1.5 国有化改革能改善福利吗?——山西省煤炭业资源整合方案的经济学分析
中南财经政法大学学报

2010年02期     

国有化改革能改善福利吗?

——山西省煤炭业资源整合方案的经济学分析

云凌志1王凤生2

(1.西安交通大学金禾经济研究中心,陕西西安710049;2.台湾高雄大学应用经济学系,台湾高雄81148)

摘要:以当前山西省煤炭业资源整合为背景,构建私有厂商企图逃避社会责任的多厂商寡占模型,通过比较静态分析得出:第一,单纯加强政府监管将会使消费者利益受损,而国有化合并也只有在国有企业效率足够高时才有可能改善消费者剩余;第二,如果社会责任缺失所导致的福利损失足够大,加强政府监管、国有化合并或两者并行都可以改善社会总福利;第三,国有化合并的福利效果并不一定比加强政府监管更好。

关键词:国有化;政府监管;社会责任;混合寡占

自20世纪中叶以来,私有产权较之公有产权更具经济效率的观点渐为学术、实业及政治等各界所接受,并由此引发了被称之为“私有化浪潮”的国际性产权变革,公有产权在全球范围内逐渐缩减。然而次贷危机的爆发扭转了产权变革的方向,至少在某些国家某些产业,私有企业国有化或公有化的现象开始悄然出现,甚至有愈演愈烈之势。对于目前出现的国有化现象,既有理论的解释力似已不足。我们不得不质疑近期出现的国有化现象是否合理,且再度思考公私的边界到底何在,两种产权究竟如何配置才能更有利于全社会的福祉。

一、相关背景及研究

国有企业及其产权问题是经济学研究中经久不衰的热点。早期研究中, Harris和Wiens、Beato 和Mas-Colell以及Cremer等做了开创性的工作,他们认为,追求社会福利最大化的公有企业可视为政府的经济工具,其存在的意义在于缓解不完全竞争市场较之完全竞争市场的效率损失,促使产品的最终配置达到或接近最优(first best)[1] [2] [3]。换而言之,适量的公有企业是以私有企业为主体的市场经济的有益补充。De Fraja和Delbono关注的是国有企业股权私有化的情况,他们研究了一家追求社会福利最大化的国有企业与多家追求利润最大化的私有企业共存的混合寡占格局,并指出如果产品的边际成本上升,私有化可以改善社会福利[4]。Fershtman的研究中,混合寡占格局下部分私有(即混合持股,国有股和私人股各占一定比例)的企业较之完全公有的企业实现了更高的利润。在此研究中,企业的成本是不对称的,公有企业在控制成本方面不及私有企业有效,或者说,公有企业生产同质产品的边际成本较私有企业更高,这也意味着完全国有会导致社会福利的损失[5]。Anderson等的研究指出尽管公有企业私有化在短期会有一些负面福利效应,但是如果经济中允许企业自由进入,则在长期私有化对福利有正面效应,与此同时还增加了市场中产品的多样性[6]。Matsumura勘定了混合寡占中政府对公有企业的最优持股比例及其影响因素,指出即便不考虑成本差异,公有企业也应该进行私有化。如果公有企业的成本显著高于私有企业,完全私有化则成为最优策略[7]

以上为迄今为止与国有企业或国有产权相关的较为经典和奠基性的研究。总而言之,学术界认为国有企业或国有股权会造成经济效率的损失,其数量应该受到控制,但又由于其一定程度的存在有利于社会整体福利的提高,而不宜全然舍弃。在过去几十年中,各国的经济实践与产权改革也一再印证了学术界这一结论的正确性。然而,现有研究几乎都是与公有产权向私有产权的让渡,即私有化相关的,而私有产权向公有产权的让渡,即国有化的研究则无人涉足。但是,当前我们面对的正是这样一种罕见的、大范围的国有化趋势。

国际方面,次贷危机的爆发使欧美银行业受到严重冲击,大量银行因无力自保而不得不向政府求援,而各国政府多要求以股份换援助,致使英、德、美等国许多大型金融机构或已被国有化,或游走在国有化的边缘。与之类似的还有汽车业,著名的通用汽车公司70%的股份或将被美国政府持有,克莱斯勒集团目前也正在政府的扶持下重新组建。国内方面,多个产业领域内,国有企业均呈现出逐渐强势的势态,其中以山西省煤炭业最为引人注目。2008年末至2009年初,山西省政府颁布一系列文件对省内煤炭企业进行“兼并重组整合”,大部分私有煤炭企业、私有小煤矿将被国有煤炭企业兼并重组。根据山西省政府的要求,至2010年山西省煤矿企业数量将从2 200个减少至130个,要形成3个亿吨级和4个5 000万吨级的大型煤炭企业集团。此次对小煤矿的整合力度之大前所未有,被称之为煤炭资源领域的“国进民退”,引起社会各界的广泛关注。而且其影响范围有逐步扩大之势,据称内蒙古、河南等地正欲仿效山西的做法。

需要指出的是,目前发达国家出现国有化现象的起因一般是陷于经营困境的私有企业为了得到政府援助而自愿出让私有产权;而山西省的情况则是政府以(私有)企业“破坏生态、浪费资源、草菅人命、腐蚀干部”为由,以行政法令的方式,迫使私有企业出让产权。有评论认为,山西省整改方案涉嫌违反国家关于民营经济的政策、损害政府信用及侵害私人财产权等。而本文认为,即便搁置此方案在政策法律方面的争议,单就其经济效果而言也未必是乐观的。之所以出现破坏生态、低效生产、矿难频发等负面后果,直接原因在于私有矿主对社会责任的逃避,而逃避的动机在于逃避社会责任带来的成本节约,如缩减在配备安全设施、采用高效环保生产技术方面的支出等。如果政府能够通过加强监管使企业切实履行此责任,那么国有化的整改就可能不是必然的解决手段。

本文将以山西省煤炭业资源整合为主要建模背景,抽象相关经济现象,通过构建多厂商(混合)寡占模型,用比较静态的方法就特定政府政策之下的消费者剩余和社会福利进行对比分析,以研究社会责任、政府监管与产权改革之间的关系,考察山西省煤炭业改革方案的合理性。

二、模型构建与均衡分析

(一)模型的构建

本文建模逻辑思路如下:私有企业有逃避社会责任以节约成本的动机,而逃避社会责任将造成巨大的社会福利损失,如环境污染的危害。企业国有化和加强政府监管都是解决社会责任承担问题的可行途径。加强监管将引致政府支出的增加,即监管成本,但这种成本远小于社会责任缺失所造成的社会损失。如果将若干私有企业合并成为国有企业,国有企业因政府直接控管而必然会承担起相应的社会责任,同时其纯技术性的生产效率可能会因为规模经济而有所提高。然而,由于国有企业管理的低效率,规模经济带来的效率改善可能会被冲减。决策者必须在监管成本与可能的国有化效率损失两者之间做出权衡。

基于以上逻辑设想,简化、抽象相关经济现象,设定模型如下:设市场中原有n家私有厂商,分别冠以编号1,2 ,…, n;市场反需求函数为p=A -Q ,其中Q为各厂商总产量,即表示厂商i的产量,i =1,2,…,n。私有厂商i如逃避社会责任,其成本函数为;如履行社会责任,其成本函数为。显见,承担社会责任使得厂商对每一单位的生产都要付出更多的代价。因此,如果没有政府的严格监管,厂商一定会选择逃避社会责任。如果实施国有化合并,市场上将剩余私有厂商m家,冠以编号1, 2,…,m ;其余n-m家原私有企业整合成为一家国有企业,编号为0。国有企业追求社会福利最大化,主动承担相关社会责任,成本函数记为。g2不一定等于g1,原因在于:国有企业管理低效率和合并众多私有企业出现规模经济。如果前者占主导地位,则g2>g1;反之, g1>g2。如果私有厂商逃避社会责任,社会福利将由于环境污染或生产事故等出现损失,记为H ;而政府如果施行严格监管,迫使私有厂商承担社会责任,需要监管成本E。

(二)模型均衡

基于以上模型假设,根据政府政策的不同分四种情况分析市场均衡结果:(1)维持私有产权,不加强监管(即初始状态);(2)维持私有产权,加强监管;(3)国有化合并,不加强监管;(4)国有化合并,且加强监管。为便于识别处于不同情况中的同一变量,本文接下来用四种上标分别指代以上四种情形, 即PL (private market &loose regulation)、PS (private market &strict regulation)、ML (mixed market &loose regulation)、MS (mixed market &strict regulation)。

1.维持私有产权,不加强监管。在此情形中,市场中全部企业均为私有,追求自身利润的最大化。又因为没有严格的政策管制,厂商没有动机维护社会利益,继而社会福利将因此损失H。综上可知,厂商i的目标函数为;社会总福利为,其中CS为消费者福利,

由一阶条件可得单家厂商产量为

继而可得总产量及社会总福利分别为:

2.维持私有产权,加强监管。在此情形中,政府不改变企业的产权结构,而是加强监管和执法的力度,迫使私有企业履行相应的社会责任。如此,社会福利损失H将被避免,但政府也必须为此付出监管成本E。综上可知,厂商i的目标函数为,社会总福利为

由一阶条件可得单家厂商产量为

继而可得总产量及社会总福利分别为:

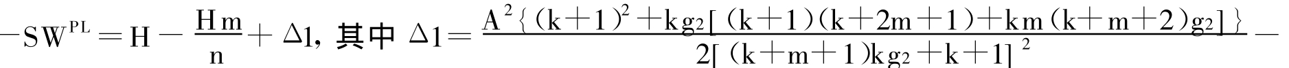
3.国有化合并,不加强监管。政府将n -m家私有企业整合成为一家国有企业,使市场上只剩m +1家企业混合寡占,但没有同时加强监管力度。如此,市场总产量变为;以社会福利最大化为经营目标的国有企业将履行社会责任,享受到规模经济带来的效率提升并同时受到公有产权导致的效率约束,最终形成成本函数;私有企业由于没有受到额外的监管压力,仍然坚持原成本函数。如此,政府节约了监管支出E ,社会福利又出现了额度为的损失,即SW =

由一阶条件得到两类企业的反应函数分别为:

联立解得,继而可得总产量及社会总福利分别为:

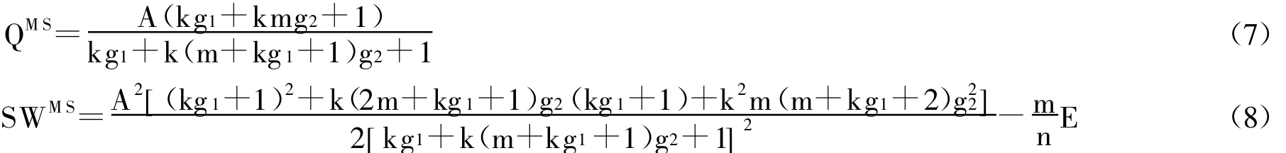
4.国有化合并,且加强监管。政府将n -m家私有企业整合成为一家国有企业,使市场上只剩m +1家企业混合寡占,并同时加强监管力度。则与情形3类似:市场总产量变为;国有企业成本函数。而不同点在于,由于监管的加强,私有企业被迫选择成本函数,如此,社会福利免受的损失,但政府必须为此付出额度为的监督成本,即

由一阶条件得到两类企业的反应函数分别为:

联立解得,继而可得总产量及社会总福利分别为:

三、政策有效性及选择

以上列举了四种政策组合之下将出现的经济绩效,而最终的政策选择则取决于对经济绩效的比对与取舍。本文将基于消费者剩余和社会总福利两个评价标准,采用比较静态分析的方法,通过政策有效性检验和最优政策选择两个阶段,评价相关政策。

(一)政策的有效性检验

所谓政策的有效性,系指对于一定衡量指标,某一政策在实施之后的绩效较之前是否有所改善以及改善的程度。以情形1的政策效果为参照,分别以消费者剩余和社会总福利为衡量指标,考察情形2、3及4中政策的有效性。

1.消费者剩余。由于需求函数既定,故消费者剩余与产量的关系既定,即,因此比较不同情形下的消费者剩余只需比较总产量即可。

比较式(1)与式(3)可得, QPS<QPL。即不改变产权而只加强监管将必然导致产量的下降,继而导致消费者利益的损失。其原因在于履行社会责任使得在位企业成本提高,而所有在位企业均为私有,利润动机促使其降低产量。

比较式(1)与式(5)可得,如果,则QM L>QPL;反之如果,则QM L<QPL。而比较式(1)与式(7)可得,如果,则QMS>QPL;反之如果,则QMS<QPL。由此可见,国有化政策是否能维护或改善消费者剩余,关键是新合并的国有企业效率如何。如果国有企业能将规模经济的优势发挥充分,或有效控制国有企业内部的低效率问题,使得最终的生产效率达到一定水平,国有化政策可以提高产量,改善消费者福利;反之反是。注意到,这意味着在实施国有化政策的同时,如果加强监管,那么产量得以改善的条件将更加苛刻,也就更加难以达到。综合上述分析,可得命题一。

命题一:基于本文模型假设之情形,不改变私有产权而只加强监管的政策必将导致产量的下降,进而使消费者福利受损;而国有化合并政策,如果国有企业的生产效率足够高,则可促进产量的提高,进而改善消费者福利。

2.社会总福利。如果维持私有产权而只加强监管的政策有效,则SWPS>SWPL。由式(2)及式(4)可知其成立条件为。鉴于社会责任缺失造成的生态环境破坏或人身伤亡是难以弥补且在经济数额上也是难以估量的,而监管所需的行政费用毕竟有限,因此笔者认为H E是一个合理的假设。如果H E,则可被满足,进而SWPS>SWPL成立,即维持私有产权而只加强监管的政策是有效的。

如果实施国有化合并但不加强监管的政策有效,则SWM L>SWPL。由式(2)及式(6)可知SWM L由于,则如果H足够大且未超过一定限值,可以有SWM L-SWPL>0,即实施国有化合并但不加强监管的政策有效。

如果实施国有化合并且加强监管的政策有效,则SWMS>SWPL。由式(2)及式(8)可知SWMS-,其中。由于,则如果H足够大,有SWMS-SWPL>0 ,即实施国有化合并且加强监管的政策有效。综合上述分析,可得命题二。

命题二:基于本文模型假设之情形,如果企业社会责任缺失造成的社会损失较之监管成本足够大,无论是维持私有产权只加强监管,还是实施国有化合并或兼之加强监管,都可以改善社会总福利,即都是有效的政策。

(二)最优政策选择

前已证明,在一定条件下,维持私有产权只加强监管、实施国有化而不加强监管和实施国有化且同时加强监管三种政策都是有效的,那么是否国有化的政策就一定是最优的呢?国有化的同时是否一定需要再加强政府监管呢?以下将逐一分析。

首先分析国有化的必要性。由式(6)和式(4)可得,其中,

如果H>>E的假设成立,那么E。继而如果Δ3 <0,则必然有SWML-SWPS<0;如果Δ3>0 ,则SWML-SWPS的符号依赖于H -E与 Δ3 的对比,但Δ3为正的样本数比例不高于46%。因此综上所述,在多数情况下,单纯的国有化合并还不如只加强监管更有效。

由式(8)和式(4)可得,其中,

显见,然而Δ4 <0,因此SWMS-SWPS的符号依赖于的对比。如果监管实施相当困难,即监管成本足够高,或未超过一定限值,以保证,则国有化合并且加强监管的政策较之只加强监管的政策为佳。反之,则只加强监管的政策效果较好。综合以上两点分析,得到命题三。

命题三:基于本文模型假设之情形,单纯加强监管政策优于单纯国有化合并政策的机率较大;只要监管成本没有高至某一限值,监管政策较之国有化且加强监管的政策更有利于社会总福利的改善。

退而言之,如果国有化政策势在必行,那么是否一定需要同时加强政府监管呢?

由式(8)和式(6)可得,,其中,

如果H E的假设成立,那么;然而Δ5的符号为负,这使得SWMS-SWML的符号依赖于的对比。于是得到命题四。

命题四:基于本文模型假设之情形,如果企业社会责任缺失造成的社会损失较之监管成本足够大, 且(或)合并之后剩余厂商足够多,实施国有化合并且同时加强政府监管优于单纯实施国有化合并。

四、结论

综合前文分析与结论可知:维持私有产权且加强政府监管的政策,将导致生产成本增加继而将致使市场供给下降,因此消费者的利益会受到一定影响。然而这项举措毕竟避免了企业逃避社会责任所造成的巨大社会危害——如果这个危害确实足够大,综合而言其是有利于社会整体利益的。而且,很可能在多数时候——很遗憾本文未能就此进一步量化分析,其是优于国有化政策的。

如果实施国有化合并政策,那么国有企业的生产成本将决定于两个影响因素在私有企业成本基础上的调整,正相关因素为国企相对于私企的无效率程度,负相关因素为合并所带来的规模经济效应。当这个最终成本足够低,即国有企业的效率足够高时,这项措施才有可能保证市场供给不像加强政府监管时下降。基于同样的前提——逃避社会责任所造成的社会危害足够巨大,而且未被合并企业足够多,国有化合并也是可行的方案。

依然是需要逃避社会责任所造成的社会危害足够巨大这一前提,在实施国有化合并的同时加强政府监管的政策可以改善社会福利。继而,如果合并企业足够多且监管的成本高至一定程度,其政策效果可优于单纯加强监管;但是,较高的合并比例和监管成本同时也降低了其政策效果优于单纯国有化合并的可能性,使“双管齐下”的监管变得多余。

具体到山西省煤矿企业的改革方案上,根据上述结论,其选择国有化合并兼加强政府监管的措施虽然不一定是最优的方案,但亦有为最优的可能。然而,尚有三点需要提请注意:首先,私有企业逃避社会责任所造成的社会危害是否真的大到了无以复加?因为如果尚有其他相对经济的方案可挽回这种损失,如普及人身保险、污染处理社会化等,则这种危害客观上极大的假设不能成立,那么上述结论的适用性将大打折扣,届时国有化政策有可能不仅不是最优,甚至存在其对社会福利的影响为负面的可能。其次,事实上,国有化合并还将造成大量的本模型未涉及的“隐形成本”,如私有企业的赎买定价、不同企业间资源的重新配置与协调等。如果将这些成本也列入考量的话,国有化政策为最优的可能性将降低。最后,模型中国有企业的生产成本可以较低,这一假设很可能是过于苛刻了。因为,其一,国有企业不能逃避社会责任;其二,国有企业的管理效率很可能不会比私企更高,否则三十年前中国就没有必要进行改革;其三,很难想象分散区位的横向合并能带来很显著的规模经济效应。然而,若国有企业的成本不够低,那么市场供给将下降,消费者利益亦将受损,国有化的合理性便又少了一分。

综上所述,改变企业产权、实施国有化合并不是解决社会责任逃避问题的必然途径,更不见得是最优选择。选择国有化,须慎之又慎!

注释:

①模型中存在多家国有企业与存在一家对结果没有影响,故为简便起见设定私企合并为一家国有企业。

②关于Δ1、Δ2、Δ3、Δ4及Δ5的符号判断见以下说明:由于Δ1、Δ2、Δ3、Δ4及Δ5的表达式较为复杂,不便得出直观的数理结果,故采用数值检验的方式确定其符号之正负。根据模型假定,通过以下步骤为各个变量取若干样本值点:令A =1(其不影响结果的正负);定义g1的取值区间为[1, 3] ,取值步长为0.1,即在取值区间[1, 3]内每隔0.1取一个样本值;定义g2的取值区间为[0, 3] ,取值步长为0.1;定义n的取值区间为[10, 5000] ,取值步长为100;定义m/n的取值区间为[0.1, 0.9] ,取值步长为0.1;定义k的取值区间为[0, 3] ,取值步长为0.1;如此,这些样本值点将产生8.1×105种组合,即每一个接受检验的变量(表达式)将有8.1×105个赋值。然后计算其中正值(负值)出现的比例,以作为其真实值为正(负)的概率的近似。经Mathematica 6.0运算得到结果如下:

参考文献:

[1] Harris, R.G ., Wiens, E.G.Government Enterprise:An Instrument for the Internal Regulation of Industry[J] . Canadian Journal of Economics, 1980, (13):125—132.

[2] Beato , P ., Mas-Colell, A.The Marginal Cost Pricing as a Regulation Mechanism in Mixed Markets[C]//Merchand, M ., Pestieau, P ., Tulkens, H.The Performance of Public Enterprises.Amsterdam:North-Holland, 1984.

[3] Cremer, H., Marchand, M ., Thisse, J-F.The Public Firm as an Instrument for Regulating an Oligopolistic Market[J] .Oxford Economic Papers, 1989,(41):283—301.

[4] De Fraja, G., Delbono , F .Game Theoretic Models of Mixed Oligopoly[J] .Journal of Economic Surveys, 1989, (4):1—17.

[5] Fershtman, C.The Interdependence between Ownership Status and Market Structure:The Case of Privatization[J] .Economica, 1990,(57):319—328.

[6] Anderson, S.P., Palma, A.D., Thisse, J-F.Privatization and Efficiency in a Differentiated Industry[J] .European Economic Review , 1997,(41):1635—1654.

[7] Matsumura, T.Partial Privatization in Mixed Duopoly[J] .Journal of Public Economics, 1998, 70(3):473—483.

(责任编辑:易会文)

作者简介:云凌志(1982—),男,回族,山东临清人,西安交通大学金禾经济研究中心博士生;王凤生(1950—),男,台湾高雄人,台湾高雄大学应用经济学系教授。

收稿日期:2009-11-16

中图分类号:F121

文献标识码:A

文章编号:1003-5230(2010)02-0123-07