目录
1
个人信息
1.1
博士后招聘公告
1.2
人物简介
1.3
新闻
1.4
科研成就
1.5
光谱实验室
1.6
参会与讲学
2
学术成果
2.1
专利
2.2
发表论文
2.2.1
中文论文
2.2.2
英文论文
2.3
学生论文
2.3.1
博士后
2.3.2
博士生
2.3.3
硕士生
2.4
学术会议
3
相关视频
3.1
拉曼光谱
3.2
荧光
3.3
光镊系统
3.4
真空红外
3.5
显微红外
3.6
FTIR
3.7
比表面仪使用方法
3.8
质量流量计使用注意事项
3.9
3D打印
3.9.1
入门教程
3.9.2
相关操作视频
3.10
悬浮单液滴测量的科普视频
3.10.1
雾霾中硫酸盐的快速生成动力学
3.10.2
有机气溶胶中半挥发性有机物的饱和蒸汽压测量
3.10.3
传质扩散系数测量
4
授课与实验
4.1
授课视频
4.2
实验视频
4.3
PPT讲义
5
理论和模型
5.1
理论
5.2
模型
5.3
标准谱图
6
相关网站
6.1
气溶胶
6.2
光谱谱库
6.3
节能减排政策总结
6.4
光路调节方法
6.5
2021中国生态环境状况公报
6.6
大气中国2023
5.3
标准谱图
1、 纯水红外透射光谱
2、 0.5mol/kg
硫酸钠水溶液
3、0.5mol/kg
硫酸铵水溶液
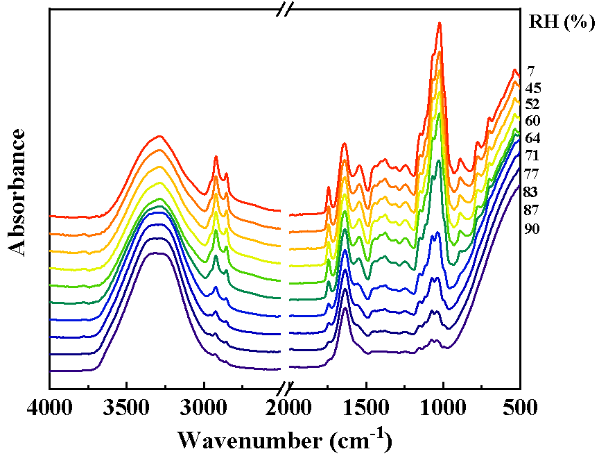
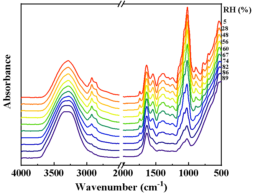
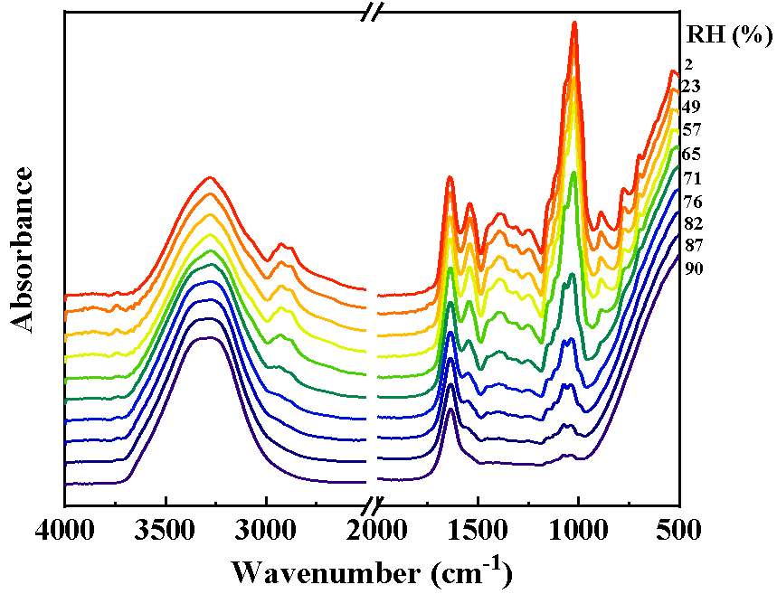
4、牛奶样品红外光谱图
(1)
连续降湿过程中纯牛奶样品红外光谱图
(2)
连续降湿过程中脱脂纯牛奶样品的红外光谱图
(3)
连续降湿过程中高钙低脂纯牛奶的红外光谱图
上一页
下一页