第一节 投资驱动型增长方式
许多国家历史上环境与生态急速恶化的状况往往出现在快速工业化发展阶段,源于过度追求经济增长速度,而忽视了不合理的经济增长方式造成的资源与环境负面影响。在我国,长期以来过度依赖投资驱动的高速经济增长逐渐暴露出增长效率下降,资源与环境双重约束加剧,基于劳动力、自然资源和生态环境等生产要素低成本的增长不可持续性凸显等问题。
一、我国长期以来的投资驱动型经济增长态势
从不同生产要素投入对经济增长的贡献来看,我国长期以来的经济增长方式可归为投资驱动型或外延粗放型模式。也就是说,资本的快速积累尤其是固定资产投资规模的扩大是我国经济增长的主要动因。(1)
改革开放以来,我国全社会固定资产投资的平均年增幅是13.5%,1990—2004年,固定资产投资年平均增长速度约20%;(2)2003—2011年,我国累计完成全社会固定资产投资144.87万亿元,年均增长25.6%,明显快于GDP、就业人员和消费的增长速度。(3)该时期全社会固定资产投资由2002年的4.35万亿元增加到2011年的31.10万亿元,投资规模增加了6倍多,是改革开放以来增速较高、持续时间较长的一个时期。此外,我国的固定资产投资率之高和快速攀升也属世界罕见,1978—1991年,我国固定资产投资率(即固定资产投资规模占GDP的比重)的平均水平为28.6%。1992年起,以支出法核算的GDP、消费支出和投资支出的绝对值都在增加,但是投资占GDP的比例持续增加。尤其是近年来,在面对国内外动荡的经济、金融环境时,面对净出口的下降,我国政府的财政政策和投资导向往往倾向于通过增加投资来保证宏观经济的持续高速增长。2005年起,我国的资本形成率(资本形成额占GDP的比重)已经持续稳定在40%以上,2011年该比例达到48.3%(如图1-1所示)(4),超过世界平均水平两倍。

图1-1 1990—2010年我国历年最终消费率与资本形成率变化
由图1-2我们可以看到,投资对我国GDP的拉动效果明显,最近十年来资本形成总额对GDP的拉动作用高于最终消费支出拉动。一直以来由于投资对我国经济增长起主要作用,且较大一部分投资是由从中央到地方各级政府的直接和间接投资,投资已经被当作调节宏观经济的一种手段。为了保证GDP的高速持续增长,当经济增长速度下降时,政府相应地就会制定投资计划,增加投资,刺激经济增长,维持GDP高增速。这在特定时期具有积极作用,但不能常态化。从消费和投资对我国GDP增加的贡献率的角度看,消费的贡献率相对较低。2001年至2011年间,最终消费支出对我国GDP增长的贡献率平均为43.7%。而资本形成总额所代表的投资对我国GDP增长的贡献率平均为52.4%。(5)

图1-2 消费和投资对GDP贡献率和拉动效应
注:支出法国内生产总值的三大构成项目为最终消费支出、资本形成总额、货物和服务净出口。贡献率指三大需求增量与支出法国内生产总值增量之比,拉动指国内生产总值增长速度与三大需求贡献率的乘积。
资料来源:《中国统计年鉴2012》,中国统计出版社2012年版。
应该承认,较高的资本形成率是许多亚洲国家创造经济增长奇迹的共同特征。例如,1955—1970年是日本经济高速增长时期,实际GDP年均增长10%以上,资本形成率由23.62%上升到1970年峰值的39.2%;韩国在1960—1991年间GDP增速平均为9.5%,资本形成率持续处于上升阶段,并于1991年达到峰值39.85%;新加坡在1971—1985年的高速发展时期固定资产投资形成率超过40%;马来西亚在20世纪90年代中期经济高速增长的时期,其固定资本形成率也超过40%。
根据这些国家的经验,作为世界上最大的发展中国家,又一直处于经济高速发展时期,我国的高投资率有着一定的合理性。但是,即使是日本和韩国,在经历了二三十年的经济高速增长期之后,其资本形成率都开始呈现明显的总体下降趋势,消费对经济的贡献率开始超过投资。1979—2008年,全球投资的贡献率仅23.5%,而消费贡献率为77.4%。发达国家中美国、日本、德国和英国的消费贡献率更是高达89.7%、73.6%、69.2%、91.8%,发展中国家巴西、印度、印度尼西亚和埃及的消费贡献率分别为82.6%、75.0%、70.3%、69.1%。(6)如我国这样经历了高达三十多年的经济高速增长时期,资本形成率、投资贡献率仍保持在50%水平的情况是绝无仅有的。
出于投资驱动型经济增长缺乏可持续性的考虑,从中央到各省国民经济和社会发展“十二五规划”纲要中,都对我国现有投资驱动型经济发展模式进行了反思,强调促进消费对经济发展的拉动。国家“十二五”规划纲要中再一次强调“坚持把经济结构战略性调整作为加快转变经济发展方式的主攻方向。构建扩大内需长效机制,促进经济增长向依靠消费、投资、出口协调拉动转变”。一些经济比较发达的省份,经济发展思路已经开始转向更加注重消费驱动。例如上海、广东、江苏这一类经济发达省份,都提出了具体的诸如“居民消费率”、“消费贡献率”等指标。对于固定资产投资上述三省没有提到过多过高的要求,江苏省提到“十二五”期间全社会固定资产投资年均增长14%,而广东和上海的规划纲要中甚至没有提出具体的指标要求。(7)
但我们也可以发现,在更多的地区,尤其是经济欠发达地区,经济对投资的依赖仍然没有实质性转变。例如湖南、陕西、贵州、云南这一类经济相对落后的省份在“十二五规划”中对于消费类指标没有过多提及,而对于资本形成率和固定资产投资率这一类指标都有明确的要求。湖南省提到“十二五”期间固定资产投资年均增长20%以上,居民消费率38%左右,贵州省提到全社会固定资产投资年均增长30%以上,云南省要求全社会固定资产投资年均增长15%以上,资本形成率60%,陕西要求全社会固定资产投资年均增长20%以上。(8)事实上,当前整个国家的经济增长仍更多地依赖于投资,消费的增长很大程度上也是源于政策的短期刺激,经济增长始终缺乏内生动力的支撑。
二、投资驱动型经济增长的低效问题
过度依赖投资驱动的高速经济增长模式,不可避免地暴露出增长的低效率与不可持续性。低效性首先体现为投资边际效益的递减。近年来,我国的固定资产投资效果系数、资本生产率、边际资本产出率等衡量投资效率的经济指标都呈现明显下降趋势。
例如以固定资产投资效果系数来考察我国固定资产投资效果,并据此判断投资效益的历年变化情况。固定资产投资效果系数等于当年GDP增加额除以当年固定资产投资额,反映一定时期单位固定资产投资所新增的GDP,可以形象地表达为“每投资一单位固定资产,所产生的GDP增加值”,是衡量经济效果的重要指标。而固定资产投资率是指固定资产投资规模占国内生产总值的比重。可以看到,随着固定资产投资率的逐年提高,我国固定资产投资效果系数波动中下降的趋势明显。最近几年来,投资效益不仅大幅度低于历史平均水平——到2009年,投资效果系数为14.0%,处于有历史数据的最低水平,即每投资1亿元的固定资产,GDP只增加0.14亿元,比1996年减少0.50亿元——而且凡是大量增加投资的年份,投资效果系数就明显下降。这说明,在投资规模增大的同时生产效率却在降低,高投入、低效益的问题较为突出。

图1-3 1995—2011年我国历年固定资产投资效果系数变化
资料来源:《中国统计年鉴2012》,中国统计出版社2012年版。
同样呈现下降趋势的还有每单位资本存量投入所创造的产出下降,即资本生产率逐年递减,已从1978年的2.4左右下降到2010年的1.3左右。尤其是20世纪初至今,经过十多年的固定资产与基础设施大量投资,我国单位投资收益已经开始下降,从2009年起很多行业出现了产能过剩。单位资本产出不断下降导致我国资本回报率越来越低。从2001—2010年,我国每增加一个单位资本,能增加0.13个单位产出,单位产出量低于20世纪90年代的0.17和80年代高点时的0.24。数据显示,固定资产交付使用率从1980年的1.41下降到2010年的0.63。资本回报越来越低说明我国经济运行所需要的资金越来越多。数据显示,我国信贷余额占GDP比例已从2002年的115%上升到2012年的121%。(9)
此外,在资本迅速深化的过程中,边际资本产出率(全社会固定资产投资增量/GDP增量)从1994年开始急剧上升,投资效益呈递减态势。张军考察了改革开放以来中国的实际资本—产出比率的变动模式,发现20世纪80年代到90年代末,该比率从2左右上升到5左右。(10)而根据郭庆旺等人提供的基础数据并对照《中国统计年鉴》数据计算,2000—2004年,我国的资本—产出比率已上升到5—7之间。(11)2004—2008年中国的边际资本产出率平均值达5.61,其中2008年更是高达7.58。
以上数据意味着在现有的高速增长模式下,同样的资本投入创造的经济增长增量越来越低,而要保持一定速率的增长,就必须给予更大的投入。一旦投资强度减弱或者投资停止,增长也就随即放缓甚至停止。
除此之外,资本投向偏差导致的资源错置及投资效率下降也应引起重视。在GDP至上的指挥棒引导下,一旦最终消费和净出口无法维持高速增长,地方政府就会转向对投资的过度依赖。为了保增长,地方政府纷纷上马各类公路、铁路、机场、港口、电站、新城建设等大规模基建项目或是房地产及相关行业项目,由此产生大量过度投资、重复投资、盲目投资的问题,资源错置导致投资低效。以机场建设为例,近年来各地大兴新建或扩建机场之风,重复建设、过度超前建设问题层出不穷。重复建设一是表现为相邻地区超需求的机场设施竞争性建设。例如长三角地区平均每万平方公里的机场密度为0.8个,超过作为全球最大民航市场美国每万平方公里0.6个的水平,而运营的机场中能盈利的多是沪、杭、宁等枢纽机场和部分中型机场,其余中小型支线机场大多处于亏损状态。同样的状况在珠三角、华北甚至中西部地区比比皆是。重复建设还表现在高速公路、铁路等其他交通基础设施的高度重复竞争性投资建设上。许多地区一边兴建机场,一边又加大投资以实现市市通高速、县县通高速的目标。再加上近年来铁路部门的改扩建与大提速,本地机场的航班起降架次较低,缺乏稳定的客货运量,只能依赖政府财政补贴维持运营。此外,许多地区尤其是一些经济欠发达地区的机场过度超前建设,更是加剧了此类投资的不经济性和资源闲置浪费。
与此同时,随着一些地区基础设施建设趋于饱和,部分中低端工业出现产能过剩,再加上能源资源环境约束效应的加强,我们越来越无法回避传统的投资驱动型增长的效率低下问题。
三、投资驱动型经济增长导致的资源与环境不可持续恶果
显然,我国的固定资产投资已经处于过热状态,而这种依赖高投资驱动的GDP增长,必然与粗放型的经济增长方式密切相关,即主要依靠增加生产要素的投入,如增加投资、扩大厂房、增加劳动投入等,采取数量平面扩张外延扩大的方式来推动经济增长。从投入产出的角度来看,这是一种高投入、低产出、高消耗、低效益的增长。
有人将这种增长形象地称为“起吊机经济”,神州大地上到处是工地,到处是起吊机,通过大上快上修路、修桥、造房子的固定资产投资项目来迅速拉动GDP。“起吊机经济”的盛行,往往与政府主导的大规模城市化建设泡沫密切相关。城市土地扩张速度超过城市人口扩张速度,比重偏高的公共建筑、超前的交通基础设施、房地产的过度开发等在内的各种泡沫建设,造成资源的大量浪费和对生态环境的大规模破坏。
根据中国城市建设统计年报,1991—2000年间,我国设市城市的建设用地平均每年增长1 022平方公里,平均每年征用土地122万亩。2000—2011年,城市建成区面积、城市建设用地面积分别以年均6.23%、5.96%的速度扩张,城市人口以年均3.78%的速度增长,城市化率年均增速仅3.21%,相当于土地面积扩张速度的一半。土地的城镇化速度远高于人口的城镇化。
如果用城市扩张系数即城市建成区的增长幅度除以城市人口的增长幅度来表示,根据国际经验,城市扩张系数一般为1.12。(12)但1985—2000年间,我国城市建成区面积增加139.1%,城镇人口增加82.9%,城市扩张系数为1.68;2000—2011年间,建成区面积增加94.3%,城镇人口增加50.5%,城市扩张系数为1.87。这意味着在我国城市的扩张过程中,土地利用效率不高,而且有进一步下降的趋势。(13)再比较一下建制镇的扩张系数:2000—2010年间,建成区土地面积增加74.7%,人口增加13.0%,扩张系数达到5.74,建制镇扩张中的土地浪费之严重由此可见一斑。
城市建设用地的迅速扩张不仅导致农用耕地的丧失,也造成了土地的大量闲置、荒废、占用或挪作他用,从而导致使用效率的降低。
依赖于投资驱动的建设泡沫还反映在许多地方政府过度超前的“铁公机”等交通基础设施建设上。交通投资占我国GDP的比重超高,近年来达到7%—9%;大量新建成的高速公路客货流量严重不足;支线机场建成后即大量亏损;一些扩张很大的港口的设计吞吐量大大超过实际运量。大城市间高速铁路与航空网络、城镇密集区内高速公路、城际快速客运系统之间由于能力建设重复正在形成不合理的竞争,造成大量原材料和能源的浪费。(14)
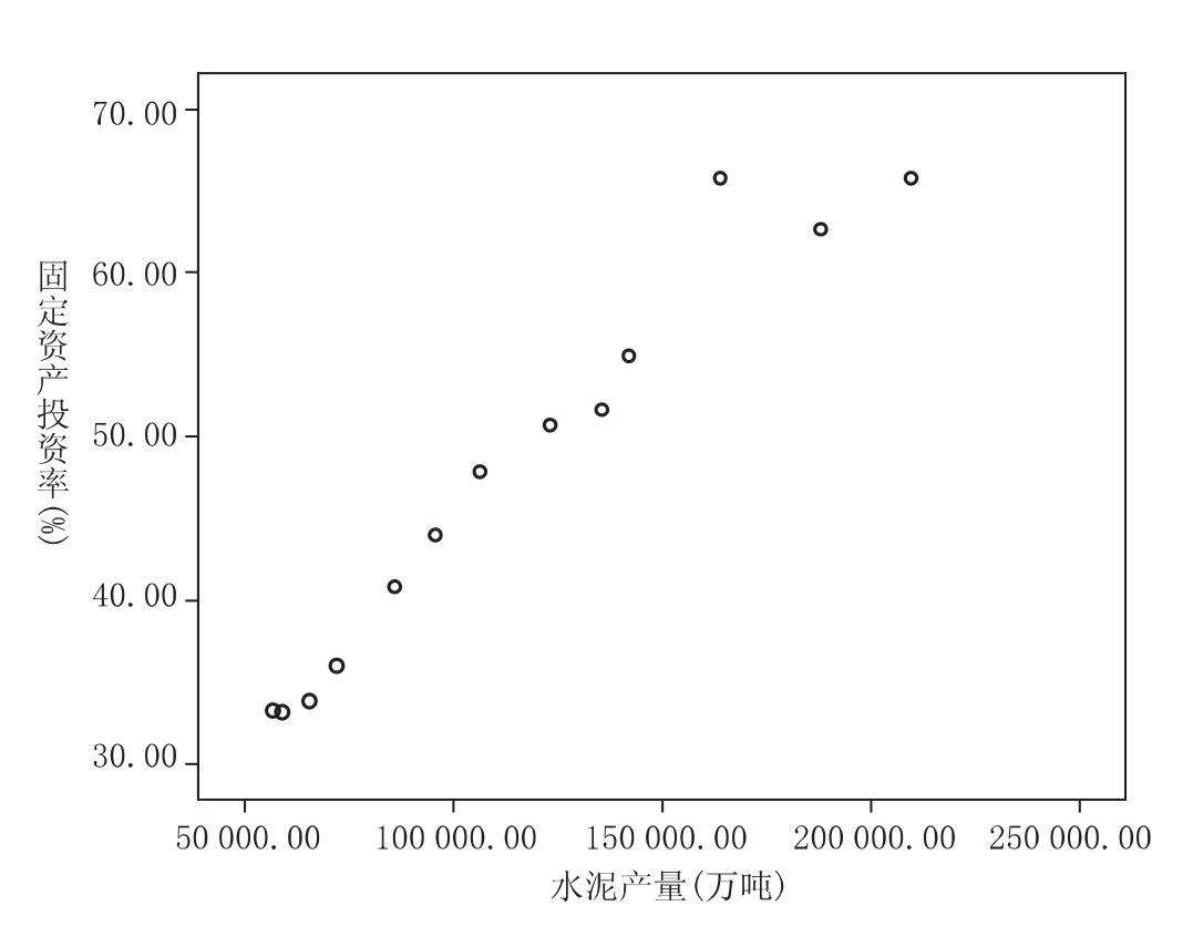
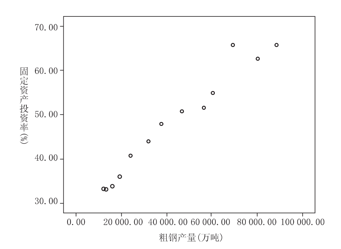
大规模城市化泡沫与超前基础设施建设进而拉动了上游的钢铁、水泥、煤炭、建筑等高耗能、高耗材、高污染的相关行业投资。我国2011年全社会固定资产投资总额为31.15万亿元,比2010年增加23.8%。其中,第二产业的固定资产投资占总投资的43%。(15)固定资产投资主要流向以重化工业为主的第二产业,尤其是制造业和建筑业,明显高于其他行业。由图1-4可见,当我国全社会固定资产投资率上升时,水泥、粗钢的产量也随之攀升。将1999—2011年全社会固定资产投资率分别与水泥、粗钢的产量进行相关性分析可知,在显著性水平0.01上固定资产投资率与水泥、粗钢产量的Pearson相关系数分别为0.976和0.980,呈高度正线性相关。同样,快速增长的六大高耗能行业也大大拉动了煤炭等能源产品的生产与消费。(16)相关性检验发现,我国在1999—2011年间煤炭产量与六大高耗能行业产值的Pearson相关系数处于0.931—0.984之间,呈显著的高度正相关关系。


图1-4 1999—2011年我国固定资产投资率与水泥、粗钢产量散点图
可见,为了维持经济的高速增长,大量投资于资本密集型、资源密集型和污染密集型行业,由此拉动能源与其他自然资源大量快速消费,推动大范围的、严重的环境污染与生态退化,对我国资源和环境形势产生了巨大压力。以空气污染为例,我国雾霾污染之所以趋于恶化,主要是因为燃煤消费量的高速增长。就全国而言,燃煤最主要的是为了满足钢铁、水泥等高耗能产业的需求。民众的能源消费仅占总能耗的8%,远低于国际平均水平,甚至低于发展中国家的平均水平。因此可以说,投资驱动的经济增长方式已经成为最重大的污染源。
【注释】
(1)根据国家信息中心经济预测部提供的资料:使用索罗增长模型测算的结果表明,1978—2002年我国经济平均年增长9.3%,资本积累贡献率为59%,劳动力总量扩张作用为9%,全要素生产率贡献率为32%,也就是说,资本积累、劳动力总量扩张和全要素生产率分别推动经济增长5.5个百分点、0.8个百分点和3个百分点。
(2)《中国统计年鉴2005》,中国统计出版社2006年版。
(3)《中国统计年鉴2012》,中国统计出版社2012年版。
(4)《中国统计年鉴2012》,中国统计出版社2012年版。
(5)《中国统计年鉴2012》,中国统计出版社2012年版。
(6)刘进军、伏竹君:《试论消费主导型经济增长模式》,《甘肃社会科学》2009年第6期。
(7)见江苏、上海、广东等省的国民经济和社会发展第十二个五年规划纲要。
(8)见湖南、陕西、贵州、云南等省的国民经济和社会发展第十二个五年规划纲要。
(9)仲武冠:《我国全要素生产率在降低》,《经济参考报》2013年1月28日。
(10)张军:《资本形成、工业化与经济增长》,《经济研究》2002年第6期。
(11)郭庆旺、贾俊雪:《中国全要素生产率的估算:1979—2004》,《经济研究》2005年第6期。
(12)Chen H.,Jia B.,Lau S.,“Sustainalble Urban form for Chinese Compact Cities:Challenges of a Rapid Urbanized Economy”,Habitat lnternational,2008,32:28—40.
(13)见《中国统计年鉴2012》,中国统计出版社2012年版。
(14)中国科学院学部:《关于避免我国交通建设过度超前的建议》,中国科学院,2011年。
(15)见《中国统计年鉴2012》,中国统计出版社2012年版。
(16)《2010年国民经济和社会发展统计报告》将六大高耗能行业列为:有色金属冶炼及压延加工业、石油加工炼焦及核燃料加工业、化学原料及化学制品制造业、黑色金属冶炼及压延加工业、非金属矿物制品业、电力热力的生产和供应业。