式
已知每期期末等额支付资金为A,连续支付n期,期利率为i,求现值P。现金流量图如图3-13所示。

图3-12 40万元购置费的等额序列现金流量图

图3-13 等额支付序列现金流量图
在考虑资金时间价值的条件下,n年内系统的总现金流出等于总现金流入,则第0年末的现金流出P应与从第1年到第n年的等额现金流入序列等值,P就相当于等额年值序列的现值。
将式(3-13)两边各乘以
,可得到等额支付年金现值公式:

式(3-17)中
为等额支付年金现值系数,亦可以用(P/A,i,n)表示。其系数可查“等额支付年金现值系数表”求得。则式(3-17)可简化为:
P=A(P/A,i,n) (3-18)
【例3-9】 某石油工程项目建成后预计每年可获利1000万元,其寿命期为10年,银行存款年利率为10%。问如果该项目可行,总投资应控制在多少万元以内?
【解】根据题意,现金流量图如图3-14所示。

图3-14 每年可获利1000万元的等额序列现金流量图
查复利系数表,i=10%,n=10的等额支付年金现值系数(P/A,10%,10)为6.144,由式(3-18)得:
P=A(P/A,i,n)=1000(P/A,10%,10)=1000×6.144=6144(万元)
总投资应控制在6144万元。

图3-15 等额序列现金流量图
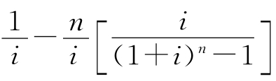
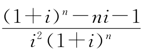
4.等额支付资金回收公式
已知现值为P,期利率为i,求连续n期每期期末的等额支付值A。等额支付资金回收公式是上述等额支付年金现值公式的逆运算,现金流量图如图3-15所示。由公式(3-17)直接推导出等额支付资金回收公式:

式(3-19)中
为等额支付资金回收系数,亦可以用(A/P,i,n)表示。其系数可以查“等额支付资金回收系数表”求得。则式(3-19)可简化为:
A=P(A/P,i,n) (3-20)

图3-16 投资200万元的等额序列现金流量图
【例3-10】某石油工程项目投资贷款200万元,银行4年内等额收回全部投资贷款,已知贷款利率为10%,该项目每年的净收益至少应有多少万元?
【解】 根据题意画现金流量图如图3-16所示。
查复利系数表,i=10%,n=4的等额支付资金回收系数(A/P,10%,4)为0.315 47,由式(3-20)得:
A=P(A/P,i,n)=200(A/P,10%,4)=200×0.31547
=63.09(万元)
该项目每年的净收益至少应有63.09万元。
(三)均匀梯度系列公式
已知第一期期末支付值为A1,以后每期期末等额增加(或减少)支付值为G,连续支付n期,期利率为i,求每期等额支付值A。现金流量图如图3-17所示。

图3-17 等额增加(减少)序列现金流量图
以等额增加支付系列的情况来分析。比较简单的方法是把一个均匀增加的支付系列看成是由两部分组成的:一个是等额支付系列,其等额支付值为A1;另一个是由0,G,2G,3G,…,(n-1)G所组成的梯度系列,我们可以把它转换成等额支付值为A2的等额支付系列。这样,所求的等额支付年值A=A1+A2,如图3-18所示。
A1是已知的,A2可通过梯度系列分解而求得。

图3-18 等额增加序列分解转换现金流量图
先把梯度系列0,G,2G,3G,…,(n-1)G分解为(n-1)个年末支付值为A的等额支付系列,并通过等额支付终值公式求得终值。其现金流量如图3-19所示。

图3-19 梯度系列现金流量图
那么,梯度系列的终值F为:

因此,均匀梯度系列终值公式为:

式(3-21)中
为均匀梯度系列终值系数,可用(F/G,i,n)表示,所以,式(3-21)又可以表示为:
F=G(F/G,i,n) (3-22)
将式(3-21)两端乘以系数
,则可得均匀梯度系列现值公式为:

化简得:
式(3-23)中
为均匀梯度系列现值系数,可用(P/G,i,n)表示,式(3-23)又可以表示为:
P=G(P/G,i,n) (3-24)
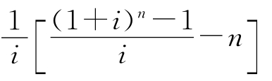
求出将来值以后,再根据等额支付系列资金积累公式求得等额支付值A。将F代入式(3-15)得:

式(3-25)中
称为梯度系数,常用(A/G,i,n)表示,其值可通过查“梯度系列等额增加(或等额减少)系数表”求得。
等额增加支付年值公式为:A=A1+A2=A1+G(A/G,i,n) (3-26)
等额减少支付年值公式为:A=A1-A2=A1-G(A/G,i,n) (3-27)
【例3-11】 某油田原油成本第一年为100元,以后9年每年递增5元。若银行存款利率为10%,问每年的平均成本是多少?
【解】 查复利系数表,i=10%,n=10的梯度系列等额增加(减少)系数表(A/G,10%,10)为3.7255,根据式(3-26)得:
A=A1+A2=A1+G(A/G,i,n)=100+5(A/G,10%,10)
=100+5×3.7255=118.83(元)
每年的平均成本是118.83元。
三、资金等值计算
(一)求利率问题
【例3-12】 要使目前的1000元与10年后的2000元等值,年利率应该为多少?
【解】 F=P(1+i)n
2000=1000(1+i)10
解得:i=7.17%
年利率应该为7.17%。
(二)求计息期问题
【例3-13】 如果年利率为5%,现在1000万元的投资经过多少年后可达到2000万元?
【解】 F=P(F/P,i,n)
2000=1000(F/P,5%,n)
(F/P,5%,n)=2.0
查一次支付复利系数表得:当i=5%时,落于14~15年之间。
n=14时,(F/P,5%,14)=1.980
n=15时,(F/P,5%,15)=2.079
用直线内插法可得:
解得:n=14.2(年)
现在1000万元的投资经过14.2年后可达到2000万元。
(三)支付周期与计息周期一致的问题
【例3-14】 某石油企业在3年后建成一座新的办公楼,若每季度末从企业盈利中提取10万元作为存储资金,若银行年利率为12%,每季度计息一次,问这笔资金在3年末是多少?
【解】 根据题意画出现金流量图如图3-20所示。

图3-20 现金流量图
据题意,显然这是一个等额支付问题。在这里付息周期是一年,计息周期是一季度,支付周期也是一季度,可直接套用公式计算:

查表得:(F/A,3%,12)=14.192
所以:F=10×14.192=141.92(万元)
这笔资金在3年末是141.92万元。
(四)支付周期大于计息周期的问题
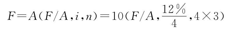
【例3-15】 在例3-14中,若把每“季度”末改成每“年”末从企业盈利中提取10万元,其他条件不变。那么这笔资金在3年末是多少?
【解】 据题意画出现金流量图如图3-21所示。
这也是一个等值支付问题,在这里计息周期还是一季,而支付周期却换成了一年。显然,支付周期大于计息周期,不可以直接套用公式计算。要解决这类问题,需使计算期与支付期一致起来,计算方法有以下3种。
方法一:计算期向支付期靠拢,求出支付期的实际利率,其年实际利率。

图3-21 现金流量图

则:F=A(F/A,i,n)=10(F/A,12.55%,3)
查复利系数表得:(F/A,12%,3)=3.374
(F/A,15%,3)=3.472
用直线内插法可得:

所以:F=10×3.392=33.92(万元)
方法二:支付期向计算期靠拢,求出计算期末的等额支付。

方法三:把等额支付的每一个支付看作一次支付,求出每个支付的终值。

这笔资金3年末是33.92万元。
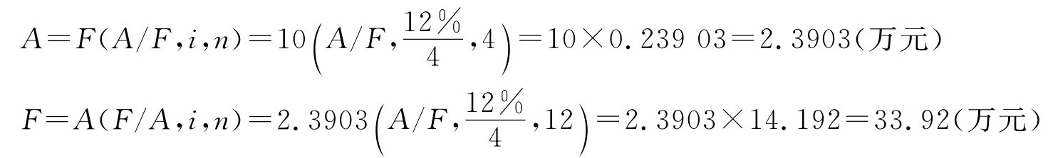
(五)计息期大于支付周期的问题
【例3-16】 在例3-14中,若把“每季度计息一次”改成“每年计息一次”,其他条件不变。那么这笔资金在3年末是多少?
【解】 据题意画现金流量图如图3-22所示。

图3-22 现金流量图
这又是一个等额支付问题。在这里付息周期还是一年,支付周期还是一季,而计息周期却换成了一年。支付周期小于计息周期,也不可以直接套用公式计算。
要解决这类问题,应遵循以下原则:在计息周期内的存款,应在本计息周期末开始计息(相当于在下一个计息期初存入这笔金额);在计息周期内的提款,应在本计息周期初结束计息(相当于在前一个计息期末提取了这笔金额)。即以计息周期为准,计息周期内的支付款(存款或提款)都不计算利息。这样,该问题可以简化为如图3-23所示。

图3-23 简化后的现金流量图
简化后支付周期变成了一年,与计息周期相等,可以套用公式计算。
F=A(F/A,i,n)=40(F/P,12%,3)=40×3.374=134.96(万元)
这笔资金在3年末是134.96万元。
(六)综合运算问题
【例3-17】 某一石油项目投资100万元,3年后建成投产,项目寿命期为10年,残值为8万元,年利率为10%,请预测每年净值收益多少才能收回本金?
【解】 根据题意画现金流量图如图3-24所示。

图3-24 现金流量图
F1=P(F/P,i,n)=100(F/P,10%,10)=100×2.594=259.4(万元)
F=F1-S=259.4-8=251.4(万元)
A=F(A/F,i,n)=251.4(A/F,10%,7)=251.4×0.105 41=26.5(万元)
每年净值的收益为26.5万元才能收回本金。
【例3-18】 某采油厂购买一台钻机,价值为3500万元。供货商要求先支付500万元,剩余的钱以后分10年等额支付,年利率为12%。但在支付了6年以后,因通货膨胀,银行年利率调整为15%。用户一共需要支付多少钱?这些钱10年末的等值是多少?
【解】 第一步,求用户一共需要支付的钱数。
(1)先求剩余3000万元钱的等额支付值,其现金流量图如图3-25所示。

图3-25 等额支付现金流量图
A=P(A/P,i,n)=(3500-500)(A/P,12%,10)=3000×0.177=531(万元)(2)再求用户一共需要支付的钱数。
500+531×10=5810(万元)
第二步,这些钱10年末的等值是多少?
(1)求开始支付的500万元在第6年末等值。
F=P(F/P,i,n)=500(F/P,12%,6)=500×1.974=987(万元)
(2)求已经支付的6期在第6年末的等值,其现金流量图如图3-26所示。

图3-26 等额支付现金流量图
F=A(F/A,i,n)=531(F/A,12%,6)
=531×8.1158=4309.07(万元)
(3)求开始支付的500万元在第6年末等值和已经支付的6期在第6年末的等值的第10年末的等值是多少?其现金流量图如图3-27所示。
F=P(F/P,i,n)=(987+4309.07)(F/P,15%,4)=5296.07×1.749=9262.83(万元)
(4)求最后支付的4期在第10年末的等值,其现金流量图如图3-28所示。

图3-27 一次支付现金流量图

图3-28 等额支付现金流量图
F=A(F/A,i,n)=531(F/A,15%,4)=531×4.993=2651.23(万元)
(5)这些钱10年末的等值是
9262.83+2651.29=11914.12(万元)
用户一共需要支付5810万元,这些钱10年末的等值是11 914.12万元。
四、资金等值计算小结
为了更好地理解资金时间因素的各种公式,以便与以上的资金等值换算情况进行对比、分析和查阅,现将它们的换算方式名称、计算公式及利率系数等汇总成表3-5。其中一次支付终值公式、一次支付现值公式、等额支付年金终值公式、等额支付年金现值公式、等额支付资金积累公式、等额支付资金回收公式是6个常用的基本公式。这6个常用基本公式中是以一次支付公式为最基本的公式推导出来的。均匀梯度系列公式是在此基础上经过数学运算得到的。在具体运用公式时应注意下列问题:
表3-5 普通复利公式表

(1)利用公式进行资金等值计算时,要充分利用现金流量图。现金流量图不仅可以清楚地反映方案的现金收支情况,而且有助于准确确定计算期数,使计算不致发生错误。
(2)现值P是在当前年度开始时发生,实施方案的初始投资一般发生在方案寿命期初。
(3)终值F是在当前年以后的第n年年末发生。
(4)各期的等额支付A,一般发生在各计息期期末。
(5)本年的年末是下一年的年初。
(6)年金A是在考察期间各年年末发生,当问题包括P和A时,系列的第一个A是在P发生一年的年末发生;当问题包括F和A时,系列的最后一个A和F同时发生。
只有满足上述条件才可套用公式。
(7)存款必须存满一个整计息期时才计算利息。在计息期间存款、提款都不计算利息,要到下一期才计算利息,计息期间的存款应放在期末,而计息期间的提款应放在期初。
(8)当支付周期=计息周期时,可套用公式计算;当支付周期>计息周期时,将名义利率换算成实际利率;当支付周期<计息周期时,计息期内不计算利息。
(9)通过对表3-5的分析可以发现,某些利率系数之间存在着一定的数量关系。

乘积关系:(F/A,i,n)=(F/P,i,n)(P/A,i,n)
(F/P,i,n)=(F/A,i,n)(A/P,i,n)
等差关系:(A/P,i,n)-(A/F,i,n)=i
要注意的是,只有在i、n等条件相同的情况下,P、F、A满足假定条件下,上述系数之间的关系才能成立。抓住了各系数之间的关系,就抓住了计算公式的关键。
思考与练习
1.什么是资金的时间价值?影响资金时间价值的因素有哪些?
2.单利法和复利法的区别是什么?试举例说明。
3.名义利率和实际利率的相互关系是怎样的?
4.资金时间价值计算方法有哪些?
5.某银行为鼓励农民兴修水利,用单利方式向农民贷款80万元,年利率为5%,还款期为3年。
问:(1)1年后银行可获得多少利息?
(2)3年后银行的本利和是多少?
6.某人以单利方式在银行存款50万元,年利率为8%,问多少年后他可以从银行取得现款90万元?
7.某石油企业从银行贷款15万元用于企业设备的更新改造,计划在5年后连本带利一次还清,还款总额为119.5万元,若以单利法计息,问银行贷款的利息率是多少?
8.名义利率和有效利率的本质区别是什么?甲银行的贷款年利率为15%,一年计息一次,其名义利率和实际利率各为多少?乙银行的贷款年利率也为15%,但它一年计息4次,其名义利率和实际利率又各为多少?若乙银行在其他条件不变的情况下,一年计息无数次,其名义利率和实际利率又为多少?
9.工商银行按2%的月利率办理储蓄业务,试分别按单利法和复利法计算下列存款的本利和。
(1)现存入1000元,9个月后取出。
(2)现存入100元,5年后取出。
(3)零存整取,每月存入10元,期限为1年。
10.年利率为12%,求现值。
(1)5年末积累资金为6200元。
(2)每月计息一次,5年末共得6200元。
(3)每年年末支付5000元,连续支付6年。
(4)每季度计息一次,每年年末支付5000元,连续支付6年。
11.年利率为10%,求将来值。
(1)500元存款,存期4年。
(2)3000元存款,每季度计息一次,存期8年。
(3)每年年末存入银行1000元,连续存10年。
(4)每半年计息一次,每月存入300元,连续存3年。
12.年利率为10%,求等额支付。
(1)每年年末支付一次,连续支付6年,6年末积累资金20000元。
(2)贷款5000元,得款后的第一年年末开始归还,连续5年,分5次还清。
(3)每半年计息一次,每年年末支付一次,连续支付10年,10年末积累3500元。
(4)每季度计息一次,每月月末支付一次,连续支付15年,15年末积累17000元。
(5)贷款16000元,连续8年分8次还清,半年计息一次。
(6)贷款5000元,连续两年分8次还清,每季度计息一次。
13.某油田开发投资为1000万元,每年年初投入资金如下表所示。

若贷款利率为10%,按复利计算3种投资方案4年末各欠银行多少钱?其结果说明了什么?
14.某炼油厂投入新产品,第1年末从银行贷款8万元,第2年末又贷款6万元,第3年末用利润还款4万元,若年利率为10%,请问该厂第5年还要还银行多少钱?画出现金流量图。
15.某石油企业兴建一项目,第1年投资20万元,第2年投资30万元,第3年投资50万元,建成后当年受益,寿命期10年,若年利率为12%,问平均年收益多大才能将投资收回?画出现金流量图。
16.某采油厂,第1年投资1000万元,第2年投资2000万元,第3年投资1500万元,投资均在年初发生,其中第2年和第3年的投资使用银行贷款,年利率为12%。该项目从第3年起开始获利并偿还贷款,10年内每年获净收益1500万元,银行贷款分5年等额偿还,问每年应偿还银行多少钱?画出该采油厂的现金流量图。
17.某石油公司购买了一台机器,原始成本为12 000元,估计能使用20年,20年末的残值为2000元。运行费用固定为每年800元。此外每使用5年后必须大修一次,大修修理费用每次2800元。年利率为12%,试求机器的等值年费用。
18.某人借了5000元,打算在48个月中以等额月末支付分期还款。在归还25次之后,他想第26次以一次支付立即归还余下借款,年利率为24%,每月计息一次,问此人归还的总金额为多少?
19.某石油企业2011年初借外资购进设备,按年利率10%计息。外商提出两个还款方案:第一方案要求于2014年年末一次偿还650万美元;第二方案为用产品补偿欠债,相当于2012年、2013年、2014年每年年末还债200万美元。试画出两个方案的现金流量图,并计算哪一个方案更经济?
20.某采油厂向两个银行贷款,甲银行年利率为12.5%,按年计息;乙银行年利率为12%,按月计息。问该厂应向哪个银行贷款?为什么?
21.假如有一财务活动,其现金流量如下图所示。试求按季度计息的一年末的等值现金流量。

某项财务活动的现金流量图
22.某油田勘探开发研究院欲购一办公楼,向银行贷款,借款合同约定,每半年贷款人需支付本利和共2000万元,还款期10年,求10年后的等值将来值。利息分别按下列3种情况计算:
(1)年利率为8%;每年计息一次。
(2)年利率为8%,每半年计息一次。
(3)年利率为8%,每季度计息一次。
23.下列梯度系列等值的年末等额支付为多少?
(1)第1年末存款1000元,以后3年递增存款100元,年利率为5%。
(2)第1年末存款5000元,以后9年每年递增存款500元,年利率为10%。