第三节 利息与利率
一、利息及其本质
利息是指在借贷活动中,债务人支付给债权人的超过借贷本金的那部分货币资金。是债务人为取得货币使用权所付出的代价。或者说,它是债权人让渡货币的使用权所获得的报酬。利息也叫“利金”或“子金”。从债权人的角度看,利息是债权人因贷出货币资金而从债务人处获得的报酬,即多于本金的部分;从债务人的角度来看,利息是债务人为取得货币资金的使用权所花费的代价,即比本金多还的部分。所以可以看出利息实际是使用资金的“价格”,是债务人支付给债权人的使用其资金的代价。
那么资本为什么会产生利息,即利息的本质是什么呢?利息的本质取决于利息的来源,而利息的来源是由信用关系的性质决定的。对利息本质的论述,有很多观点,概括来讲,可以分为两大类,一类是马克思对利息本质的论述;另一类是西方经济学家对利息本质的论述。
(一)马克思主义的观点
马克思认为,在资本主义制度下,利息是借贷资本运动的产物。职能资本家用其所借来的货币资本,通过生产获得利润,利润的一部分以利息的形式支付给借贷资本家。而利润是剩余价值的特殊转化形式,是货币资本家凭借他们对借贷资本的所有权与职能资本家共同瓜分劳动者所创造的剩余价值。货币本身并不能创造货币,不会自行增值,只有当职能资本家用货币购买到生产资料和劳动力,才能在生产过程中通过雇佣工人的劳动创造出剩余价值。而货币资本家凭借对资本的所有权,与职能资本家共同瓜分剩余价值。因此,资本所有权与资本使用权的分离是利息产生的内在前提。而由于再生产过程的特点,导致资金盈余和资金短缺者的共同存在,这是利息产生的外在条件。当货币被资本家占有,用来充当剥削雇佣工人的剩余价值的手段时,它就成为资本。货币成为资本后获得了一种追加的使用价值,即生产平均利润的能力。资本家受追求剩余价值的利益驱使,使利润又转化为平均利润。平均利润被分割成利息和企业主收入,分别归不同的资本家所占有。因此,利息在本质上与利润一样,是剩余价值的转化形式,反映了借贷资本家和职能资本家共同剥削工人的实质。
社会主义利息也来源于利润,而社会主义利润是劳动者为社会创造的,是一种归社会所有的剩余劳动价值形式,因此,社会主义利息体现了社会主义积累在社会主义经济内部再分配的本质特征,不存在剥削关系。
(二)西方经济学家的观点
在前资本主义社会,高利贷信用占据着主导地位。高利贷信用的利息是高利贷者通过高利贷活动无偿占有奴隶、农民小生产者所创造的剩余劳动产品的价值,甚至包括必要劳动价值的一部分。
西方经济学家对于利息的本质有很多种说法,比如威廉·配第(英国古典政治经济学的创始人)认为,利息是因暂时放弃货币的使用权而获得的报酬,因为当贷者贷出货币后,在约定的时间内,无论自己怎样迫切需要货币,也不能在到期前收回供自己使用,所以借贷行为就给贷款者带来了事实上的损失,贷者理所当然要获得报酬来弥补这种损失,这种报酬就是利息。亚当·斯密(英国资产阶级古典政治经济学的主要代表)认为,借款人借钱以后,可用作资本投入生产,也可用作消费,所以,利息的来源有二:一是当借款用作资本时,利息来源于利润;二是当借款用于消费时,利息来源于别的收入,例如地租等。凯恩斯(当代西方经济学最有影响的经济学家)认为,利息是在一定时期以内,放弃资金周转灵活性的报酬。利息不是储蓄本身或等待本身的报酬,乃持有货币者的不愿意程度——不愿意放弃对货币的灵活性的控制权,利息即是对这种控制权放弃的补偿。从这些论述中可以看出有的解释回答了为什么需要支付利息的问题,而实际上它是与资金的所有权分不开的。所以,在现实生活中,利息已经成为了一种普遍现象,贷放资金、收取利息是很自然的事情,同时,利息也已经被看作是收益的一般形态,因为在借贷关系中利息是资金所有者对其资金所有权的实现,即无论资金贷出与否,利息都被看作资金所有者理所当然的收入——可能取得的或将会取得的收入。
二、利率及其种类和影响因素
(一)利率的概念
利率又叫“利息率”,是衡量利息高低的指标,是一定时期内利息额同本金的比率。它用以表示利息水平的高低,也用以反映资金的“价格”和增值能力。
在实践中,它是一个比利息更有意义的经济指标,如存款利息与存款额之比为存款利率,贷款利息与贷款额之比为贷款利率,因购买证券而获得的收益与购买时的本金之比为购买证券的收益率。利率作为一种重要的经济杠杆,对宏观经济运行和微观经济运行都有着极其重要的调节作用。适当的利率可以促进消费基金转化为生产资金,把分散的社会资金集中起来,增加国家建设资金力量;可以促使企业为了减少利息支出,降低成本,进一步改善经营管理,节约资金使用;可以较好地调节储蓄和消费之间的关系,有利于投资以及经济的发展;可以通过提高或降低利率,强化宏观经济调控。总之,通过利率的调节,可以积累资金,调节社会资金供求、经济结构和人们的收入分配,也可以激励和约束企业的行为。利率的变动对企业的借贷行为、老百姓的储蓄行为也会产生很大的影响。可见,利率是一个非常重要的经济变量。
(二)利率的种类
现实经济生活中的利息率都是以某种具体形式存在的。随着金融活动和金融创新的日益发展,利息率的种类也日益繁多。这些多种多样的利率共同构成了一个经济社会的利率体系,它们往往相互作用、相互影响。按照不同的标准可以得到不同的利率类别。实践中较为重要的分类有:
1.年利率、月利率和日利率
年利率、月利率和日利率是按计算利息的时间长短来划分的。年利率是以年为时间单位计算利息,通常以百分之几表示,俗语叫“分”;月利率是以月为时间单位计算利息,通常以千分之几表示,俗语叫“厘”;日利率,习惯叫“拆息”,是以日为时间单位计算利息,通常以万分之几表示,俗语叫“毫”。它们之间的换算关系是:月利率乘12为年利率,日利率乘30为月利率;反过来,年利率除以12为月利率,月利率除以30为日利率。
年利率通常以本金的百分之几来表示,在我国习惯上称为年息几厘,如本金100元,每年利息为5元,则年利率为5%,又称年息5厘;月利率通常以本金的千分之几来表示,习惯上称为月息几厘,如本金1 000元,每月利息5元,则月息为5‰,又称月息5厘;日利率通常以本金的万分之几来表示,习惯上称日息几厘,如本金10 000元,每日利息2元,则日利率为0.2‰,又称为日息2厘。
2.长期利率和短期利率
以信用行为的期限长短为标准,可以将利率分为长期利率和短期利率。长期利率指借贷时间在一年以上的利率,短期利率指借贷时间在一年以内的利率。利率的高低与期限长短、风险大小有着直接的联系,本章的第三节将对此作深入探讨。
3.固定利率和浮动利率
以借贷期内利率是否调整为标准,利率可分为固定利率和浮动利率。固定利率是指在整个借贷期限内利率不随借贷资金的供求状况而变动的利率,它适宜短期借贷。它是一种传统的利率方式。它的不足之处是在通货膨胀比较严重的情况下,债权人的利益容易受到损失。浮动利率是指在借贷期限内随市场利率的变化而定期调整的利率。根据借贷双方的协定,由一方在规定的时间依据某种市场利率进行调整,一般调整期为半年。浮动利率尽管可以为债权人减少损失,但手续繁杂、计算依据多样,从而使费用开支增加,所以它一般适宜借贷时期较长、市场利率多变的借贷关系,一般被用于长期借贷和国际金融市场。
4.市场利率、公定利率和官定利率
按是否由市场规律自发调节,可将利率分为市场利率、公定利率与官定利率。市场利率是指由借贷资金的供求关系决定、根据市场调节能自由变动的利率,供大于求,市场利率下跌;供小于求,市场利率上升。因此,市场利率高低由借贷资金供求的均衡点决定。官定利率是由政府金融管理部门或者中央银行确定的利率,它是当局出于政策推行上的考虑而确定的,它的升降变动更多地顺应政策意图,体现着国家对融资市场的控制。所以,利率是国家为了实现宏观调节目标的一种政策手段。由非政府的金融民间组织所确定的利率称为公定利率。公定利率对会员银行具有约束力。在我国,绝大多数利率都是官定利率。在发达的市场经济国家,以市场利率为主,同时有官定、公定利率。官定利率对公定利率和市场利率有着较大的影响。当官定利率提高或降低时,公定利率和市场利率往往随之提高和降低。
5.名义利率和实际利率
按是否考虑通货膨胀影响,可将利率分为名义利率和实际利率。名义利率是指金融市场上实际存在并发挥作用的利率,是借贷契约和有价证券上载明的利率,对债权人来说,是应按此利率向债务人收取的利息;对债务人来说,应按此利率向债权人支付利息。实际利率是指名义利率减去通货膨胀率,通常有两种形式,一种是事后的实际利率,它等于名义利率减去实际发生的通货膨胀率;一种是事前的实际利率,它等于名义利率减去预期的通货膨胀率。在经济决策中,更重要的是事前对实际利率的估计。因此,事前的实际利率比事后的实际利率更有意义。它们之间的关系可近似地表示为:
实际利率=名义利率-通货膨胀率
在经济活动中,区分名义利率和实际利率是很重要的,实际利率才是人们更应看重的。因为在借贷过程中,债权人不仅要承担债务人到期无法归还本金的信用风险,还要承担货币贬值的通货膨胀风险。名义利率和实际利率的划分,正是从这个角度来说的。
6.平均利率、基准利率和到期收益率
平均利率指一定时期(通常指一个产业周期)不断波动的市场利率的平均水平,与不断变动的市场利率不同,平均利率会在较长时间内表现为不变的量。平均利率只能是平均利润率的一部分,这是由利息的性质决定的。平均利率不是市场利率波动的中心和摆动的基础;相反,平均利率是从市场利率中引申出来的。平均利率不是市场利率的简单加总的算术平均,而是按各种利率贷出的资本量的加权平均。由于竞争的加剧,平均利润率的下降使得平均利率的变化呈下降的趋势,但这种下降趋势在政府的干预下会受到一定程度的抑制。
基准利率是指在整个金融市场上和整个利率体系中处于关键地位、起决定性作用的利率。在金融市场上,由于利率的多样性与利率体系的复杂性,投资者不可能对每种利率都给予高度的关注。同时,在多种利率并存的情况下,总有某种利率起决定性作用,当它变动时,其他利率也相应发生变动。所以,借贷双方只需了解这种关键性利率——基准利率的水平及变化趋势即可。西方国家一般以中央银行的再贴现利率为基准利率。而在我国,在1984年以前,国家银行制定的利率起着基准利率的作用,市场利率的形成及其变动都以银行利率为参考。1984年中央银行体制确立后,以中国人民银行对各专业银行(现称为商业银行)的再贷款利率为基准利率。基准利率变动时,其他各档次的利率也相应地跟着变动。
在金融市场上,存在着各种各样的债务工具,这些债务工具的计息方式各不相同。为了便于比较,需要有一个统一的衡量利息率高低的指标,这个指标就是到期收益率,它是衡量利率的最精确的指标。到期收益率是指从债务工具上获得的回报的现值与其今天的价值相等的利率。
7.一般利率和优惠利率
按利率是否带有优惠性质,利率可分为一般利率和优惠利率。优惠利率是指国家通过金融机构或金融机构本身对于认为需要扶植或照顾的借款提供的低于一般贷款利率水平的利率。它与一般利率的差别就在于优惠性质。我国实行的贴息贷款就是实行的优惠利率。贴息贷款就是借款者支付低于一般利率水平的利息,贷款者少收入的利息差额由批准贴息的部门支付。外汇贷款利率中以低于伦敦同业拆借市场的利率为优惠利率。我国外汇优惠利率贷款主要由中国银行发放。
8.存款利率和贷款利率
按商业银行的业务性质,利率可分为存款利率和贷款利率。存款利率是存款的利息与存放金额之比,存款利率比较统一,往往受当局的利率牵制,难以灵活地反映资金的供求关系。因此,相对而言,存款利率在利率体系中不占重要地位。贷款利率是贷款的利息与贷款金额之比。银行贷款大部分面向企业,各银行对不同的企业采取不同的贷款利率,因此贷款利率不统一。存款利率和贷款利率存在着较大的差异,这是由银行的经营特性决定的,但差额的大小随银行垄断程度的不同而有所不同。银行众多而且同业竞争激烈的,存贷利差趋小;反之,存贷利差较大。当存贷利差过大时,企业会抛开银行直接融资;存贷利差过小时,银行收益又会下降。因此,存贷利差的合理确定对银行、企业都有着不可忽视的影响。
(三)影响利率的因素
1.社会平均的利润率水平
在社会主义市场经济中,利息仍作为平均利润的一部分,因而利息率也是由平均利润率决定。在一般情况下,社会平均利润率是利息率的最高界限,如果利率达到或超过平均利润率,表示货币所有者通过利息形式拿走了生产经营者借入资本的全部利润,生产经营者无利可图,从而就不会借款。利息来源于生产经营利润,利润率水平的高低必然制约利率水平的高低。
2.借贷资金的供求状况
在平均利润率既定时,利息率的变动则取决于平均利润分割为利息与企业利润的比例,而这个比例是由借贷资本的供求双方通过竞争确定的。资金的供求关系是影响各个时期市场利率的决定性因素。一般地,在资金市场上,当借贷资本供不应求时,借贷双方的竞争结果将促进利率上升;相反,当借贷资本供过于求时,竞争的结果必然导致利率下降。因此,市场利率主要取决于借贷资金的供求关系。在中国市场经济条件下,作为金融市场上的商品的“价格”,利率与其他商品的价格一样受供求规律的制约,因而资金的供求状况对利率水平的高低仍然有决定性作用。
3.物价变动的幅度
利率的最低界限不能低于同期的通货膨胀率。如果低于同期的通货膨胀率,表明货币所有者贷出的货币没有实际利息收入,从而他就不会把货币作为资本贷出。这样预期通货膨胀率便成为市场利率的下限。同时,由于价格具有刚性,变动的趋势一般是上涨,因而怎样使自己持有的货币不贬值或遭受贬值后如何取得补偿才是人们普遍关心的问题。这种关心使得从事经营货币资金的银行必须使吸收存款的名义利率适应物价上涨的幅度,否则难以吸收存款;同时,也必须使贷款的名义利率适应物价上涨的幅度,否则难以获得投资收益。所以,名义利率水平与物价水平具有同步发展的趋势,物价变动的幅度制约着名义利率水平的高低。
因此,合理的市场利率总是在预期的通胀率和平均利润率之间随着供求关系的变化而波动。
4.国际利率水平
国际利率水平对国内利率的变化具有一定的影响作用,因为国内利率水平的高低直接影响本国资金在国际间的移动,进而对本国的国际收支状况产生影响。当国际利率水平较低而国内利率水平较高时,会使外国货币资本流入国内,从而有利于国际收支状况的改善;反之,当国际利率水平较高,而国内利率水平较低时,会使本国的资金外流,不利于本国的国际收支平衡。同时,国际利率水平与国内利率水平之间的悬殊太大,不仅对国际收支产生影响,而且还会影响本国通货的对外价值,直接影响本国的对外贸易。所以,为了平衡国际收支,一国往往参照国际利率水平来调整国内利率水平,以减少国际收支逆差或顺差。
5.政策性因素
利率对社会再生产具有调节作用。因此,国家把利率作为调节经济的一种重要工具。利率不能完全随借贷资金的供应状况自由波动,而必须受到国家的调节,因此而产生的一些代表国家意向的经济政策就会对利率产生直接的干预和影响。世界各国政府都根据本国的经济状况和经济政策目标,通过中央银行制定的金融政策影响市场利率,进而达到调节经济、实现其经济发展目标的目的。当经济处于萧条阶段,一国通常采用扩张的货币政策,中央银行供应的基础货币增加,经济运行中的货币数量增加,流动性效应使名义利率下降,经济扩张,产出和就业增加,居民收入增加,收入效应对资金需求增大,拉动利率上升;经济增长和人们收入水平上升会使预期通货膨胀率上升,在通货膨胀效应作用下,利率可能上升。因此,国家的货币政策直接影响利率水平。而在社会主义市场经济中,利率基本上是管制的,由中国人民银行制定和控制,利率不是完全随着信贷资金的供求状况自由波动,而是取决于国家调节经济的需要,并受国家的控制和调节。
6.借贷资金的风险
利率作为借贷资金的价格,必然要反映其风险的大小。借贷资金的风险表现为违约风险、流动性风险等。在其他条件不变时,违约风险越大,利率也就越高。一般来说,国库券的违约风险为零,有违约风险的普通债券与无违约风险债券的国库券收益率之差反映了违约风险的大小,这种收益率之差被称为风险报酬。
7.借贷的期限长短
金融工具期限的长短对其利率或收益率有重要影响。比如,其他因素不变时,债券的期限越长其利率越高。时间越长,不确定因素越多,要求的报酬水平越高。
三、利息的计算
1.单利和复利
单利和复利是两种不同的计息方式。单利是指以本金为基数计算利息,所生利息不再加入本金计算下期利息。其特点是对利息不再付息,如我国发行的国库券和银行存款的利息多采用单利法。其计算公式是:
F=P+I=P(1+nr)
其中,I表示利息额,P表示本金,r表示利率,n表示时间,F表示本金与利息之和。
例如,存入银行1 000元,年利率为3%,第一年末,账户上的钱应该是:
F1=1 000×(1+3%)=1 030
第二年末,账户上的钱应该是:
F2=1 000×(1+3%×2)=1 060
以次类推,第n年末的存款账户总额为:
Fn=1 000×(1+3%×n)。
但是,在现实生活中,更有意义的往往是复利。复利也称利滚利,计算时,要将每一期的利息加入本金一并计算下一期的利息。其特点是上一期的利息要作为下一期的本金,也要计算利息。其计算公式为:
F=P(1+r)n
I=F-P
若将上述实例按复利计算,则第一年末,账户上的钱是:
F1=1 000×(1+3%)1=1 030
第二年末,账户上的钱是:
F2=1 000×(1+3%)2=1 090
依次类推,第n年末,该账户上的钱是
Fn=1 000×(1+3%)n
2.现值和终值
因为利息是收益的一般形态,所以任何一笔货币资金,无论将作怎样的投资,甚至还没有考虑将作怎样的运用,都可根据利率计算出在未来的某一时点上的金额。这个金额就是前面说的本利和,也称为“终值”。如果年利率是6%,现有资金为10 000元,在5年后的终值将是13 382.256元。如果把这个过程倒过来,知道5年后的某一个时点上将有13 382.256元,在年利率为6%的情况下,折回为现在的同一时点上应为多少金额?假设现在的金额为P,则5年后终值的计算式为:
F5=10 000×(1+6%)5=13 382.256
若知道终值为13 382.256元,要计算现值P,则计算式为:

这个逆算出的本金称为“现值”。从计算现值的过程可以看出,现在的1元钱比将来的1元钱价值大。因为现在可以把1元钱存入银行,一年以后连本带利肯定大于1元钱。如果有通货膨胀,一年以后的1元钱就更不值钱了。现代银行收买票据的业务,其收买的价格就是根据票据金额和利率倒算出来的现值,这即是贴现业务,现值也称贴现值。
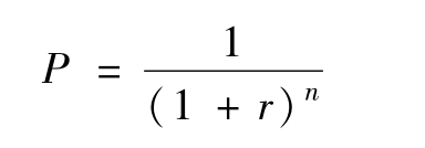
类似上面的推断,若贴现中采用的利率用r表示,则r被称为贴现率,n年后1元钱的现值可以用下式表示:

当n=10,r=6%,即10年后1元钱的现值为:

按贴现率为6%计算的话,10年以后的1元钱相当于现在的0.56元。通常称1元的现值为贴现系数。一般来说,贴现率越高,贴现系数越小。如果未来某个时点有一笔货币资金,就用其金额乘上贴现系数,便可以求得它的现值。
现值的计算方法除了用于银行贴现票据等类似业务方面以外,还有很广泛的运用领域。