比表面积分析方法—气体吸附法,因其测试原理的科学性,测试过程的可靠性,测试结果的一致性,在国内外各行业中被广泛采用,成为公认的成熟测试方法。
单位质量固体(多指粉体或多孔材料)的总表面积(m/g)。
比表面积分析方法—气体吸附法,因其测试原理的科学性,测试过程的可靠性,测试结果的一致性,在国内外各行业中被广泛采用,成为公认的成熟测试方法。
相关的国家和国际标准如下:
ISO-9277 / GB/T19587-2004 气体吸附BET法测定固态物质比表面积
气体吸附法是依据气体在固体表面的吸附特性,在一定压力下,被测样品(吸附剂)表面在超低温下对气体分子(吸附质)的可逆物理吸附作用,并对应一定压力存在确定的平衡吸附量。通过测定平衡吸附量,利用理论模型等效求出被测样品的比表面积。由于实际样品外表面的不规则性,该方法测定的是吸附质分子所能到达的颗粒外表面和内部通孔总表面积之和,如图所示意位置。
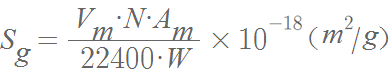
氮气因其易获得性和良好的可逆吸附特性,成为最常用的吸附质。通过这种方法测定的比表面积我们称之为“等效”比表面积,所谓“等效”的概念是指:样品的比表面积是通过其表面密排包覆(吸附)的氮气分子数量和分子最大横截面积来表征。实际测定出氮气分子在样品表面平衡饱和吸附量(V), 通过不同理论模型计算出单层饱和吸附量(Vm),进而得出分子个数,采用表面密排六方模型计算出氮气分子等效最大横截面积(Am),即可求出被测样品的比表面积。计算公式如下:

Sg: 被测样品比表面积 (m2/g)
Vm: 标准状态下氮气分子单层饱和吸附量(ml)
Am: 氮分子等效最大横截面积(密排六方理论值Am = 0.162 nm2)
W: 被测样品质量(g)
N: 阿佛加德罗常数 (6.02x1023)
代入上述数据,得到氮吸附法计算比表面积的基本公式:

由上式可看出,准确测定样品表面单层饱和吸附量Vm是比表面积测定的关键。

名称:高性能气体和蒸汽吸附仪
型号:Belsorp-max
主要规格及技术指标:
分析站:
标准模式:3个比表面和孔隙分布,蒸汽吸附
高精模式:2个低比表面,微孔孔隙分布
高精模式:1个(可选2个)化学吸附,微孔孔隙分布,低比表面
比表面积:大于0.01m2/g(N2/77K,Ar/87K);大于0.0005m2/g(Kr/77K)
孔隙(孔径)分布:0.35-500nm(直径)
主要功能及特色:
1.超低压力测定:标配分子涡轮泵和高精度压力传感器(一个13.3Pa/0.1Torr,两个1,33kPa/10Torr,五个133kPa/1000Torr);
2.采用高气密性的气动阀控制,较传统的电磁阀,同样时间内保持真空度高出3个数量级;
3.多样品测量:可以实现一个站的微孔孔隙测定,2个站的Kr同时测定低比表面,3个站的介孔孔隙和比表面积同时测定。