1. 关于调光路视频教程的后续思考
激光光束的直径应远小于反射镜的通光孔径,一般规则是将光束直径限制在反射镜直径的三分之一以内。如果镜面太小,打在镀膜边界的光束可能发生散射、衍射和渐晕,甚至被镜片边缘切削。使用较大反射镜不仅不容易引入像差,而且更方便操控光束。
建议反射镜直径至少为光束1/e²直径的三倍
高斯光束一般采用1/e²强度点定义光束直径,即光强降为中心峰值强度的1/e²时的直径。如果观察可见光,虽然光斑可能看起来都处于1/e²直径范围内,但实际上此范围之外还有可测量功率。
高斯光束的功率分布
总功率的86%分布在1/e²直径(2)范围内
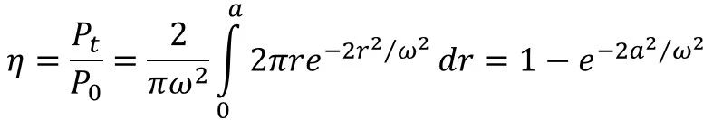
高斯光束的横向强度分布为:
当高斯光束通过圆形孔径时,在整个孔径上积分可算出通过圆孔的功率与总功率的比值:
a:圆孔半径
:1/e²光束半径
a = 1.52时, = 99%
a = 2.时, = 99.96%

因此,当反射镜直径为光束1/e²直径的1.52倍时,反射镜可以反射99%的总功率;当反射镜直径达到光束1/e²直径的2倍时,这个比例超过99.96%。但是如果光束和反射镜不同中心,实际比例将减小。
反射镜只有在通光孔径范围内才能保证满足指定的光学性能。镀膜光学元件的示意图如下所示,虚线圆内才是通光孔径,镀膜孔径大于通光孔径,最外一圈是倒角。

因为通光孔径之外的性能是未知的(由于生产工艺边缘的表面质量会更差),所以最好的做法是将光束限制在通光孔径范围内。而且,对于斜入射情形,圆形光斑将变椭圆,倾斜越大,光斑被拉得越长(入射角余弦的倒数倍)。超出通光孔径的光束可能被反射镜边缘切削。

如果反射镜直径达到光束直径两倍,且光束打在反射镜正中心,这样可以维持光学质量并反射几乎全部光功率。但是,任何偏离都会影响光束质量。使用较大反射镜不仅操控和对准光束更灵活,而且在光束未对准镜面中心时也能使用。综上所述,使用通光孔径至少为光束直径三倍的反射镜更加方便。
导致激光指向角度偏差的原因有很多种,比如激光器的安装偏差、激光腔和外壳未完全对准、内部传输光学元件导致的偏差。下面是调光路演示视频中的一个片段,介绍激光指向角度偏差原因和校正方法。
如果激光器外壳为圆柱形,测量角度偏差可将激光器放置在V形调整架中,然后绕长轴旋转激光器并记录光斑追迹圆的直径。准直激光器经常会提供最大角度偏差规格,比如此处PL202激光模块的最大偏差是5毫弧度,约0.3度。
校正光束指向角的一种方法是将激光器固定在光学调整架中,以此调节激光器的俯仰和偏转。V形调整架可以安装多种外径兼容的圆柱形组件,无需另加转接件。

V形调整架示例:KM100V/M和C1513/M有些光学调整架具有固定的内孔,为了使激光器外径和调整架内径兼容,可以使用不同的转接件,包括一些设计用于圆柱形或SM螺纹组件的转接件。


下方视频介绍如何使用AD11NT转接件将PL202准直激光模块安装在KM100光学调整架中。在安装转接件之前,先把激光器从后面穿进调整架。因为安装孔后端有一个阻挡圈,虽然这个阻挡圈方便安装Ø1英寸光学元件,但是Ø1英寸转接件无法从这端穿过,所以转接件必须安装在没有调节器的一侧。
视频见链接
使用AD11NT转接件将PL202准直激光模块
很多光机组件都通过尼龙顶丝固定,比如视频中的转接件和激光器,这是因为尼龙顶丝既能稳定的夹持力又不会刮伤表面。
链接:https://mp.weixin.qq.com/s/m7aB95EE9eJJ9oP92VQNIA
2. 一种调光路的新方法 | Thorlabs技术拜年篇

OpenSPIM显微镜对准教程中的渲染图
很多光学实验都要求将激光打在多个光学元件的中心。下图是对准转向光路的一种基本配置。现在要使M2反射的激光既平行于光学平台的每一排螺纹孔,又平行于光学平台的表面。和我们之前视频中使用两组底座和光阑不同的是,本文介绍一种略有不同的方法,只用一组底座和光阑实现对准目的。

初始光路
首先将光阑安装在底座上;光阑可通过RA90直角转接件安装,使其高度和水平位置都能连续调节。然后在M2反射镜旁边的两个相邻螺孔中拧入两个螺丝,并沿同一排螺孔在尽可能远的地方再拧入两个螺丝。粗略设好两个调整架的位置,调节每个反射镜的角度,使得激光看起来能满足两个平行要求。


光阑安装示例 RA90直角转接件用法
接下来把安装光阑的底座紧靠近点的螺丝放置,调节光阑的位置使激光通过光阑。这时不要调反射镜。这对应于上图中的第2步。
接下来把安装光阑的底座紧靠远点的螺丝放置,调节反射镜的俯仰/偏转角度使激光通过光阑。这时不要调光阑。这对应于上图中的第3步。
然后把光阑放回近点,并多次重复上述两个步骤,最终做到激光不用调节指向就能通过两个位置上的光阑。但如果调节过程中激光打到了反射镜的边缘,您就得重新放置反射镜和对准。
这样就能使激光既平行于光学平台的每一排螺纹孔,又平行于光学平台的表面。这个对准技巧来自美国科尔盖特大学Enrique Galvez教授的本科量子光学实验手册。它巧妙地利用四个螺丝确定参考线,原始操作步骤如下图所示。

Galvez教授的光路对准装置
另外,如果像我们之前的演示视频中使用两组BA2底座和光阑,由于底座安装点的间距匹配光学平台的孔距,相当于光阑也是处于螺孔中心的,因此激光对准效果和上述方法相同。

www.thorlabs.com/insights ... 对准标签
链接:https://mp.weixin.qq.com/s/nMuVu5QFEFTCyjTrTw4VBg
3. 光学显微镜参考书单
光学是一门您可以通过广泛阅读而受益匪浅的学科。很多概念并不是那么难,如果熟悉了不同光学现象的原理和演变,各种问题就会像光速一样飞快消逝。那从何读起呢?一个不错的起点是只看应用文章的简单部分,忽略所有公式(至少是很难的公式),开始对各种概念有基本的理解。即使是搭建非常复杂的光学系统,您需要的大部分信息就是这些,而课堂上会强调您真正需要的公式。对于如此综合而优美的一门学科,这类公式其实很少。
所以在列举书单之前,我们先简单提一下技术文章。这是因为某些最有帮助的材料并不在课本中,而是在光学公司的白皮书或应用说明书中。就技术实用性而言,比如怎样选择和使用合适的组件搭建装置,教材有时候落后很多年,甚至完全不提这方面的信息。但商业产品更新很快,而每个公司为了让客户熟悉并购买自己的产品,必须投入很多人力才能制作出一份好的技术手册。就Thorlabs而言,最全面的技术资料整合在下述网页中。

www.thorlabs.com/insights
当然,这里更直接的案例则是Thorlabs光学显微镜套件的教学资料。它们是基于加州大学伯克利分校的原始实验教案精心排版的成果。这个书单就是从中整理而来的。
对于入门级光学没有一本书可称完美,更不用说显微镜了。下面列举了Thorlabs光学显微镜课程推荐的十本参考书。标题前加*说明可能对这们课很有用,其它的则可用作将来的参考。
1. *Optics, 5th ed.
Eugen Hecht
ISBN 0133977226
另有中文译本
这是一本标准的入门级光学书,而且写得很不错。但它的重点不是显微镜,而且覆盖面大得涵盖了大部分光学主题(而不只是成像基础),因此内容也不够深入。非常好的原理图、非常多的概念,所以您翻看下来会了解很多重要的光学知识,还有历史,甚至会更精通Thorlabs产品的使用。本书作为参考不错,您可以精读指导老师推荐的章节,选读您喜欢的更多章节。但它不适合用作深入学习显微镜的参考书。很多人先从这本书中了解某个主题,然后去看更专业的书。
2. *Digital Microscopy, 4th ed.
Sluder & Wolf
ISBN 0124077617
一本非常有用的书,它是细胞生物学丛书的一个典范。每一章都是不同专家简洁而全面的叙述,结集出版可以更好地帮助同行和学生。第三章讲特别有用的显微镜对准方法,其作者也是一位著名的显微镜产品专家。极少的数学、很多有用的指点、实用的建议和清晰的解释。提示:当您学习某种技术时,您就要看这样的书,也就是相关实验室编写的实用系列的书,也许他们会把您的节奏带到飞起。
3. *Video Microscopy, 2nd ed.
Inoué & Spring
ISBN 0306455315
一本真正的经典,内容很多但不是夸张地多。通读有点难,但值得就具体问题去书中寻找答案。作者趋于全备,技术陈述准确可靠,即使是在简化的情形(事实上这是很难的;第五章显微镜成像写得尤其好)。经验和实用并存;极少的数学。就覆盖面和难度而言,这本书介于数字显微镜和光学原理之间。
4. *Fundamentals of Light Microscopy and Electronic Imaging, 2nd ed.
Murphy & Davidson
ISBN 0471692140
一本易读的入门级显微镜导论。有些题材很浅显可能没有很大帮助,但如果您不了解某些概念,它至少能给你一个起点。此外,您大可以边喝咖啡(或其它饮料)边轻松地看这本书。这种阅读方式能让您收获有用的信息,让您成为一名更好的实验家或工程师。
5. Introduction to Fourier Optics, 3rd ed.
Joseph Goodman
另有中文译本(最新4版)
经典、教学珍品!如果您从未看过傅里叶变换,那数学可能有点难,但实际上并没有看起来那么难。作者的天才之处在于他选择的实例,它们既有数学的完美运算,又让物理清晰明了。可读性很强,由于光学中的傅里叶变换技术非常强大,所以值得您努力学习。
但这本书的重点不全是显微镜,所以您要学会把那些概念运用到显微镜领域;这并不很难。开始学习的一个好方法是跟随光学显微镜课程进度,阅读以下章节(注意是第三版):3.1平面波的角谱、5.1到5.3相干光学系统、6.1到6.5光学成像系统的频率分析,再加上第二章中您感兴趣的一些综述材料,比如傅里叶-贝塞尔变换就很有用。
如果您第一次看傅里叶光学并且太难上手,您可以先通过Student’s Guide to Fourier Transforms了解相关的数学知识,特别是前三章。James的这本傅里叶变换学生指南可能是剑桥整套Student’s Guide丛书中最好的一本。
6. Principles of Optics, 7th ed.
Born & Wolf
另有中文译本
经典光学书,换言之,对低年级学生深不可破!它覆盖一切但要求很强的数学功底。内容密集,但经常是参考比看的人多。这本书几乎是很多古典光学理论的定论者。一旦您掌握了足够的数学技巧,它会给您一份愉快(如果说缓慢)的阅读体验。和显微镜课程特别相关的章节是1.5反射和折射、10.4.2范西特-泽尼克定理、10.6.2聚光镜对显微镜分辨率的影响。
7. Modern Optical Engineering, 4th ed.
Warren Smith
另有中文译本
这是一本经典的光学工程教材,也是光学设计师靠它吃饭的参考书。虽然这里只将其作为参考书而不是推荐的教材,但它的确深入地介绍了设计光学系统涉及的问题和技巧。如果您想知道如何设计一个好目镜,这是您要看的书。每个涉及的技术都有基本介绍,而且几乎完全采用几何光学的角度。数学要求远低于光学原理,大部分是代数而非微积分。
8. Principles of Fluorescence Spectroscopy, 3rd ed.
Joseph Lakowicz
ISBN 0387312781
荧光光谱学独一无二的参考书。涵盖很多(但不是所有)荧光技术,不过大部分是光谱方面而不是成像方面的荧光技术。非常完备、特别专业、也有不少数学公式,但微积分远少于光学原理,应该也没有傅里叶光学导论多。
9. Fundamentals of Photonics, 3rd ed.
Saleh & Teich
ISBN 1119506875
这本书大部分讲非成像(主要是激光)应用。非常好的图示,也比较容易读,关于几何光学、波动光学和傅里叶光学的章节都讲得不错,也涉及了探测器和激光光束理论。对于这些话题比较深入的介绍,这本书是不错的起点,特别是它能用尽可能少的数学把概念讲清楚。
10. Introduction to Optical Microscopy, 2nd ed.
Jerome Mertz
ISBN 1108428304
不是一本入门级书,除非您觉得傅里叶光学读起来很轻松,而且看光学原理也不是太难,否则不要看这本书。但是,能做到结构完整有条理、只用一本书真正覆盖显微镜中详细的光学理论,这是仅有的一本,而且讲得很不错。非常复杂的数学,如果您只想查找某个概念,这本书不是很好的参考。但从显微镜角度而言,本书是介绍成像和其它高级话题中相干问题的杰作。
除了这些参考书,我们的指导教案中还分门别类地给出了不同显微镜的参考文献,限于时间和篇幅此处不一一列出。基础光学实验教育,从显微镜课程开始。这么好的教学产品,是时候为您的实验室来一套了!
链接:https://mp.weixin.qq.com/s/fZ9DBnmI-Jgo5fY_BZT1wg