1
微观经济学
1.6.2.2 二、生产函数

二、生产函数

对于厂商的生产过程及生产中使用的工艺、方法等,一般用生产函数来表示,生产函数将投入的生产要素与生产出来的产品或服务联系起来,描述产出量与投入量之间的函数关系。生产函数可以用各种方式表达出来,如用表格、图形或数学方程,表示在现有的技术水平下,一定量的投入所能生产出来的最大的产出量。这里要注意任何生产函数都是以一定时期内的生产技术水平作为前提条件的,一旦生产技术水平发生了变化,如技术退化或技术进步,原有的生产函数就会相应发生变化。

如果我们用X1,X2,…,Xn表示在某产品或服务的生产中所需要投入的n种生产要素,Q代表在现有技术水平下能生产出来的最大产量,那么生产函数可以表示为如下的形式:

Q=f(X1,X2,…,Xn)

上述生产函数的一般形式表示在既定的技术条件下生产要素组合(X1,X2,…,Xn)在每一给定时期内所能生产的最大产量为Q。

在微观经济学中,有几类常见的生产函数的类型十分有用,下面分别予以说明。

1.固定比例系数生产函数

不同的生产函数中各种生产要素的投入的比例关系是不同的,所谓固定比例系数生产函数是指在每一个给定的产量水平上任何一对要素投入量之间的比例都是固定不变的。为便于理解,假设只有两种生产要素劳动和资本,那么固定比例系数生产函数的形式是:

img98

式中,Q代表一种产品或服务的产出量,L代表劳动量,K代表资本量,a和b分别代表固定的劳动量和资本投入量的技术系数。这种形式的生产函数表示,每a单位的劳动配合b单位的资本可以生产出1单位的产出来,如果只有a单位的劳动量,尽管资本量远远超过b单位,产出也只能是1单位;同样,如果只有b单位资本量,劳动量超过a单位也只能获得1单位产出。

2.柯布—道格拉斯生产函数

柯布—道格拉斯生产函数(Cobb-Douglas function)是经济分析中常用的一种生产函数形式,其一般形式是:

Q=ALαKβ

式中,Q代表产出量,L和K分别代表劳动和资本的投入量,A表示技术系数,α和β分别为劳动和资本投入的贡献系数,表达了劳动和资本在生产中的相对重要性。α+β的值反映了规模报酬(下面第四节的规模经济问题中详细介绍)的变动情况,当α+β=1时表示规模报酬不变,α+β>1时表示规模报酬递增,α+β<1时表示规模报酬递减。

由于上述函数参数有明确的经济含义,柯布—道格拉斯生产函数在实证分析中有广泛的应用,而且这种形式在统计处理中也很方便,如果对这一函数取其对数形式,很容易转化为线性形式。上式两边取自然对数,可得:

ln Q=ln A+αln K+βln L

根据统计数据,我们可以得到各种要素投入和产出量的资料,运用回归分析中的最小二乘法就能估计出α、β和ln A的值,由此可以进行经济预测。

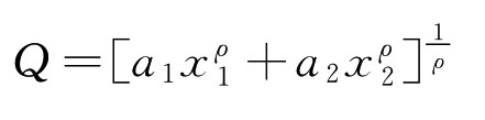
3.固定替代弹性生产函数(CES生产函数)

相比较而言,固定替代弹性(constant elasticity substitution function,CES)生产函数更具有一般性,柯布—道格拉斯生产函数可看作是CES生产函数的特例。其形式如下:

img99

式中,Q代表产出量,X1和X2代表两种生产要素,a1、a2、ρ是三个参数。当ρ=1时,CES生产函数成为线性生产函数,当ρ→0时,CES生产函数成为柯布—道格拉斯生产函数,当ρ→-∞时,CES生产函数变为固定比例系数生产函数。上述三个方面的证明和推导,有兴趣的读者可以参看更高级的数理经济学教材。