第二节 货币供给模型
由商业银行的存款创造模型可以知道,商业银行系统创造出的存款与存款准备金之间存在着一种乘数关系,但这一模型并不能全面的反应货币供给的问题。因为,商业银行存款创造模型只阐述了存款货币是如何决定的,没有涉及货币供给量的另一重要组成——现金部分;该模型的基础运算变量——原始存款的数额很难确定,而且也不受商业银行控制;计算存款乘数的法定存款准备金率是由商业银行体系以外的因素——中央银行决定的。另外,这一模型不能作为货币供给模型存在的另一重要原因在于,它没有将控制货币供给量的主体——中央银行考虑在内。所以,我们必须引入新的模型,即货币供给模型,来全面研究货币供给的相关问题。
一、基础货币和货币乘数的概念
基础货币,也称货币基数(Monetary Base)、强力货币、初始货币,因其具有使货币供应总量成倍放大或收缩的能力,又被称为高能货币(High- powered Money)。根据国际货币基金组织《货币与金融统计手册》(2000年版)的定义,基础货币包括中央银行为广义货币和信贷扩张提供支持的各种负债,主要指银行持有的货币(库存现金)和银行外的货币(流通中的现金),以及银行与非银行在货币当局的存款。
通常情况下,基础货币是指流通中的现金和商业银行在中央银行的存款准备金之和,如果用B代表基础货币,用C代表流通中的现金,用R代表商业银行在中央银行的存款准备金,则基础货币可以表示为B=C+R。基础货币的概念之所以如此重要,是因为只要掌握了它与货币供给量之间的联系,中央银行就可以利用这种联系对货币供给进行控制。
如前文所述,流通中的现金发行权由中央银行垄断,其发行程序、管理技术等均由中央银行掌握,是中央银行的负债。商业银行在中央银行的存款准备金也是中央银行的负债,包括法定存款准备金和超额存款准备金两个部分。
商业银行通常不会将吸收的全部存款都贷放出去,而是会留存一部分以应付取款的需要,这就是最初的存款准备金。但由于这部分准备金不能给银行带来直接的收益,银行有不断压缩准备金比率的倾向。为了确保商业银行在遇到突然大量的存款提取时能有相当充足的清偿能力,各国的中央银行都会要求商业银行缴纳一定的法定存款准备金。所谓法定存款准备金是指商业银行按照法律规定必须存在中央银行里的准备金,准备金提存的比例通常是由中央银行决定的,被称为法定存款准备金率。法定存款准备金制度为中央银行提供了一种控制货币总量的手段,法定存款准备金率越高,商业银行需要缴纳的存款比例就越高,能够投入流通领域的货币数量就会越少。
所谓超额存款准备金就是超过法定存款准备金的准备金,超额存款准备金与存款总额的比例是超额存款准备金率。金融机构为适应资金运营的需要,保证存款支付和资金清算时有随时可调用的资金,按规定在中央银行开设存款账户,存入一定数量的准备金用于支付款项。这个存款账户和法定存款准备金使用同一个存款账户,因此超额存款准备金就是商业银行超过法定存款准备金要求数量以外保留的准备金。超额存款准备金和超额存款准备金率的高低由商业银行根据具体情况自行掌握。但一般而言,保持适度超额存款准备金率,能保证银行体系的正常支付能力,商业银行在经营中必须随时保持一定比例的现金和流动性强的资产做准备以应付客户提款的需要。
从基础货币的构成来看,流通中的现金和商业银行在中央银行的存款准备金都是中央银行的负债,中央银行对这两个部分都具有直接的控制能力。中央银行可以通过现金供给渠道,影响货币供给量,也可以调整法定存款准备率,改变商业银行的存款准备金数量,影响其信贷能力,进而调控货币供给量。
专栏8-1
我国基础货币的定义与统计
各国对基础货币的定义及统计不尽相同,即使是在一个国家之内,根据基础货币的用途不同,可能有几种基础货币的定义。我国对于基础货币的定义和统计也经历了一个逐步演化的过程。
1994年,我国开始进行基础货币统计。当时对基础货币的统计定义为:基础货币=金融机构库存现金+流通中现金+金融机构准备金存款+金融机构特种存款+邮政储蓄转存款+机关团体在人民银行的存款。其中,金融机构库存现金包括商业银行、政策性银行、城乡信用社、财务公司所持有的现金。金融机构特种存款是人民银行为了吸收农村信用社多余的流动性设立的特别账户,通常账户余额很小,并且不活跃。
2002年1月起,人民银行对“货币当局资产负债表”的内容进行了调整,同时采用了“储备货币”口径并对外公布。这里的“储备货币”理论上与基础货币是同一概念,包括中国人民银行所发行的货币、各金融机构在人民银行的准备金存款,邮政储蓄存款和机关团体存款。将全部的邮政储蓄存款纳入储备货币统计范围是与当时邮政储蓄无资产运用的能力和渠道、只相当于中央银行吸收居民和企业存款从而回笼货币的特定存款机构这一性质相符的。
2003年8月,邮政储蓄资金管理体制开始改革,邮政储蓄部门自主投资、委托理财的渠道开通,其负债方吸收的全部储蓄存款与资产方存放在中央银行的转存款之间的差距越来越大。因此,储备货币中统计邮政部门的存款用“邮政储蓄在中央银行的转存款”更为合适。2004年1月以后,我国储备货币的统计据此进行了调整。自此,基础货币统计数字与《中国人民银行统计季报》公布的储备货币统计数字一致。
资料来源:《二○○四年第一季度中国货币政策执行报告》,中国人民银行网站。
基础货币有三个特点:它是中央银行的负债;它具有派生性,即它运动的结果能够产生出数倍于它本身的货币量,具有多倍的伸缩功能;它具有可控性,即中央银行能够控制它,并且通过对它的控制来控制整个货币供给量。
基础货币是通过货币乘数与货币供给量相联系的,货币乘数就是基础货币每增加或减少一个单位所引起的货币供给量增加或减少的倍数。
我们可以用货币供给模型来表述这一关系,即:
Ms=k·B
其中,Ms代表货币供给量,Ms=C+D,C代表现金,D代表银行存款,k代表货币乘数,B是基础货币,B=C+R,R代表商业银行存款准备金。
基础货币中的现金部分虽然能够成为创造货币供给量的基础,但其数量取决于中央银行,不会有倍数的增加,能够成倍扩张的是存款。因此,基础货币与货币供给量的关系可以用图8-2表示:

图8-2 基础货币与货币供给量关系示意图
由以上分析可以看出,如果增加基础货币,则货币供给量增加,货币政策趋于扩张;反之,减少基础货币,则货币供给量减少,货币政策趋于紧缩。基础货币的两个组成部分都是中央银行的负债,其中,现金是中央银行对现金持有者的负债,存款准备金是中央银行对商业银行的负债。因此,中央银行可以通过对自身负债的控制,即对基础货币的控制来调节流通中的货币供给量。如果基础货币的量既定,货币供给的扩张和收缩则取决于货币乘数的变动。如果基础货币和乘数都在变动,则货币供给量取决于各种因素的变动情况。
中央银行提供基础货币是整个货币供给过程的最初环节,虽然基础货币并不是最终的货币供给,但基础货币决定着流通中的现金,影响商业银行运用存款准备金进行存款创造的活动,只有通过基础货币才能完成最终的货币供给。货币供给的全过程就是由中央银行提供基础货币,基础货币形成商业银行的原始存款,商业银行在原始存款基础上创造派生存款(现金漏损的部分形成流通中现金),最终形成货币供给总量的过程。
二、货币乘数的推导
我们已经知道,货币供给量的多少取决于基础货币和货币乘数两个因素。在货币乘数k不变时,基础货币B的变动直接引起货币供给量的增加或减少,而且二者的变动方向相同。当基础货币B不变时,货币供给量则取决于另一个因素——货币乘数k。下面,我们分别用M1和M2层次的货币供给模型来推导货币乘数。
我们首先需要界定一下各字母符号的含义:
C:流通中的现金
D:商业银行的存款总额
Dd:商业银行的活期存款
B:基础货币
R:商业银行的存款准备金
r:法定存款准备金率
e:超额存款准备金率
n:活期存款在存款总额中所占的比例
h:流通中的现金在存款总额中所占的比例,即现金漏损率,也称通货比率
根据货币定义
M1=C+Dd (8.1)
M2=C+D (8.2)
根据基础货币的定义
B=C+R (8.3)
根据商业银行存款准备金的定义
R=Dr+De (8.4)
根据上述字母含义,Dd、C与D的关系可写成
Dd=Dn (8.5)
C=Dh (8.6)
现将式(8.4)和式(8.6)代入式(8.3),得
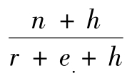
B=Dh+Dr+De=D(r+e+h) (8.7)
整理,得

将式(8.8)代入式(8.5)得

将式(8.8)代入式(8.6)得

将式(8.9)和式(8.10)代入式(8.1)得

式(11)即为M1层次的货币供给模型,其中乘数K为
,它表示每一单位基础货币的增减将引起
倍货币供给量M 1的增减。
将式(8.8)和式(8.10)代入式(8.2)得

式(8.12)即为M2层次的货币供给模型,其中乘数K为
,它表示每一单位基础货币的增减将引起
倍货币供给量M2的增减。
由以上两个乘数可以得出结论,货币供给量是由中央银行、商业银行和非银行部门共同决定的。但是,一般情况下中央银行和商业银行占主要地位。
三、影响基础货币的因素分析
基础货币是由现金和商业银行的存款准备金构成的,这二者是中央银行的货币性负债,我们可以利用中央银行的资产负债表来分析基础货币受哪些因素影响。表8- 1是中央银行的资产负债表。
表8-1 中央银行的资产负债表

依据资产负债表的基本会计等式
A1+A2+A3+A4=B+L1+L2+L3+L4 (8.13)
可以推出
B=A1+A2+A3+A4-L1-L2-L3-L4 (8.14)
即
基础货币=中央银行资产-中央银行非货币性负债和资本 (8.15)
我们将式(8.14)整理可得
B=A1+(A2-L1)+(A3-L3)+(A4-L2-L4) (8.16)
即
基础货币=对商业银行的债权+对政府资产净值+对外资产净值+其他资产与资本项目净值 (8.17)
由上面的式(8.15)可以知道,在中央银行非货币性负债和资本不变的情况下,中央银行资产项目的变动,会使基础货币做同方向等额的变动;在中央银行资产不变的情况下,中央银行非货币性负债和资本的变动会使基础货币做反向等额的变动。具体说来,影响基础货币的因素包括:
(一)货币政策
中央银行货币政策的方向会影响基础货币的供应量——中央银行制定执行宽松的货币政策,会增加基础货币的数量;中央银行制定执行紧缩的货币政策,会减少基础货币的数量。中央银行货币政策对基础货币的影响主要是利用再贴现(再贷款)和公开市场操作两大工具。在再贴现方面,中央银行如果降低再贴现率或再贷款利率,整个金融机构体系向中央银行的贴现和贷款就会增加,则中央银行对金融机构体系的债权增加,即资产项目增加,其结果是基础货币增加;如果中央银行提高再贴现率或再贷款利率,整个金融机构体系向中央银行的贴现和贷款就会减少,则中央银行对金融机构体系的债权减少,即资产项目减少,结果是基础货币减少。在公开市场操作方面,如果中央银行买进有价证券,则中央银行资产增加,资产增加使基础货币增加;反之,如果中央银行卖出有价证券,则中央银行资产减少,资产减少使基础货币减少。关于货币政策工具使用的详细内容,请参见本书第十章。
(二)财政收支状况
中央政府的财政收支状况也会影响到基础货币的供给。财政收支状况会影响中央银行对政府的债权和债务之差,这一差额有时是被动变化的,有时是主动变化的。
中央银行对政府债权差额的被动变化主要是指财政收支本身的变化。财政是政府部门对国民收入进行再分配的重要工具,其收支活动与货币供给量之间有着密切关系。财政的各项收入和支出都是以货币形式进行的,而且都是与银行存款账户直接相联系的。一般而言,财政金库都是由中央银行代理的,中央银行按规定的程序办理财政收入的上缴和支出的下拨,政府在中央银行的财政存款对于中央银行而言是负债。当财政收入增加时,政府在中央银行的存款增加,意味着中央银行的负债增加,在其他因素不变的情况下,基础货币就会减少;而当政府的财政支出增加时,中央银行对政府的负债减少,或者说中央银行的资产增加,在其他因素不变时,基础货币就会增加。
中央银行对政府债权差额的主动变化主要是指为弥补政府的财政赤字而引起的变化。财政赤字是政府财政支出大于财政收入而形成的差额,由于会计核算中用红字处理,所以称为财政赤字,它反映着一国政府的财政收支状况,财政赤字是财政收支未能实现平衡的一种表现。理论上,财政收支平衡是政府财政的最佳情况,即财政收支相抵或略有节余。但是,在现实中,政府经常需要大量的资金去解决一些预算以外的问题,这会造成入不敷出的局面。由于中央银行代理国库,当出现财政赤字时,政府有时会依靠中央银行进行资金融通。中央银行为政府提供资金有两条渠道,一是贷款给政府以弥补财政赤字,二是购买政府债券。贷款给政府意味着赤字货币化,政府的财政赤字全部转化为增发的货币,会造成通货膨胀,通常各国都禁止这种做法;购买政府债券意味着中央银行对政府的债权增加,会带来基础货币的增加。
(三)国际收支状况
国际收支状况会影响到中央银行持有的国外净资产规模,国外净资产规模的大小会直接影响基础货币。国外净资产由外汇、黄金占款和中央银行在国际金融机构的净资产构成。其中外汇、黄金占款是中央银行用基础货币来收购的。从中央银行资产负债表看,基础货币是中央银行的负债,国外净资产是中央银行的资产。一般而言,中央银行资产增加得越多,负债方的基础货币增加得就越多。中央银行的国外净资产的增加意味着中央银行投放的基础货币增加,从而使货币供给量增加。也就是说,若国际收支顺差,则中央银行累计收购的外汇增加,央行的外汇储备增加,即资产项目增加,基础货币也会增加;若国际收支逆差,则中央银行的外汇储备会减少,央行资产项目减少会导致基础货币减少。
汇率制度、汇率政策、冲销干预等其他因素也会导致中央银行持有的外汇储备数量发生变化。如果一个国家实行的是浮动汇率制度,则中央银行不把稳定汇率作为政策目标,通过该项资产业务投放的基础货币有较大的主动权;而如果一个国家实行固定汇率制度的话,中央银行就会因为要维持汇率的稳定而被动进入外汇市场进行干预,这样外汇市场的供求状况对中央银行的外汇占款有很大影响,造成通过该渠道投放的基础货币具有相当大的被动性。举个例子来说,一国的央行在本国市场上通过购买外币债券来增加基础货币的投放,但这也会导致对外币需求的增加,如果该国实行的是固定汇率制度,为了稳定汇率,中央银行又不得不抛售外币资产收回本币,基础货币又将减少。因此,如果中央银行不把稳定汇率作为政策目标,当中央银行对国外的资产增加时,基础货币量增加;相反,基础货币量减少。
由上面的分析可以看出,基础货币的供应量在很大程度上要受到中央银行货币政策的影响。因此,从该因素看,货币供给具有外生性,是外生变量。需要说明的是,在现实的资产负债业务活动中,中央银行可以在各有关项目之间通过冲销操作来减轻对基础货币的影响,也可以通过强化操作来加大对基础货币的作用。
四、影响货币乘数的因素分析
从货币供给模型的推导可以看出,影响货币乘数的因素主要有四个:法定存款准备金率、超额存款准备金率、通货比率或现金漏损率、活期存款与存款总额的比率。
(一)法定存款准备金率
法定存款准备金率与货币乘数之间呈反向变动关系。当中央银行提高法定存款准备金率时,货币乘数减小,若基础货币数量不变,则货币供给量减少;反之,当中央银行降低法定存款准备金率时,货币乘数扩大,若基础货币数量不变,则货币供给量增加。一般情况下,中央银行都是依据经济金融的发展状况对法定存款准备金率加以调整的,法定存款准备金率是央行的货币政策工具之一。
具体来说,法定存款准备金率受以下几个因素的影响:
1.中央银行的货币政策意向
如前文所述,法定存款准备金率是中央银行的货币政策工具之一,因此,法定存款准备金率的变动首先取决于中央银行的货币政策意向。中央银行的货币政策是逆经济风向行事的,因此法定存款准备金率与经济运行态势呈反方向变动。在经济过热时,中央银行提高法定存款准备金率,紧缩银根;在经济衰退时,中央银行降低法定存款准备金率,放松银根。
2.商业银行的存款构成
中央银行的货币政策意向是法定存款准备金率变动的主要原因,但不是唯一决定因素。因为即使是在法定存款准备金率不变的情况下,如果商业银行存款结构发生变化,实际的存款准备金率也会变化。在商业银行的存款中,央行对活期存款和定期存款的准备金率要求是不同的,如果定期和储蓄存款比率相对上升,活期存款比率相对下降,则实际的法定存款准备金率将下降;反之,实际的法定存款准备金率将上升。
3.商业银行的经营规模和处所
中央银行通常对商业银行实行差别存款准备金率制度。除了前述存款的差别外,商业银行经营规模的大小、商业银行距离中央银行的远近等,都可以作为实行差别存款准备金率的条件。如果这些因素发生变化,即使中央银行的货币政策意向与商业银行的存款结构不变,整个商业银行体系的实际法定存款准备金率也会发生变化;如果存款在不同规模的商业银行和不同地区的商业银行之间流动和转移,也会引发实际法定存款准备金率的变化。
(二)超额存款准备金率
超额存款准备金率与货币乘数之间也呈反向变动关系。当超额存款准备金率上升时,货币乘数就会变小,货币供给量下降;当超额存款准备金率下降时,货币乘数就会变大,货币供给量上升。超额存款准备金率的大小主要取决于商业银行持有超额存款准备金的意愿,而这一意愿又主要取决于其持有超额存款准备金的成本与收益。具体来说包括:
1.市场利率的高低
市场利率相当于商业银行持有超额存款准备金的机会成本。市场利率越高,商业银行持有超额存款准备金的机会成本就越高,商业银行持有的超额存款准备金就会减少,该比率便会下降;反之,当市场利率降低,商业银行持有超额存款准备金的机会成本也就下降,商业银行持有的超额存款准备金就会增加,该比率就会上升。
2.中央银行的货币政策导向
如果中央银行提高法定存款准备金率或再贴现率,这就意味着货币政策趋紧,商业银行借入资金的成本增加,持有超额存款准备金的收益上升,因此商业银行会增加超额存款准备金的持有,超额存款准备金率就会上升;反之,如果中央银行降低法定存款准备金率或再贴现率,这就意味着货币政策宽松,商业银行借入资金较为容易,持有超额存款准备金的收益下降,因此商业银行会减少超额存款准备金的持有,超额存款准备金率就会下降。
3.存款外流的程度
存款是商业银行最主要的资金来源,存款的数额和稳定程度直接关系到商业银行的经营状况。商业银行存款外流数额越多、不确定性越高,其持有超额存款准备金的收益就越高,商业银行就会增加超额存款准备金的持有,提高超额存款准备金率;反之,如果商业银行存款外流数额少,存款外流的不确定性低,持有超额存款准备金的收益就低,商业银行会减少超额存款准备金的持有,从而降低超额存款准备金率。
4.商业银行的经营策略
如果商业银行的经营策略属于激进型,其资金运用强调获利,则其持有的超额存款准备金就比较少,超额存款准备金率就低;如果商业银行的经营策略属于稳健型,其资金运用强调安全,则其持有的超额存款准备金就比较多,超额存款准备金率就高。
(三)现金漏损率
现金漏损率也称现金比率或通货比率,其高低水平体现了社会公众持有金融资产的偏好。现实生活中,人们持有的现金和存款之间存在着此消彼长的关系,这种关系的变化会影响货币乘数,使二者呈反向变动。若现金漏损率提高,货币乘数会变小,在基础货币数量不变的情况下,货币供给量减少;若现金漏损率降低,货币乘数会变大,在基础货币数量不变的情况下,货币供给量增加。影响现金漏损率的因素主要有:
1.财富变动情况
财富较少、收入较低的社会阶层习惯使用现金作为支付工具,而财富较多、收入较高的社会阶层则偏好既方便又安全的支票作为支付工具。因此,随着经济增长和社会财富的不断增加,社会公众会减少现金持有从而使现金漏损率降低。
2.存款利率高低
社会公众在进行金融资产配置时,重点考虑的因素之一就是各种金融资产的相对收益情况。当存款利率上升时,社会公众会增加存款,减少现金的持有,从而使现金漏损率下降;反之,当存款利率下降时,社会公众会减少存款,增加现金的持有,从而使现金漏损率上升。
3.风险变动情况
风险变动的情况也会影响社会公众对现金的需求。如果金融业经营出现不稳定因素、通货膨胀较为严重、消费品供不应求时,社会公众就会减少存款,增加现金的持有和现金消费,这样会提高现金漏损率;反之,则会降低现金漏损率。
4.金融业的发达情况
金融业越发达,转账结算越广泛,各种电子支付工具越普及,社会公众越会减少现金的使用,从而使现金漏损率降低。
5.季节性因素
每逢节假日,居民消费热情高涨,公众需要更多的现金用于消费支出,所以会大量提现,现金漏损率也会相应提高。
(四)商业银行活期存款占存款总额的比率
商业银行活期存款占存款总额的比率与货币乘数呈正向变动关系。当商业银行活期存款比率上升时,货币乘数增大,货币供给增加;相反,当商业银行活期存款比率下降时,货币乘数减小,货币供给减少。在存款总额中,活期存款所占比率的问题本质上指的是存款结构的问题,该比率的大小主要受以下因素的影响:
1.可支配收入水平的高低
社会公众可支配收入水平的高低是影响存款结构的主要因素之一。可支配收入水平提高,社会公众所持有的金融资产数量也会相应增加。但就商业银行所提供的金融资产来看,由于活期存款不支付利息或支付较低利息,所以,当公众可支配收入增加时,虽然活期存款也会增加,但定期存款和储蓄存款会增加更多,从而使存款结构发生变化,活期存款占存款总额的比率相对降低。
2.存款利率的结构
存款利率结构是影响存款结构的重要因素。当活期存款与定期存款、储蓄存款之间的利差扩大时,活期存款占存款总额的比率会降低;相反,如果活期存款与定期存款、储蓄存款之间的利差缩小,则活期存款占存款总额的比率会提高。
从上面的分析可以看出,货币乘数的影响因素并不能由中央银行完全控制,特别是超额存款准备金率、现金漏损率和活期存款占存款总额的比率是受经济内部因素影响的变量。从这一意义上说,货币供给具有内生性,是内生变量。
专栏8-2
货币供给理论
货币供给理论是分析货币供给量大小以及决定因素的理论,和货币需求理论比较而言,货币供给理论的产生和形成要晚得多。这是因为在很长时间里,绝大多数经济学家都把货币供给作为中央银行能够完全控制的一个变量,因此经济学家很少研究货币供给的决定过程,而是只研究当中央银行改变货币供给量时经济如何变化。后来人们才逐步认识到,中央银行并不具有绝对控制货币供给的能力,中央银行能够直接控制的只是基础货币,而基础货币对全部货币供给量的影响,还依赖于货币乘数,货币乘数又受到商业银行和公众的影响,由此货币供给理论才深入发展起来。
一、简单乘数的货币供给模型
由于存款货币能够产生多倍创造效应,增加1单位的原始存款,整个社会的货币供给量的增加会超过1单位,即存在着货币乘数效应。所谓货币乘数也被称为货币扩张系数或货币扩张乘数,是指在基础货币(高能货币)的基础上,货币供给量通过商业银行的存款派生作用而产生的信用扩张倍数。
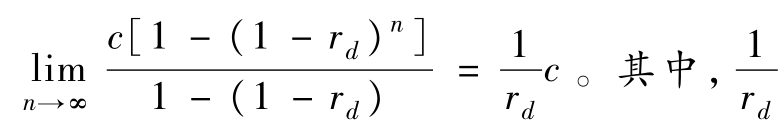
为了得到简单乘数的货币供给模型,我们需要作出一些假定,这些假定和存款货币产生多倍创造效应的假定相同,即商业银行的客户都将其全部货币收入存入商业银行的活期存款账户,不持有任何现金,且全部交易都使用非现金结算;商业银行按照法定准备金比率提取存款准备金后将余额全部以贷款形式放出或全部投资于有价证券,不存在超额准备金或准备金不足的现象。为了使问题一般化,我们假定商业银行的活期存款准备金率为rd,原始活期存款数量记为c。则根据存款货币多倍创造过程的原理,最终的货币供给量或者银行的最终存款量为:c+c(1-rd)+c(1-rd)2+c(1-rd)3+…=
即为货币乘数,通常也记为k。
但是一个问题也随之而来,货币乘数表示的是由基础货币扩张的最终货币的供给倍数,原始存款是基础货币吗?显然不是的,因为按照基础货币的定义,基础货币只包括准备金和现金,而活期存款是不包含在内的。但在此处,在数量上原始存款就等于基础货币,原因如下:
由于在简单乘数货币供给模型中是没有现金漏出的,因此基础货币就仅由商业银行的存款准备金构成。根据假设条件,由于存款都是以活期形式保留的,因此准备金就仅仅是活期存款的法定准备金,在该模型中基础货币仅由活期存款的法定准备金构成。由于商业银行活期存款的法定存款准备金率为rd,则随着派生存款产生的活期存款增加,法定准备金也会相应增加,活期存款法定准备金的总额为:crd+c(1-rd)rd+c(1-rd)2rd+c(1-rd)3rd+…
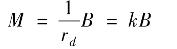
,刚好等于原始存款。由于基础货币仅由活期存款法定准备金构成,此时基础货币就等于原始存款,因此简单乘数的货币供给模型就可以表示为:

上式中,M表示最终的货币供给量,B表示基础货币,k表示货币乘数,是活期存款法定准备金率的倒数。
二、弗里德曼-施瓦茨的货币供给模型
在简单乘数的货币供给模型中没有考虑公众手中持有的现金,弗里德曼和施瓦茨考虑到了这一点,在他们合著的《1867~1960年美国货币史》中使用的货币供给方程中,不仅考虑了商业银行的存款准备金,还考虑了公众手中持有的现金。
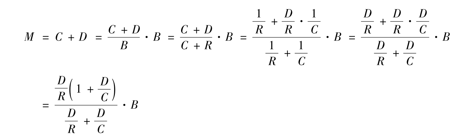
在弗里德曼和施瓦茨的货币供给模型中,货币供给量由两部分组成:一是非银行部门所持有的中央银行负债,即公众手中持有的现金,我们将它记为C;二是非银行部门所持有的商业银行的存款负债总额,即公众的存款总额(包括活期存款与定期存款),记为D。货币的供给量M就可以表示为M=C+D。基础货币由公众手中持有的现金和商业银行的准备金构成,可以表示为:B=C+R,其中B表示基础货币,R表示商业银行的准备金。
弗里德曼-施瓦茨的货币供给模型中关于货币供给量和基础货币的关系推导过程如下:

上式中,第四个等号成立是由于分子分母都除以RC,第五个等式成立是由于分子分母都乘以D。于是货币供给量最终就可以表示为:

从这一理论模型出发,货币乘数就是
,弗里德曼-施瓦兹的货币供给方程式说明,由B、D/R、D/C所共同决定的货币供给,实际上是由中央银行、商业银行和社会公众三部门共同作用的结果,中央银行决定基础货币,商业银行决定超额准备金从而对D/R有决定性影响、社会公众的现金持有量决定了D/C。如果D/R、D/C是常量或者它们的变化很小,那么货币供给量主要取决于基础货币B的变化。由于基础货币是由中央银行决定的,因此,中央银行完全可以通过控制基础货币来控制货币供给量。从上述的分析中,弗里德曼和施瓦兹认为,货币供给量是由货币当局控制的外生变量。为了证明这个论断,弗里德曼和施瓦兹对美国货币供给量的变动进行了实证分析。他们认为,基础货币的变化是广义货币供给量长期变化的主要原因,而由于基础货币是由中央银行的行为所决定的,中央银行完全可以通过变动基础货币对货币供给量进行调控。因此,货币供给量是中央银行可以控制的外生变量。
三、卡甘的货币供给模型
弗里德曼和施瓦兹的货币供给方程式中的三个决定性因素是基础货币、存款和现金的比率以及存款和准备金的比率,弗里德曼认为除了基础货币以外,其他的两个比率是相对稳定的,但美国著名经济学家卡甘(P·Cagan)认为存款和现金的比率可能并不像弗里德曼认为的那样稳定,比如利率和预期通货膨胀率等都会影响到该比率。为此,他从另外的角度提出了货币供给方程式,即

在卡甘的方程式中,货币供给量M由基础货币B和货币乘数k的乘积所决定。卡甘以准备金-存款比率R/D代替弗里德曼和施瓦兹方程式中的存款-准备金比率D/R,这一替代在本质上是没有区别的,只不过R/D就是现实中的存款准备金率,比较容易直接获得。更重要的是卡甘以现金比率C/M(即现金占货币存量的比率)代替存款-现金比率D/C,这种替代是有重要意义的,因为这个比率是更稳定的,由此也将使得货币乘数更加趋于稳定。这是为什么呢?可以看出,不管是弗里德曼还是卡甘的货币供给模型,货币供给都是由存款和现金构成,假定刚开始时存款和现金的数量相等,D/C就是1,则C/M就是0.5。假定受到经济形势的影响,银行提高了存款利率,公众会将手中的一部分现金转变为存款,比如将占总货币量的1%的现金转为存款,则D/C就变为51/49=1.04,变动了4%,而C/M就变为0.49,仅仅变动了2%,因此现金占货币存量的比率比存款-现金的比率要稳定得多。
卡甘变动这两个因素的理由是它们可以更好地反映真实情况,他的方程式中的货币乘数具有比较稳定的规则可循,并使方程式更具稳定关系。根据卡甘的理论,在现金比率与准备金-存款比率不变时,基础货币的增减变化会直接影响货币供给量的增减变化。而在基础货币不变时,根据定义,
、
都小于1,因而
·
总是小于
与
的任何一项,当现金比率和准备金-存款比率中的一项或两项都提高时,货币乘数的分母必将提高(读者可以按照微分原理严格证明这一点),因此货币乘数将会变小,货币供给就将收缩。同理,当现金比率和准备金-存款比率中的一项或两项都降低时,货币供给将扩张。这样,卡甘的方程式明确表明:货币供给量的变动与基础货币成正比,与现金比率和准备金-存款比率成反比。
根据卡甘的统计,美国从1875~1955年广义的货币量平均每年增长5.7%。从统计分析的结果看,货币存量的长期增长主要依靠追加的基础货币。基础货币的长期变动主要归因于黄金存量的增加(该段时间基本上是金本位制),而在1914年以后又可以归因于联邦储备制的作用。基础货币的增长是货币存量增长的绝大部分的原因。只有1/10的货币存量增长是由现金比率和准备金-存款比率的下降(即货币乘数的扩大)引起的。而现金比率在长期中下降的趋势主要是由于收入和财富的增长和城市化引起的,准备金-存款比率的变动则主要是由法定准备金率的调整所造成的。根据上述的统计分析,卡甘也认为货币供给量是一个外生变量,因为中央银行操纵基础货币的行为对货币供给量的决定具有支配性的作用。同时,由于货币乘数中的各行为参数在短期内变化不大,由此可以推断货币乘数关系明确,性质稳定,因此货币供给量是中央银行可以控制的外生变量。
卡甘模型与弗里德曼-施瓦茨模型都是对美国货币史实证分析的结果,由于这两个模型中的存款既包括活期存款,也包括定期存款,他们对货币的定义都是基于M2层面的,两个模型形式不同,但实质相同(因为R/D只是D/R的倒数,而C/M也与D/C一样地反映着C和D的相对变动对货币乘数的影响)。但卡甘模型比弗里德曼-施瓦茨模型更能直观地看出存款准备金比率和现金比率对货币乘数的影响。
四、乔顿的货币供给模型
弗里德曼-施瓦茨模型和卡甘模型是提出较早、也是较有代表性的货币供给模型。但一方面,这两个模型主要都是从外生货币供给的角度考虑问题的,忽略了货币供给的内生性;另一方面,弗里德曼-施瓦茨模型和卡甘模型没有区分活期存款和定期存款,这两者的法定准备金率有可能是不一样的,特别是从历史来看,定期存款的准备金率要低一些,其原因在于定期存款的期限比较确定,可预测性强。而随着社会与经济的发展,为了中央银行的调控更具操作性也为了商业银行经营的安全性,有些国家统一了定期存款和活期存款的法定准备金率,但在经济学家乔顿(Jerry L.Jordan)生活的年代,定期存款和活期存款的法定准备金率并不都是相等的。为了弥补弗里德曼-施瓦茨模型和卡甘模型货币外生性和存款准备金率的缺陷,1969年美国经济学家乔顿对这两个模型进行了改进和补充,导出了一个更具有内生性的货币乘数模型。
1.M1层次货币乘数模型
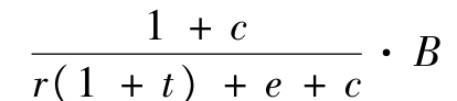
在乔顿提出的原始货币供给模型中,货币供给量采用狭义的货币定义M1,即M1=D+C。其中,D仅表示商业银行活期存款,C表示现金。
根据现代货币供给理论,货币供给是基础货币与货币乘数之积。如以B表示基础货币,以R表示商业银行的准备金,则B=R+C,此时的存款准备金R除了活期存款法定准备金和超额准备金外还包括定期存款法定准备金。
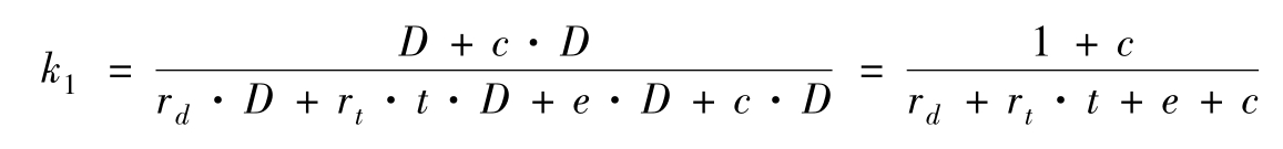
令k1为M1层次的货币乘数,rd为活期存款的法定准备金比率,rt为定期存款的法定准备金比率,T为定期存款,E为超额准备金,则有:

由于R=rd·D+rt·T+E,货币乘数就可以表示为:

如果我们用c表示现金和活期存款的比率,即c=C/D;用t表示定期存款和活期存款的比率,即t=T/D;用e表示超额准备金和活期存款的比率,即e=E/D,则货币乘数也可以表示为:

货币供给量就可以表示为:

这就是通常作为货币供给决定机制的一般模型——乔顿模型。由乔顿模型可知,决定货币供给的因素共有6个,其中,B、rd、rt由货币当局或中央银行所决定;e由商业银行所决定;而c和t则由社会公众的资产选择行为所决定。由此可见,货币当局或中央银行实际上只能对决定货币供给的部分因素而不是全部因素具有直接的控制能力。这就说明,货币供给并不完全是一个外生变量。
根据该模型,货币供给取决于基础货币、活期存款的法定准备金比率、定期存款的法定准备金比率、超额准备金比率、定期存款比率及现金比率。由于该模型是在60年代成形的,现在的经济现实状况已经有了很大变化,比如很多国家的中央银行在提取存款准备金时不分存款期限,而按统一的标准来,这时定期存款法定准备金率和活期存款法定准备金率就是相等的(假定都为r),货币供给量就可以表述为:M1=
,但此时影响货币供给量(M1)的基本因素和决定主体并没有改变。
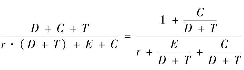
2.M2层次的货币供给模型
虽然在乔顿提出的原始货币供给模型中货币供给量采用狭义的货币定义M1,但是根据他的主要思想,我们不难导出货币供给量采用广义货币定义M 2时的货币供给方程式。
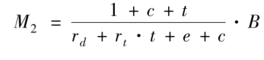
假定采用广义货币定义M2时的货币乘数为k2,由于M2=C+D+T,因此货币乘数就可以表示为:

货币供给量就可以表示为:

根据上式,当央行紧缩银根,提高存款准备金率时,货币供给量就会减少,或者商业银行预计央行的政策将紧缩而提高了超额准备金率,货币供给量也会减少。一般地,由于
当c变大时
将变小(可以证明),货币供给量将减少,而定期存款和活期存款的比率t的变动对于货币供给量M 2的影响是难以确定的。
同样地,当定期存款法定准备金率和活期存款法定准备金率相等时(假定都为r),广义货币的供给量可以表示为M 2=
,这样的货币供给方程在形式上和弗里德曼-施瓦茨模型在形式上是很相似的,
即为现金和存款的比例,
即为存款准备金率,包括法定准备金和超额准备金。所以,关于货币内生性或外生性的争论不在于货币供给的形式,而在于货币乘数是否受到经济内部的影响。如果经济内部的经济主体(包括商业银行和非银行体系的公众)能够影响到货币乘数,则货币供给就具有内生性。
从乔顿模型的分析来看,狭义货币的内生性显然是更强的,而广义货币内生性的效果比狭义货币要弱。
在众多货币供给模型中,具有代表性的有简单乘数模型、弗里德曼-施瓦兹模型、卡甘模型和乔顿模型。弗里德曼-施瓦兹模型和卡甘模型从广义货币的角度分析货币供给,认为货币供给主要是外生性的,即货币供给量由货币当局来决定,公众和商业银行参与货币创造的作用很小;乔顿模型是比较流行的,乔顿是从狭义货币的角度分析货币供给量的,该模型认为货币供给具有较强内生性,但根据现实情况(活期存款和定期存款的法定准备金趋向于一致),按照乔顿的思想,广义货币的供给在形式上和弗里德曼-施瓦兹模型是一致的,货币内生性或外生性的争论不在于货币供给的形式,而在于货币乘数是否受到经济内部因素的影响。
资料来源:根据货币供给理论文献资料整理
本章小结
1.货币供给含义:货币供给是指货币供给主体向货币需求主体供给货币的过程,是一个动态的概念。
2.货币供给量:货币供给量是一个货币区在某一时点上由非银行部门持有的货币总量,即为社会经济运行服务的货币数量。
3.外生变量:所谓外生变量,又叫政策性变量,是指在经济机制中易受外部因素影响、由非经济因素所决定的变量,它是能够由政策决策人控制、并用于实现其政策目标的变量。
4.内生变量:内生变量,又叫非政策性变量,它是指在经济机制内部由纯粹的经济因素所决定的变量,不为政策所左右。
5.基础货币:基础货币是指流通中的现金和商业银行在中央银行的存款准备金之和。
6.货币乘数:货币乘数就是基础货币每增加或减少一个单位,所引起的货币供给量增加或减少的倍数。
重点概念
货币供给 货币供给量 内生变量 外生变量 基础货币 货币乘数
选择题
1.货币供给量一般是指( )。
A.流通中的现金量 B.流通中的存款量
C.流通中的现金量与存款量之和 D.流通中的现金量与存款量之差
2.基础货币是由( )提供的。
A.投资基金 B.商业银行
C.中央银行 D.财政部
3.内生变量是由( )。
A.政策因素决定的 B.经济因素决定的
C.非经济因素决定的 D.人为因素决定的
4.基础货币包括( )。
A.现金 B.存款货币
C.存款准备金 D.原始存款
E.派生存款
⒌货币供给的控制机制由( )环节构成。
A.货币供给量 B.基础货币
C.利率 D.货币乘数
E.再贴现率
思考题
1.为什么说货币供给既有内生属性又有外生属性?
2.基础货币的定义是什么?
3.货币乘数如何推导?
4.影响货币供给的因素有哪些?