目录
1
大学物理教学视频
1.1
上海交通大学 大学物理
2
大学物理上册复习提纲
2.1
第一章 质点运动学
2.2
第二章 牛顿定律
2.3
第三章 动量守恒定律和能量守恒定律
2.4
第四章 刚体的转动
2.5
第五章 振动
2.6
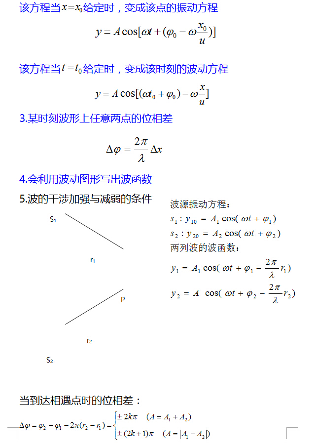
第六章 波动
2.7
第七章 气体动理论
2.8
第八章 热力学基础
2.9
教材及复习资料
3
大学物理下册复习提纲
3.1
第九章 静电场
3.2
第十章 静电场中的导体和电介质
3.3
第十一章 恒定磁场
3.4
第十二章 电磁感应
3.5
第十三章 波动光学
3.6
第十四章 相对论
3.7
第十五章 量子物理
3.8
教材及复习资料
2.6
第六章 波动
上一页
下一页