第七章 现金流量分析和价值分析
第一节 现金流量概述
一、关于现金概念
(一)2006《企业会计准则》中的规定
1.现金,是指企业库存现金以及可以随时用于支付的存款。不能随时用于支取的存款不属于现金。
具体讲,现金包括“现金”账户核算的库存现金,“银行存款”账户核算的存入金融企业、随时可以用于支付的存款,如结算户存款和通知存款等,以及“其他货币资金”账户核算的外埠存款、银行汇票存款、银行本票存款和在途货币资金等其他货币资金。但是,其中有些不能随时用于支付的存款,如不能随时支取的定期存款等,不应作为现金,而应列作投资;提前通知金融企业便可支取的定期存款,则应包括在现金范围内。
2.现金等价物,是指企业持有的期限短、流动性强、易于转换为已知金额现金、价值变动风险很小的投资。
期限短,一般是指从购买日起3个月内到期。现金等价物通常包括3个月内到期的短期债券投资。权益性投资变现的金额通常不确定,因而不属于现金等价物。企业应当根据具体情况,确定现金等价物的范围,一经确定不得随意变更。
现金等价物虽然不是现金,但其支付能力与现金差别不大,可视为现金。一项投资被确认为现金等价物必须同时具备四个条件:期限短、流动性强、易于转换为已知金额现金、价值变动风险很小。例如:企业购买了期限仅为3个月或在3个月内即将到期的国库券或其他短期债券,这类国库券和短期债券因离到期日很近,随时可转换成确定数额的现金,所以其利率变动对其价值的影响较小而可忽略不计,这类短期投资即可视同现金等价物。
企业应当根据具体情况确定现金等价物范围,并且一贯地保持其划分标准,如改变划分标准应视为会计政策变更。确定现金等价物的原则及其变更应当在会计报表附注中披露。
3.现金流量表,是指反映企业在一定会计期间现金和现金等价物流入和流出的报表。
相关案例
案例A
Morrison Kundsen公司在两个主要部门中经营——生产环境污染较小的发动机以及制造机车头和火车。在其1993年年度报告中,该公司阐明“现金等价物由不超过三个月初始到期日的高流动性证券投资组成”。
案例B
在其1993年年度报告中,波音公司把现金及短期投资定义为:“现金及现金等价物包括距到期日一般不超过三个月的高流动性证券,如存单、定期存款、中期国库券,以及其他的货币市场工具。”短期投资以近似于市场价的成本入账。
资料来源:华夏出版社《现金流量与证券分析》。
(二)利润与经营现金流量和自由现金流量的关系
利润指标常为投资者广为关注,因为它在公司财务报表中最容易获得。公司利润的突然变化会引起分析人员、投资者、债权人和金融媒体的广泛注意。以前的研究表明,利润的变化与证券收益呈正相关,也就是说,利润增长证券价格上涨,利润下降则证券价格下降。然而,在以权责发生制为基础的会计核算中,利润是在特定的会计方法下得出的,它可能受到经理的调控。我们认为,投资者如果使用较少受经理控制的指标可能会更好。另外,不同的公司往往就同一业务选用不同的会计处理方法,方法的不同使得会计利润有很大的可调整性,也使得不同企业甚至企业的不同期间的利润缺乏可比性。这样,基于会计利润的各种评估方法就显得十分脆弱。
利润指标的这些缺陷使得人们必须寻找到可以在不同企业之间进行比较的新型评估法,这种新型评估方法必须与所用的传统会计方法无关。基于现金流量的估价方法就可以达到这一要求。目前已经有越来越多的人认同,现金流量分析方法可以检验企业利润的质量。
相关案例
越来越多的企业不仅仅注意企业利润的变化,而且注意现金流量的变化问题。如钢铁制造企业商用金属公司在新闻公告中分析了其利润和现金流量的变化情况:
商用金属公司利润1200万元。
1991年10月22日,商用金属公司(在纽约证券交易所上市)报道今天公布,至1991年8月31日为止,该公司完成1200万的净利润,每股收益2.27元,销售收入11亿元。前三季度该公司经营现金流量为3800万元,而上年为4870万元。
该公司的董事长和首席执行官Stanley A.Rabin说:“在以后的三年半中本公司将保持较强的获利能力和良好的现金流入能力,本公司本年利润的下降是因为行业的不景气。”
资料来源:华夏出版社《现金流量与证券分析》。
经营现金流量是利润的一个替代指标,相对于利润而言,更不易受企业管理层的控制,对检查企业的财务健康状况和价值评估更有道理,人们在投资选股时会把它作为参考指标。但它的使用频率要少得多,因为经营现金流量只能从其他已披露的财务报表中推导得出。它在投资决策中有其局限性,特别是当公司报告的经营现金净流量包含有非常项目,如来自因竞争对手侵权公司专利的赔款、取得根据法院裁决必须支付的或收入的保险赔偿金,分析人士一般较难准确计算出必须排除的非常部分。另外,经营现金净流量不包括公司为保持当前增长率所做的投资。因此,尽管获取正的经营现金流量的能力对公司来说十分重要,但是这远非投资决策的终点。
相关案例
Morrison Kundsen公司,1993年的经营现金流量为负值。该公司主要从事火车车厢生产业务,这是一种长期合同业务,所以库存很多。但如果订单发出以后,该公司将从客户手中收到大笔现金,届时就可以归还因库存积压而筹借的短期借款。在以后的两年中,人们估计该公司将出现正的经营现金流量,但分析师不了解的是,该公司为了获得其中几个大的合同,压低了价格。因此,其1994年的现金流量仍不够偿还短期银行借款,这种尴尬局面出现后,该公司股价一路下滑。
资料来源:华夏出版社《现金流量与证券分析》。
自由现金流量更少地受到经理的调控,从直观上讲是较为合理的参考指标。企业可以将自由现金流量以股利的形式派发给股东,或者将自由现金流量留在企业中产生更多的自由现金流量。由于有真实的现金支出,自由现金流量不受会计方法的影响,也不受经理的操纵。自由现金流量等于来自顾客的现金收入净额减去用以保持当前增长率所需的现金支出。但它在实际投资决策中鲜为应用,这主要是因为它最难预测。
图7-1描述了得出自由现金流量、经营现金净流量和利润的信息来源。
二、新旧准则关于现金流量的规定
2006年财政部颁发的由1个基本准则和38项企业会计准则构成的《企业会计准则》与1997年至2001年期间颁布的16项具体会计准则相比有很多改进。
新《企业会计准则》中关于现金流量表的规定与旧企业会计准则相比的主要变化有以下六个方面。

图7-1 自由现金流量、经营现金净流量和利润的信息来源
(1)定义。
取消了“现金流量指企业现金和现金等价物的流入和流出的”定义。增加了现金流量表的定义。新准则规定,现金流量表是指反映企业在一定会计期间现金和现金等价物流入和流出的报表。
(2)适用范围。
新准则第三条规定,合并现金流量表的编制和列报,适用《企业会计准则第33号——合并财务报表》。明确与其他准则的分工,即本准则只规范个别现金流量表的编制和列报。原准则没有这方面的规定。
(3)新准则第十三条规定,在投资活动产生的现金流量中单独列示“购买或处置子公司及其他营业单位产生的现金净额”项目,原准则没有单独列示这个项目。
(4)简化了金融企业现金流量项目的列报。
新准则第十一条规定,金融企业可以根据行业特点和现金流量实际情况,合理确定现金流量项目的类别。只是给出金融企业现金流量列报的原则规定,没有列出具体项目。
原准则第十七、十八、十九条,对金融(包括保险)企业经营活动现金流量的内容作了较详细的规定。
(5)将净利润调节为经营活动现金流量的信息中增加了“公允价值变动损益”调整项目。
新准则体系中主要在金融工具、投资性房地产、企业合并、债务重组和非货币性交易等方面采用了公允价值计量,公允价值计量与原账面价值的差额计入当期损益。因此在现金流量表补充资料部分采用间接法将净利润调整为经营活动现金流量时,应将公允价值产生的差额计入当期损益的部分作为调整项目单独列示。原准则没有列示这个项目。另外,新准则依据《企业会计准则第18号——所得税》“递延税款”项目改为“递延所得税资产和递延所得税负债”项目。
(6)在第六章披露部分增加了企业应当在附注中披露与现金和现金等价物有关的下列信息,包括:①现金和现金等价物的构成及其在资产负债表中的相应金额。②企业持有但不能由母公司或集团内其他子公司使用的大额现金和现金等价物金额。
三、影响现金流量的主要因素
由于企业的经营活动、投资活动和筹资活动均会导致现金流量发生变动,因而,影响这三类活动的因素也就成为影响企业现金流量的因素。主要因素包括企业主营业务活动、营运资金管理水平、企业筹资能力和企业投资状况四个方面。
(一)企业主营业务活动
企业为了生存,必须获得现金,以便支付各种商品和服务的开销。尽管企业可以通过外部筹资来获取现金,但从长期看主要的现金来源仍然是企业的主营业务活动。在会计核算上,尽管权责发生制下的净收益并不等于收付实现制下的净现金流量,但净收益却是净现金流量的基础,企业一定时期的净收益大小对经营活动净现金流量仍然具有较大的影响。在正常情况下,企业实现净收益越多,对应的经营活动净现金流量也越多;而企业实现的净收益越少,对应的经营活动净现金流量也就越少。
影响企业净利润创造的因素,同时也影响着企业现金流量的状况。企业利润的形成具有层次性:第一层次,企业的利润是因各种业务活动产生的,因而要分析它们对企业现金流量的影响;第二层次,企业各项业务活动又是由一系列因素构成的,如企业的主营业务收入就是由商品生产及销售商品或提供劳务两个最主要的环节构成,而这两个环节一个形成企业的现金流出,一个形成企业的现金流入;第三层次,企业的主营业务是由更加具体的交易或业务循环构成的,交易或业务循环的同时伴随着现金循环的重叠出现,因而,这两种循环之间的匹配性就需要深入研究;第四层次,交易或业务循环是由多环节的相互关联的具体项目构成的,各项目的不同变化必然导致现金流量随之发生变化;第五层次,在企业整个价值链的背后还有着更深层次的影响因素,这些因素就是导致企业价值链上每一个环节的具体项目变化的最基本原因。从宏观方面看,有企业经营环境,地域范围,包括与上游供应商和下游分销商之间构成的价值链关系、企业自身的经营规模及管理水平等;从微观方面看,其产品的获利能力、生产技术、成本水平等,均会影响主营业务的现金流入与流出,并直接影响着企业现金净流量。可以说,经营活动现金盈余创造是企业具有活力的主要标志之一。
(二)营运资金管理水平
营运资金即企业的流动资金,是指一个企业维持日常经营所需要的资金,一般是指流动资产与流动负债的差额,它基本上等于企业存货加上应收账款减去应付账款后的余额。很明显,存货库存时间的延长、产品生产周期的延长、应付账款付款期的缩短、应收账款收款期的延长等,均会导致高额的流动资金占用,进而导致较长的现金回收周期,影响企业现金流量状况。而通过高水平的营运资本管理,可以实现较短的现金回收周期,提高企业现金流量状况。
这样,通过分析企业存货周转期、应收账款平均回收期、应付账款平均付款期等各种因素,能够找到影响企业不合理营运资金占用的根源。换言之,分析营运资本管理水平对企业现金流量状况的影响主要集中在以下三个方面:其一,存货周转期的相关分析。可以从原材料周转期、产品的生产周期及产成品的周转期三个角度展开,深入下去就会涉及企业供应部门、生产部门及销售部门诸多职能部门的运作效率。其二,应收账款周转期的相关分析。可以从应收账款结构变化的原因、企业信用政策变化的原因、债权人的财务实力及信用状况等展开分析。其三,应付账款周转期的相关分析。这主要是对企业货款支付过程进行的分析,因为在合理的范围内尽量延长货款支付时间应该是企业的一项基本政策。企业应该对付款程序的每一个环节予以仔细审查,尽可能缩短现金回收期。通过对这些因素的分析,可有效控制企业现金流量。
(三)企业筹资能力
确保满足企业预期经营规模的资金需求是企业筹资活动的最主要功能。但一般而言,企业现金来源不能过度依靠企业筹资而取得,因为企业筹资的目标是既满足企业资金需要(包括日常运营及对内对外投资),又不使企业财富受到损失。企业筹集资金的目的主要是为了满足再生产的需要,而使用资金是要支付成本的。当企业以借款或发行债券、股票等形式筹集资金时,会引起企业现金的流入;而当企业归还本金与利息时,又会引起现金的流出,如果企业资金不足,可能会造成营运状况不良,导致停工减产,利润下降;但如果筹资金额过剩,又会造成浪费,加大企业成本支付。因而,筹资活动应是一项极其谨慎的企业行为。企业筹资能力主要包括两方面含义:其一是指企业融入资金数量的合理性;其二是指融入资金成本的高低。影响企业筹资能力的因素主要有资金需求量、资本成本、筹资方式、筹资手段及企业信誉、生产经营状况等。
企业发行股票吸收权益性投资,发行公司债券及票据取得长期、短期贷款等,都会使企业现金流量有较大幅度的增加;而当企业偿还到期的债券和银行借款、支付融资租赁租金中的本金部分及发行股票、公司债券或其他筹资形式而支出费用时,又会使企业现金流量大幅度减少。由于企业能否实现筹资目标要取决于企业外部及内部自身的诸多因素,为筹资而筹资是很危险的。
(四)企业投资状况
企业投资活动是企业进行的以营利为目的的资本性支出活动。企业投资既包括企业内部使用资金的过程,如购置流动资产、固定资产、无形资产等,也包括对外投放资金的活动,如购买其他企业的股票、债券等。
投资活动是一项引起现金流出的活动,企业投资的过程就是一个现金流出企业的过程,投资量越大,现金流出量也就越大;而当企业收到投资收益时,又会引起现金流入。处于不同发展时期的企业,对投资的要求和资金需求量不同,得到的投资收益也不同。一般对处于成长期的企业来说,投资增长会耗费大量的资源,使得企业的现金流出量增加,现金流入量减少;而处于成熟期的企业,生产规模和投资规模都比较稳定,投资额相对减少,而以往的投资带来的收益开始增加,相对来说,现金流出量下降,流入量逐渐上升。而对于专用性较强的投资,其变现期限较长,变现能力受到一定的限制,当企业的投资增长过快时,容易导致现金短缺。
影响企业投资状况的因素主要有企业生命周期、企业投资报酬率、投资风险程度等。
四、现金流量分析的目的
企业现金流量是伴随着经营活动、投资活动和筹资活动产生的,而这些活动的背后是一系列交易行为。因此,现金流量在一定程度上反映了企业交易行为的合理性与有效性,反映着企业财务状况的质量与经营成果的水平。对现金流量进行分析,站在不同利益相关者角度,其目的也不同。
(一)企业经营者
经营者最为关注的是企业的生存、发展和获利情况,从现金流量角度上看,经营者的一般原则是:销售商品与提供劳务所收到的现金,应该超过为生产商品与提供劳务而支付的现金,并且妥善利用销售收入。因此,企业经营者进行现金流量分析的目的是判断企业交易活动创造现金流量的能力,并通过分析企业账面净利润与实际现金流量之间差异产生的原因,来发现企业业务活动中存在的不足,为寻求改善和加强经营管理的措施与途径提供依据。
(二)企业所有者
投资者最为关注的是能否最大限度地获得投资收益及资本利得情况,而企业支付股利的能力取决于现金流量状况。因此,企业所有者进行现金流量分析的目的是判断企业获取现金利润能力、股利支付能力和风险规避能力。
(三)企业债权人
债权人最为关注的是企业对债权的保障程度,即以现金资产偿还本金及利息的能力。因此,债权人进行现金流量分析的目的是判断企业偿债能力的高低及企业信誉。
(四)其他利益相关者
现金资产是任何契约履行的最佳资产形式,良好的现金流量状况在一定程度上表明了企业的信用状况及信守合约的能力。因此,对于利益相关者来说,现金流量分析均可用来作为判断未来与该企业发生业务往来的可行性依据。
第二节 现金流量项目分析
现金流量表的目的是揭示在会计期间内影响现金的经济事项的有关信息。报表中描述了三种一般类型的经济事项或活动:经营现金流量、筹资现金流量和投资现金流量。
那些在某个期间影响现金的事项可能对投资者、供应商、债权人和雇员非常重要。有关经营现金流量的信息指出了企业的连续业务产生现金的能力。有关投资现金流量的信息指出了企业如何为资本项目而使用(收到)现金或清理资产以在不利形势下继续生存。有关筹资现金流量的信息指出了企业如何为其扩张筹集资金或者向股东分配股利,如果一个筹资事项不涉及现金(如优先股转为普通股),这个信息将单独披露。
现金流量是企业一定时期内现金及现金等价物(以下将两者均称为现金)流入和流出的数量。需要指出的是,企业现金形式的转换不会产生现金流入和流出,比如企业从银行提取现金、企业用现金购买将于3个月内到期的国库券等。
2006《企业会计准则》中规定:现金流量表应当分别对经营活动、投资活动和筹资活动列报现金流量。
一、经营活动产生的现金流量
(一)概念
企业应当采用直接法列示经营活动产生的现金流量。
经营活动,是指企业投资活动和筹资活动以外的所有交易和事项。
经营活动的定义为“经营活动一般包括生产、发送货物和提供服务。经营活动产生的现金流量一般是指涉及净收益确认的交易和其他事项的现金影响。”
直接法,是指通过现金收入和现金支出的主要类别列示经营活动的现金流量。
相关材料
FASB列表说明了经营活动产生的具体现金流入:
a.销售商品或劳务所收到的现金,包括因这些销售产生的应收客户账款和短期及长期应收票据的收回和出售而得到的现金。
b.贷款收益、其他企业的其他贷项收益和权益性证券收益形成的现金收入——利息和股利。
c.从不属于投资或筹资活动的业务中取得的其他现金收入,例如胜诉所得现金;除那些与投资或筹资活动直接相关的活动如建筑物的毁坏以外的保险结算所得;以及供应商还款所得。
经营活动产生的现金流出为:
a.购买用于生产的原材料或再销售的货物形成的现金支出,包括为这些原材料和商品而产生的应付供应商的账款和长短期应付票据的本金支出。
b.因其他产品或劳务支付给其他供应商和职工的现金。
c.向政府交纳的所得税、关税、罚款和其他费用或违约罚款发生的现金支出。
d.支付给放款人和其他债权人的利息。
资料来源:华夏出版社《现金流量与证券分析》。
(二)有关经营活动现金流量的信息,可以通过下列途径之一取得
(1)企业的会计记录。
(2)根据下列项目对利润表中的营业收入、营业成本以及其他项目进行调整:
①当期存货及经营性应收和应付项目的变动;
②固定资产折旧、无形资产摊销、计提资产减值准备等其他非现金项目;
③属于投资活动或筹资活动现金流量的其他非现金项目。
(3)金融企业可以根据行业特点和现金流量实际情况,合理确定经营活动现金流量项目的类别。
(三)经营活动流入流出列报项目及分析
企业的现金流量产生于多种多样的业务与经济行为,这些行为的性质不同,对现金流量的可持续性影响也有所不同。经营活动产生的现金流量,是企业在日常的营业活动中从事正常经营业务所产生的现金流量,包括物资的采购、商品的销售、提供或接受劳务、缴纳税款、支付工资、发生相关经营销售费用等行为中所涉及的现金流量。在持续经营的会计基本前提之下,经营活动现金流量反映的是企业经常性的、持续的资金流入和流出情况。
1.经营活动产生的现金流入项目
(1)销售商品、提供劳务收到的现金。
本项目反映企业从事正常经营活动所获得的、与销售商品或提供劳务等业务收入相关的现金流入,包括销售收入和应向购买者收取的增值税销项税额。具体包括:本期发生的业务并在本期收到的现金,前期发生的业务本期收到的现金,至今尚未发生但本期预收了款项的现金,减去本期销售本期退回的商品和前期销售本期退回的商品支付的现金。企业销售材料和代购代销业务收到的现金,也在本项目反映。
正常情况下,企业的资金所得,主要依赖于其日常经营业务,而销售商品、提供劳务收到的现金,就反映了企业日常经营活动中所能够提供的、有一定可持续性的资金流入。
企业本期销售商品、提供劳务收到的现金可用如下公式计算得出:
本期销售商品、提供劳务收到的现金=本期销售商品、提供劳务收到的现金+本期收到前期的应收账款+本期收到前期的应收票据+本期的预收账款-本期因销售退回而支付的现金+本期收回前期核销的坏账损失
(2)收到的税费返还。
本项目反映企业当期收到的各种税费返还款,包括收到的增值税、营业税、所得税、消费税、关税和教育费附加返还款等。体现了企业在税收方面享受政策优惠所获得的已缴税金的回流金额。
(3)收到的其他与经营活动有关的现金。
本项目反映企业除上述各项目外,收到的其他与经营活动有关的现金流入,如罚款收入、流动资产损失中由个人赔偿的现金收入等。这部分资金来源在企业经营活动产生的现金流入量中所占比重很小,通常带有一定程度上的偶然性因素。
其他与经营活动有关的现金,如果价值较大的,应单列项目反映。
2.经营活动产生的现金流出项目
(1)购买商品、接受劳务支付的现金。
本项目反映企业在正常的经营活动过程中所支付的、与购买物资及接受劳务等业务活动相关的现金流出,包括支付的货款以及与货款一并支付的增值税进项税额,具体包括:本期发生本期支付的现金,本期支付前期发生的未付款项,至今尚未发生但本期预付了款项的现金流出,减去本期发生的购货退回收到的现金。
企业本期购买商品、接受劳务支付的现金可用如下公式计算得出:
购买商品、接受劳务支付的现金=本期购买商品、接受劳务支付的现金+本期支付前期的应付账款+本期支付前期的应付票据+本期预付的账款-本期因购货退回收到的现金
(2)支付给职工以及为职工支付的现金。
本项目反映企业当期实际支付给从事生产经营活动的在职职工的现金以及为职工支付的现金,包括实际支付给职工的工资、奖金、各种津贴和补贴等,以及为职工支付的诸如养老保险、失业保险、商业保险、住房公积、困难补助等其他各有关方面的现金。
职工是企业生产经营活动中不可或缺的具体实施者。支付给职工以及为职工支付的现金是保证劳动者自身生存及其再生产的必要开支,因此也属于企业持续性的现金支出项目。
本项目不包括支付的离退休人员的各项费用和支付给在建工程人员的工资等。支付的离退休人员的各项费用,包括支付的统筹退休金以及未参加统筹的退休人员的费用,在“支付的其他与经营活动有关的现金”项目中反映;支付的在建工程人员的工资,在“购建固定资产、无形资产和其他长期资产所支付的现金”项目中反映。这两者虽然也属于企业经常性的现金流出,但与企业日常经营运作中所形成的人力成本略有不同:前者体现了企业在离退休人员的安置赡养等方面所承担的部分社会责任,而后者构成了企业非货币性长期资产的成本的一部分。
新企业会计准则规范和明确了职工薪酬的会计处理原则。
①首先统一了各类职工薪酬的会计处理原则:在职工提供服务的会计期间确认为负债,根据收益对象计入资产成本或当期费用。应由生产产品负担的职工薪酬,计入存货成本;应由在建工程、无形资产负担的职工薪酬,计入建造固定资产和无形资产成本;应由产品和在建工程负担以外的其他职工薪酬,计入当期费用。而以往则是除了部分行业会计制度规定福利费按照受益对象计入资产、成本或当期费用外,其他职工薪酬则全部计入当期费用。
②福利费的会计处理方法:新准则取消了按14%比例提取职工福利费的要求,而原制度则是各类企业不尽相同,有的按工资总额的14%计算并保留余额,有的则按实列支不留余额,新准则同意了职工福利费的会计处理方法。
③导入了新增职工薪酬的会计处理方法:对于企业在正常退休之前解除与职工的劳动关系,以及为鼓励职工资源接受裁减而提出给予的补偿,在符合企业以指定正式的解除劳动关系计划和企业不能单方面撤回解除劳动关系计划这两个条件时,应确认为负债并列入当期费用。
(3)支付的各项税费。
本项目反映企业按规定在当期以现金缴纳的所得税、增值税、营业税、房产税、土地增值税、车船使用税、印花税,以及教育费附加、城市建设维护费、矿产资源补偿费等各类相关税费,反映了企业除个别情况之外所实际承担的税费负担。包括本期发生并支付的税费,以及本期支付以前各期发生的税费和预交的税金。
本项目不包括的有:企业支付的按规定应计入固定资产成本中的耕地占用税,应列示在“构建固定资产、无形资产和其他长期资产支付的现金”项目中。企业在购买商品时随交易价款一并结算支付的增值税,包含在“购买商品、接受劳务支付的现金”项目中。以及本期退回的增值税、所得税,在“收到的税费返还”项目中反映。
需要注意的是,修订前的会计准则中的“支付的增值税款”、“支付的所得税款”、“支付的除增值税、所得税以外的其他税费”项目,均包括在修订后的会计准则中的“支付的各项税费”项目中。
(4)支付的其他与经营活动有关的现金。
本项目反映企业除上述各项目外,支付的其他与经营活动有关的现金,如支付给离退休人员的各项费用,以及企业支付的罚款支出、差旅费、业务招待费、保险费、办公费用及营销费用支出等。
其他与经营活动有关的现金,如果价值较大的,应单列项目反映。
(四)经营活动现金流量分析
经营活动现金流量的最大特点,在于它与企业日常经营活动的直接的密切关系,无论是现金流入量还是现金流出量,都体现了企业在维持目前生产能力和生产规模状态下对现金及其等价物的获得与支出水平。
现金流量分析中要考察的最重要的部分是经营现金流量,因为它表示公司在长期内资金的主要来源。一般来说,如果公司所拥有现金的绝大部分不是从经营活动中获得的,公司就无法长久地存续下去。显然,现金的最重要来源是公司的盈利,这是公司经营的主要原因,现金代表了“自由”资金。除非在极特殊的情况下,缺乏盈利性将最终导致经营活动的终止。现金的其他来源(借款、股权投资或资产出售)都应该是经营活动的补充。可以将这些作为筹集现金的办法,但是在长期内它们不应是资金的主要来源。
当然,经营活动产生的部分利润,是对净收益所作的非现金交易调整:折旧、递延税款、摊销、运营资本的变化等。这些必须与净收益相加,以确定经营活动产生的现金总量。净收益的其他调整(如子公司的未分配收益、意外收益或损失、特别支付或信贷、处理诉讼等)应该分别予以考察,以确定它们是现行活动产生的现金的一部分,还是不属于目前经营活动评估的单独项目。每个公司都需要作这样的确定,并在之后的年份中沿用下去,以确保评估的可比性和结论的正确性。运营资本组成部分(如流动资产和流动负债)的变化,是经营现金流量的一部分,经常在合理的范围内上下波动,所以通常不作为整体经营现金流量考虑的重要方面。但是,也有很多例外,且不应总是认为运营资本在公司的控制中。需要检查和跟踪运营资本,以确定它确实处于有效的控制中。
现金应从经营活动中来,应用到投资活动中去,将筹资作为保持两者平衡的活动。
经营活动产生的净现金流量意味着公司能够从持续经营活动中产生的(或需要花费的)现金数。最理想的是,公司在每一期间,应该都能从营业活动中产生现金。但在现实中,许多财务健康的公司在大多数期间能从营业活动中产生现金,但在一些期间则会在营业活动上花费较多的超过其从顾客处获得的现金。另外,一些公司可能处在其事业的发展期,它们将会投资于开发产品,建立生产设施及销售渠道(投资活动),但大量来自客户的现金收入不能期望在未来发生。另一个例子是季节性经营,即在一或两季投资建立存货,而大部分销售在其余季节发生(如在假期)。这样在购进存货的季节,经营现金流量就有可能是负的;而在存货销售的季节,经营现金流量就会是正的。
对于一些时期,或对一些公司来说,经营活动现金的净流出是可以接受的,如生产长期合同产品的制造商(例如波音公司),它必须在生产初期在机械上改进以适应新产品的生产并购进存货。不过,在大多数情况下,经营活动产生的净现金流量还应是正的。一个在持续经营活动中花费超过所得的企业,将不得不以某种方式为这些活动筹资。它可以使用其现金储备,也可以另外借入现金,可增加追加权益,或者变现其投资和固定资产。但是,这些选择中没有一项能长时间坚持。例如,如果一个企业一直不能从其经营活动中产生足够水平的现金,则债权人不可能一直借钱给它。与此类似,必要资产的变现可能会减少经营活动在未来产生现金流量的机会。所以,如果经营活动产生的现金流量一直是负的(与季节性经营及营业周期无关),则现金流量分析者应予以仔细审查。
除了经营活动产生的净现金流量外,分析者还应审查现金流量的构成。实际现金流入始于应收账款的收回。企业收回应收账款的难易程度是其财务灵活性的重要决定因素。收款期的改进始于信贷审批。对于小的、不知名的或刚开始经营的企业来说,要提高经营现金流量,信用分析师需要非常勤勉。
要提高经营现金流量,除了计划存货的减少外,最应研究的是应收账款的减少。现在,大量改进的信用分析计算机软件使得信用分析师能确定预期的和现有的应收账款,并使较快的回收期成为可能,而较短的应收账款回收期则增加了经营现金流量。另外,和应收账款软件的大幅改进一起,保守的顾客信用和折扣的运用已经使收款流量大为改观。
由于软件程序的发展及其使用的方便,现在信用部门的分析师能熟练应用财务部门报表中的应收账款账龄分析表。虽然一些分析师喜欢看平均回收期,但该公式并不能提供给他们更重要的收款和信用信息。例如,(1)哪个客户按时支付了账单并可能记为贷项;(2)哪个客户的支付问题非常严重,再对其发送商品是不合理的,以及谁的账款将可能被列为坏账。
二、投资活动产生的现金流量
(一)概念
2006《企业会计准则》中规定:投资活动,是指企业长期资产的构建和不包括在现金等价物范围的投资及其处置活动。
长期资产是指固定资产、在建工程、无形资产、其他资产等持有期限在一年或一个营业周期以上的资产,而包括在现金等价物范围内的投资不包括在内。
此处的投资活动是指企业有关对外进行股权或债权投资,以及对内进行非货币性长期资产(如固定资产、无形资产及其他长期资产等)投资的活动。而投资活动产生的现金流量便是反映企业在股权与债权投资中,以及与非货币性长期资产的增减变动相关的活动中所产生的现金收付金额。
企业对外进行股权或债权投资,并不直接影响当期的经营活动,但是其日后的转让与收回,却是企业未来一笔不小的资金流入;此外,股权投资所可能带来的对被投资方的控股或重大影响,也有可能对企业未来获得经营物资或打开销售渠道提供潜在的和良好的帮助。
至于企业构建或处置固定资产、无形资产及其他长期资产等非货币性长期资产,则会在很大程度上影响企业未来的经营规模与生产能力,甚至在一定程度上改变企业的资产结构与经营方向。构建这类非货币性长期资产的现时资金的大量流出,可能意味着企业未来营运规模的扩大、生产技能的提高与经营策略的调整;而处置这类非货币性长期资产的现时资金的过多流入,也可能预示着企业压缩经营规模,或出于转变经营方向的需要而大量处置原有设备等长期资产。
相关材料
FASB把投资活动产生的现金流量定义如下:
投资活动包括贷款的发放与收回,负债或权益证券、地产、厂房和设备以及其他生产性资产的取得与出售。其他生产性资产是指企业拥有的或用以生产产品或劳务的资产(而不是指构成企业存货一部分的原材料)。
因此,投资活动现金流量的定义包括作为金融或固定资产投资的现金流出,以及这些投资处置时获得的现金流入。而且,投资活动现金流量是对金融工具投资及实物投资(财务、厂房和设备)而言的。FASB进而把投资活动产生的现金流入和现金流出描述如下。
流入:
(1)收回或出售企业所发放的贷款和企业所购买的其他主体的债务票据(非现金等价物)所收到的现金。
(2)出售其他主体的权益性证券以及这些证券所得报酬的现金流入。
(3)出售地产、厂房和设备以及其他生产性投资所收到的现金。
流出:
(1)企业发放贷款以及取得其他主体的债务票据(非现金等价物)的现金支出。
(2)取得其他主体权益性证券的现金支出。
(3)购买地产、厂房和设备以及其他生产性资产时或购买前后不久支付的现金。
资料来源:华夏出版社,《现金流量与证券分析》。
(二)投资活动流入流出列报项目及分析
1.投资活动产生的现金流入项目
(1)收回投资所收到的现金。
本项目反映企业在当期出售、转让或到期收回其所持有的对外股权或债权投资所收到的现金。包括出售、转让不属于现金等价物的交易性金融资产、可供出售金融资产、长期股权投资收到的现金,以及收回各类债权投资所收到的现金。
不包括债权投资收回的利息,以及收回的非现金资产。
(2)取得投资收益所收到的现金。
本项目反映企业因债权性投资而取得的现金利息收入、因股权投资而分得的现金股利,以及由于被投资方分配利润而收到的现金等。短期持有的股票股利不在本项目中反映,包括在现金等价物范围内的债权性投资,其利息收入不在本项目中反映。
(3)处置固定资产、无形资产和其他长期资产所收到的现金净额。
本项目反映企业在当期由于处置固定资产、无形资产和其他长期资产收到的现金,减去由于处置行为而产生的有关费用后的净现金流入量,以及由于自然灾害造成企业该类长期资产损失而获得的保险赔偿所收到的现金等。
处置固定资产、无形资产和其他长期资产所收到的现金,与处置活动支付的现金,两者在时间上比较接近,以净额反映更能准确反映处置活动对现金流量的影响。由于自然灾害等原因所造成的固定资产等长期资产的报废、毁损而收到的保险赔偿收入,也在本项目中反映。需要注意的是,固定资产报废、毁损的变卖收益以及遭受灾害而收到的保险赔偿收入等,也包括在本项目中反映;如处置固定资产、无形资产和其他长期资产所收回的现金净额为负数,则应作为投资活动产生的现金流量,在“支付的其他与投资活动有关的现金”项目中反映。
该项目的现金流入量与企业的日常运营没有直接的必然联系,通常也不具有持续性。因此,在分析考虑企业未来获取现金的能力时,对该项指标不应过多考虑。然而,该项现金流入量的金额过大,可能意味着企业借助于大量处置现有的固定资产、无形资产等来压缩生产经营规模,或者为转变经营方向进行相应的调整。此时虽然对当期的经营性现金流量没有明显的影响,但完全有可能对企业未来的经营活动以及相应的经营性现金流量产生影响。
(4)处置子公司及其他营业单位收到的现金净额。
本项目反映企业处置子公司及其他营业单位收到的现金净额。
(5)收到的其他与投资活动有关的现金。
反映企业除上述各项目外,收到的其他与投资活动有关的现金,如果金额相对不大,可以包括在该项目中;如果金额相对较大,则应当单列项目反映。本项目可根据有关科目的记录分别填列。
2.投资活动产生的现金流出项目
(1)构建固定资产、无形资产和其他长期资产所支付的现金。
本项目反映企业在当期由于购置或自行建造固定资产、取得无形资产和其他长期资产而发生的直接的现金支付金额,如购置该类资产所支付的买价、税金、运杂费、安装调试费等,以及建造该类资产支付的现金和人员工资等现金支出。
不包括为构建固定资产而发生的借款利息资本化部分,以及融资租入固定资产所支付的租赁费。为购建固定资产而发生的借款利息资本化部分,以及融资租入固定资产所支付的租赁费,应在“筹资活动产生的现金流量——支付的其他与筹资活动有关的现金”项目中反映,不在本项目中反映。企业以分期付款方式构建的固定资产,其首次付款支付的现金在本项目中反映,以后各期支付的现金在“筹资活动产生的现金流量——支付的其他与筹资活动有关的现金”项目中反映。
该项目本身也与企业当期的日常运营没有太多直接的必然联系。然而,该项现金流出量的发生,有可能预示着企业未来某些方面生产经营规模的调整与扩大,从而对企业未来经营活动所需资金流出以及相应的经营成果的资金流入都产生较大的、不可忽视的影响。
(2)投资所支付的现金。
本项目反映企业进行权益性投资和债权性投资所支付的现金,包括企业取得的除现金等价物以外的交易性金融资产、可供出售金融资产、持有至到期投资、长期股权投资支付的现金,以及支付的佣金、手续费等附加费用。企业购买债券的价款中含有债券利息的,以及溢价或折价购入的,均按实际支付的金额反映。
需要注意的是,企业购买股票和债券时,实际支付的价款中包含的已宣告但尚未领取的现金股利或已到付息期但尚未领取的债券利息,在“支付的其他与投资活动有关的现金”项目中反映;收回购买股票和债券时支付的已宣告但尚未领取的现金股利或已到付息期但尚未领取的债券利息,在“收到的其他与投资活动有关的现金”项目中反映。
该项目作为企业当期的一笔现金流出,也意味着企业未来获得股息、利息、利润以及转让或出售投资所得的现金流入的潜在可能。
(3)取得子公司及其他营业单位所支付的现金净额。
本项目反映企业取得子公司及其他营业单位所支付的现金净额。整体购买一个单位,其结算方式是多种多样的,如购买方全部以现金支付或一部分以现金支付而另一部分以实物清偿。同时,企业购买子公司及其他营业单位是整体交易,子公司和其他营业单位除有固定资产和存货外,还可能持有现金和现金等价物。这样,整体购买子公司或其他营业单位的现金流量,就应以购买出价中以现金支付的部分减去子公司或其他营业单位持有的现金和现金等价物后的净额反映。
(4)支付的其他与投资活动有关的现金。
反映企业除上述各项目外,支付的其他与投资活动有关的现金,如企业购买股票、债券时所暂时垫付的被投资方已宣告发放但尚未发放的股息及已到付息期但尚未领取的利息等。如果金额相对较大,则应当单列项目反映。
这类金额一般也很小或几乎没有,更谈不上经常性,所以对企业的现金影响也十分微弱。
(三)投资活动现金流量分析
投资活动现金流量的最大特点在于,就当期而言,他与企业日常营运活动几乎没有多少直接的关系或影响,但是却对企业未来的现金流量产生着一定的甚至有时是不容忽视的影响。目前的大量流入可能意味着未来相关现金流入的大幅度萎缩;而目前大量该类现金流出,又可能蕴含着未来会产生或促使大量的相应现金流入。
在大多数情况下,投资活动代表公司现金流量的主要用途。财产、厂房和设备或收购新公司的支出代表公司对未来的投资,公司大部分的现金流出从长期来看,应该在这些方面。一般来讲,公司应该至少将新地产、厂房和设备的实际直线折旧额用于再投资,以保持它的投资总量。由于通货膨胀的压力,仅仅是折旧额的再投资可能还不够,但是可以将其作为再投资的最低数额。对于某些类型的公司来说,可能需要更高水平的投资,高投资一般表明了公司的发展和壮大,但这也不能一概而论,需要仔细地审查。为了再投资而再投资是浪费现金。再投资额应该合理、有计划并符合公司实际情况。过多的再投资会耗尽现金,这是公司管理者的不明智之举。
相关材料
FASB指出:一般来说,只有初始到期日(购买时的到期日)在三个月或三个月以内的投资才满足现金等价物的定义。因此,当一个财务主管用现金买进一张还有60天到期的中期国库券时,应在本期记录现金及现金等价物的增加。相反,如果该财务主管购买了一张120天到期的中期国库券,则将在现金流量表上记录一笔投资现金流量。很明显,这些规定给管理层在快到会计年度末时留以操纵空间。应该指出的是,FASB规定,例如,一张七年期票据如果在到期日前90日内被购买,则可被作为现金等价物。然而,如果该票据在到期日前90天外被购买,即使资产负债表日在该票据到期日90天内,该票据也不能重定为现金等价物。
资料来源:华夏出版社,《现金流量与证券分析》。
相关案例
Foundation Health公司通过其健康管理办及政府合同部门来传递健康照顾服务,在该公司财务报告的一个脚注中,作为公司前景的一部分,指出:“现金等价物包括到期日在三个月或三个月以内的投资。在1989年6月30日的现金及现金等价物中,有400万美元存在纽约银行,作为与公司长期贷款协议有关的补偿性余额。在截止到1990年3月31日的9个月中,在这些资金上的补偿性余额限制将取消。”应当指出的是,在1989年6月30日的资产负债表中,现金及现金等价物为400万美元。因此,这400万美元的补偿性余额占了该金额的很大一部分。
资料来源:华夏出版社《现金流量与证券分析》。
现金及现金等价物只包括那些能随时变现并能为企业立即使用的项目是合理的。在一些情况下,一定比例的可用现金被补偿性存款协议或其他协议所限制。看来这些被限制的现金不应包括在为编制现金流量表而列的“现金及现金等价物”中。但某些情况下,公司会偏离这条推理的界线。
公司可以通过购入到期日不超过90日的短期投资来影响其投资活动。这些投资可以被作为现金等价物,也可以从投资活动中剔出去。
应该指出的是,投资活动产生的现金流量既包括现金流出,也包括现金流入。当公司清理其在金融证券上或在固定资产上的投资时,就产生了现金流入。
相关案例
某公司在其1993年财务报表中,报告了下列投资活动现金流量(百万美元):

值得指出的是,单笔最大的支出项目是地产、厂房和设备(PPE)的支出,就像大多数制造业公司一样。该公司还进行其他一些收购,这些都需要现金流出。第三项是公司进行的新的短期投资(1993年是1.08亿美元),但公司也出售了一些其他的短期投资(1993年大约是2200万美元)。其他——净值也许包括一些如出售PPE的收入,出售长期投资的收入等项目。
资料来源:华夏出版社《现金流量与证券分析》。
三、筹资活动产生的现金流量
(一)概念
筹资活动是指导致企业资本及债务规模和构成发生变化的活动,这里的资本包括实收资本(股本)、资本溢价(股本溢价)。这里的债务是指对外举债,包括向银行借款、发行债券。而应付账款、应付票据等商业应付款属于经营活动。
相关材料
FASB广泛地定义了筹资活动如下:
筹资活动包括从所有者那里获得资源,并对他们的投资提供一定的报酬;借款和偿付借款或用其他方法解除义务;获得及偿付用长期信用从债权人那里得到的其他资源。
FASB又进一步以下列方式澄清了筹资活动产生的现金流入或流出的性质。
筹资活动产生的现金流入:
(1)发行权益性证券所获得的现金。
(2)发行债券、抵押券、票据和其他短期或长期借款所获得的现金。
筹资活动产生的现金流出:
(1)支付给所有者的股利或进行其他分配所导致的现金支出,包括购回本企业权益性证券所支付的现金。
(2)偿还借款的现金支出。
(3)偿还给长期信用债权人的其他本金。
资料来源:华夏出版社,《现金流量与证券分析》。
2006《企业会计准则》中规定:筹资活动,是指导致企业资本及债务规模和构成发生变化的活动。
企业应当在附注中披露将净利润调节为经营活动现金流量的信息。至少应当单独披露对净利润进行调节的下列项目:(1)资产减值准备;(2)固定资产折旧;(3)无形资产摊销;(4)长期待摊费用摊销;(5)待摊费用;(6)预提费用;(7)处置固定资产、无形资产和其他长期资产的损益;(8)固定资产报废损失;(9)公允价值变动损益;(10)财务费用;(11)投资损益;(12)递延所得税资产和递延所得税负债;(13)存货;(14)经营性应收项目;(15)经营性应付项目。
企业应当在附注中以总额披露当期取得或处置子公司及其他营业单位的下列信息:(1)取得或处置价格;(2)取得或处置价格中以现金支付的部分;(3)取得或处置子公司及其他营业单位收到的现金;(4)取得或处置子公司及其他营业单位按照主要类别分类的非现金资产和负债。
企业应当在附注中披露不涉及当期现金收支,但影响企业财务状况或在未来可能影响企业现金流量的重大投资和筹资活动。
企业应当在附注中披露与现金和现金等价物有关的下列信息:(1)现金和现金等价物的构成及其在资产负债表中的相应金额;(2)企业持有但不能由母公司或集团内部其他子公司使用的大额现金和现金等价物余额。
正常情况下,企业经营活动中的资金需求主要由其经营活动中的资金流入量来满足,即所谓的“以收抵支”,甚至还应略有剩余。然而,由于生产经营活动中也存在着各有关环节衔接不当的情况,可能会造成企业短期内资金周转不畅,出现现金短缺问题;或者企业由于其战略调整、规模扩大等需要而对现金需求量提出更高的要求,等等。企业便不可避免地需要从外部筹措所需资金,从而便产生了企业的筹资活动。
筹资活动现金流量,反映了企业出于各种需求而进行资金筹措活动所产生的现金流入与流出金额。对这类现金流量的阅读,关键在于理解企业所筹资金的来源渠道及其规模大小、推测企业所筹资金的用途或动机,以及可能对未来产生的资金压力,等等。
(二)筹资活动流入流出各项目介绍
1.筹资活动产生的现金流入项目
(1)吸收投资所收到的现金。
本项目反映企业以发行股票、债券等方式筹集资金实际收到的款项净额(发行收入减去支付的佣金等发行费用后的净额)。
需要注意的是,以发行股票、债券等方式筹集资金而由企业直接支付的审计、咨询等费用,不在本项目中反映,而在“支付的其他与筹资活动有关的现金”项目中反映,由金融企业直接支付的手续费、宣传费、咨询费、印刷费等费用,从发行股票、债券取得的现金收入中扣除,以净额列示。
企业以发行股票方式筹集资金,在带来可供其长期使用而无须偿还的股权资金的同时,由于在一定程度上降低了资产负债比率,从而提高了企业对其债权人利益的保障程度,也为企业日后的债务筹资提供了可能。
而企业若以发行债券的方式筹集资金,则在带来目前可供使用的债务资金的同时,也造成了企业日后按期还本付息的资金压力。因此,如果该项现金来源金额过大,报表使用者就应充分考虑和分析该企业未来获取现金、偿付本息的能力,以及偿还时大量的资金流出给企业正常生产经营所可能产生的负面影响。
(2)取得借款所收到的现金。
反映企业当期向银行或非银行金融机构举借各种长期或短期借款所收到的现金。如同以发行债券的方式筹集资金一样,企业在向银行或非银行金融机构举借借款、获得目前可供使用的资金的同时,同样会造成日后按期还本付息的资金压力。即现时的现金流入会导致未来相应的现金流出。
(3)收到的其他与筹资活动有关的现金。
反映企业除上述各项目外,收到的其他与筹资活动有关的现金,如企业接受的现金捐赠等。这类现金流入通常在企业筹资活动现金流入量中所占比例很小,有时甚至不会出现。
2.筹资活动产生的现金流出项目
(1)偿还债务所支付的现金。
反映企业以现金偿还债务的本金,包括:归还金融企业的借款本金、偿付企业到期的债券本金等。需要注意的是,企业偿还的借款利息、债券利息,在“分配股利、利润或偿付利息所支付的现金”项目中反映,不在本项目中反映。
如前所述,企业在以往筹资活动中,以发行债券的方式向银行及非银行金融机构借款的方式筹措所需资金,无论期限多长,都需要在未来一定期限内还本付息。“偿还债务所支付的现金”,便是反映企业在当期偿还已经到期的各项债务本金所产生的现金支出金额。
(2)分配股利、利润或偿付利息所支付的现金。
本项目反映企业实际支付的现金股利,支付给其他投资单位的利润或用现金支付的借款利息、债券利息。
需要说明的是,修订前的《会计准则》中的“分配股利或利润所支付的现金”、“偿付利息所支付的现金”项目,在修订后的《企业会计准则》中的“分配股利、利润或偿付利息所支付的现金”项目中反映。此外,不同用途的借款,其利息的开支渠道不一样,如在建工程、财务费用等,但均在本项目中反映。
使用别人的资金是需要付出代价的,企业以吸收投资或借款的方式获得对投资者或债权人资金的占有和使用权,自然也需要付出相应的使用代价,这种使用代价的现金表现便是以现金形式支付给股东的股利、利润,以及支付给债权人的借款利息或债券利息等。
另外,在FASB的《财务会计准则》第95号公告中,一个对待内外部资本上的不对称现象应予以注意,分给股东们的股利被列为筹资活动现金流出是因为其是反向筹资事项。然而,支付贷款利息却不被作为筹资活动现金流出,像我们将在后边看到的那样,它将被作为经营活动现金流出。这是一个不对称处理,因为两者都是对资本提供者的回报,在对待给债权人的回报和给股东们的回报上,不应有什么区别。就像一般定义的那样,把利息支付包括进经营活动现金流量中将背离经营现金流量都是来自现行经营业务的概念,也将背离自由现金流量的概念。而我国的制度不同于此说明。
(3)支付的其他与筹资活动有关的现金。
本项目反映了企业除上述各项目外,支付的其他与筹资活动有关的现金。例如,企业为发行股票而支付的审计费、咨询费,及企业对外捐出现金,企业为构建固定资产、无形资产等而发生的可以资本化的借款利息支出,以及以融资租赁形式租入固定资产而发生的租赁费开支,等等。
(三)筹资活动现金流量分析
筹资活动现金流量的最大特点在于它现时现金流量与未来现金流量有一定程度的对应性:目前该类现金流入量的发生,在一定程度上意味着未来存在相应的现金流出量;而目前该类现金流出量的存在,则是以往相应的现金流入量所引起的必然结果。
来自于筹资活动的现金流量可以视为一个平衡项目,从经营角度而言,通常不如其他两类现金流量重要。但这并不是说,可以或应该忽视筹资活动。公司需要仔细地考察筹资活动,以确定公司的偿债义务和相关筹资活动的进展情况。过长时间的过多借款,最终会给公司造成问题。过少的借款可能说明管理过于谨慎,公司因而失去了获得杠杆收益的可能性。公司应该不时地对资本结构进行调整,这对公司整体的财务状况和现金流量有很大的影响。但是这种大的变动相对来说不太频繁。
我们应该可以看出长期内,公司的主要现金流量应该源于经营活动和用于投资活动,筹资现金流量是平衡两者的一个变动项目。这应该是初步确定公司现金流量合理性的基础。接下来的问题是源于经营活动的现金流量是多少?以及用于投资活动的现金流量是多少?不幸的是,没有可以回答公司这些问题的现成的信息来源。每个公司都有必要制定自己的有关源于经营活动和用于投资活动的现金应该是多少的标准。目前,这种内部信息的最好来源是公司的经营历史。对过去5—10年的实际现金流量的考察,可能会得出可以用于指定未来预期的某些标准。
第三节 现金流量分析
一、现金流量分析的内容
为更加准确和清楚地对现金流量进行分析,现将分析的内容划分为三大部分,即现金流量规模变动及合理性分析、现金流量结构变动及合理性分析、现金流量与相关因素综合分析。
(一)现金流量规模变动及合理性分析
现金流量规模变动分析具体包括三方面内容:一是现金净额变动趋势分析;二是现金持有规模变动分析;三是收现规模分析。
现金净额变动是各种业务活动实现的综合结果,通过对连续几年的数据进行分析,可以观察其总的变化趋势,并可以从中发现导致现金净额变动的原因,以便从总体上判断这种变化是否正常,以及对企业未来经营状况的影响。
企业生产经营过程中保持适度规模的现金存量是十分必要的,但当商业利润比企业存置现金产生更高的回报时,持有现金便成了持有成本,因此,应将超出企业必需的现金进行投资以赚取利润。这样,现金持有规模变动分析就具有两方面意义:其一,是否能够满足企业资金需要量;其二,是否实现闲置现金余额最小化。
企业收现规模直接反映着企业现金流入状况,同时也反映着企业的销售水平、管理水平及经营能力。对收现规模进行分析需要从取得客户订单开始,一直到收回销货款为止,在整个现金回收期内,对现金流程进行监控,目的是判断哪一个现金回收环节出现了问题,并分析问题产生的原因,以便在今后工作中加以改进。
(二)现金流量结构变动及合理性分析
现金流量结构变动分析具体包括三方面内容:一是现金流入结构变动分析,即各项业务活动现金流入占全部现金流入量的比重及具体项目的构成情况分析;二是现金流出结构变动分析,即各项业务活动现金流出占企业当期现金流出的比重分析;三是现金净流量结构分析,即现金流入流出净额占全部现金余额的百分比分析,反映企业现金余额的合理性。
(三)现金流量与相关因素综合分析
企业现金流量表与利润表、资产负债表存在一定的钩稽关系,现金流量与相关因素分析主要是对利润表与资产负债表中有关因素进行分析,具体包括两方面内容,即利润表项目分析和资产负债表项目分析。分析方法采用指标分析法,以揭示报表项目中各有关因素之间的变动关系。
二、现金流量规模变动分析
(一)现金净额变动趋势分析
对现金净额变动情况进行趋势分析,可采用的分析方法很多,通常情况下采用趋势百分比法比较常见,包括定比和环比两种类型。此外,运用回归分析法、指数平滑法等预测分析方法也比较多。具体分析时主要关注经营活动和投资活动现金流量变动情况。
1.经营活动现金流量变动情况分析
经营活动现金流量是企业最重要的现金来源,如果经营活动的现金流量长期处于紧张状态,则往往说明企业经营存在较大隐患,尤其是账面有盈余但企业经营活动却长期受到资金短缺困扰的企业。在对经营活动现金流量状况进行分析时,一是要注意与企业净利润的增长情况相联系,二是要分别分析各经营活动现金流入项目与现金流出项目的增长情况,以找出经营活动现金流量净额变动的主要原因。
2.投资活动现金流量
投资活动现金流量分析的重点,一是考察企业投资活动的现金流向,比如,是主要用于企业内部生产能力扩张上还是用于对外投资扩张上,二是考察企业投资活动所需要现金的主要来源,同时结合筹资活动现金流量变动情况和经营活动现金流量变动情况进行分析。
(二)现金持有规模变动分析
进行现金持有规模变动分析,就是根据资产负债表和现金流量表数据,对现金总量变动情况进行分析。重点分析现金总量是增加了还是减少了,与企业实际需要相比是短缺还是闲置,并对现金的持有成本进行分析,确定最佳现金持有量。
(三)收现规模分析
从表面上看,若企业收现规模很大,比如会导致企业现金流入数量增大,这无疑会从绝对量角度优化企业现金流量结构。然而,收现规模很大的背后可能是执行着极其严格的信用政策,这也许会导致企业因此丧失部分客户,或是减少企业市场占有率,同时还可能造成库存加大、库存成本升高等问题出现。在市场环境下,合理的收账政策是非常必要的,所以,收现规模不一定是越大越好。那么收现规模如何变化方才合理?是什么原因导致了收现规模发生变化?这些变化对未来企业经营会产生怎样的影响?这些问题都是收现规模分析应回答的。
(四)现金流量规模变动合理性分析
从前面现金流量规模变动分析中可以看到,判断现金流量规模变动的合理性应主要从以下四个方面考虑。
1.数量分析
评价标准就是企业的资金需求量。我们可以将企业当期现金需求增长量与当期现金流量变动情况进行对比,若两者相吻合,说明变动合理;若不相符,则说明变动不合理,需要做进一步的分析。
2.比较分析
将净利润变动情况与现金流量变动情况进行对比分析,正常情况下,两者的变动是相吻合的,但如果净利润的增长量高于现金净流量增长量,特别是在较长的时间内,则说明变动不合理。
3.成本分析
对比持有现金减少的短缺成本和增加的机会成本大小,若短缺成本大于持有机会成本,则变动合理;若短缺成本小于持有机会成本,则变动不合理。
4.信用政策分析
宽松的信用政策可能会造成收账成本升高,坏账风险增大。但严格的信用政策也可能导致库存成本升高,并降低企业市场占有率。具体分析时,应权衡两方面利弊,可以用宽松政策下加大的收账成本,与严格政策下增加的库存成本进行比较,依次判断变动的合理性。
【例7-1】我们以长安汽车公司2002—2005会计年度现金流量汇总表为例进行现金流量相关分析。
表7-1 长安汽车公司2002—2005会计年度现金流量汇总表

[分析]:
(1)变动趋势分析。
根据表7-1编制以2002年为基期的定比增长情况表(见表7-2)。
表7-2 以2002年为基期的定比增长情况表

从表7-2可以看出,长安汽车现金流入量从2002年开始逐年增长,现金流出量也逐年增长,且流出量的增长幅度超过流入量。2005年现金净流量出现负值。分析其2005年现金流量表,可以发现现金流出增长最大的部分为筹资活动现金流出,尤其是偿还债务所支付的现金,由此可知2005年该公司还债压力较大,影响了其现金净流量。
(2)编制该公司自2002年开始环比增长表(见表7-3)。
表7-3 以2002年为基期的环比增长情况表

从环比增长情况上看,现金流入量在2003、2004年保持增长,2005年有较大幅度的下降,主要来自于投资和筹资活动现金流入的减少,而现金流出量三年来持续增长。其中,投资、筹资活动的现金流入和流出均有较大幅度的波动,说明企业近年来的投资筹资活动极不稳定。
三、现金流量结构变动分析
现金流量结构是指企业各种现金流入量、各种现金流出量及现金净流量与企业总的现金流入量、总的现金流出量及全部现金净流量的比例关系。在进行分析时,可将现金流量结构分析分为现金流入结构、现金流出结构和现金净流量结构,并分别进行分析。
(一)现金流入结构
现金流入结构反映在企业全部现金流入量中经营活动、投资活动和筹资活动分别占的比例,以及在这三种活动中,不同渠道流入的现金在该类别现金流入量和总现金流入量中所占的比例。一般而言,在企业现金流入量总额中,经营活动产生的现金流入量占有较大比重,特别是主营业务活动产生的现金流入量明显高于其他活动产生的现金流入量。当然,企业因类型不同,这一比例也可能存在差异,短期内也可能明显不存在上述规律。
(二)现金流出结构
现金流出结构反映企业全部现金流出量中经营活动、投资活动和筹资活动分别占的比例,以及在这三种活动中,不同渠道流出的现金在该类别现金流出量和总现金流出量中所占的比例。一般而言,企业经营活动产生的现金流出量,在企业总现金流出量中所占比重较大,而且具有一定的稳定性,各期变化幅度不会太大。而投资活动和筹资活动产生的现金流出量,从量上看会因企业的财务政策不同存在较大差异;从稳定性上看,也经常具有偶发性。例如,随着交付投资款、偿还到期债务、支付股利等活动的发生,当期该类活动的现金流出量便会呈现剧增。因此,在对企业现金流出结构进行分析时,应结合企业具体情况,不同期间不能采用同一衡量标准。
(三)现金净流量结构
现金净流量结构反映企业经营活动、投资活动和筹资活动的现金净流量占企业全部现金净流量的比例,也就是企业本年度创造的现金及现金等价物净增加额中,以上三类活动的贡献程度。通过分析,可以明确反映出本期的现金净流量主要为哪类活动所产生,并以此来说明现金净流量形成的原因是否合理。
在进行现金流量结构分析的时候,通常情况下还需要关注以下两方面问题:
(1)对潜在的、可及时变现的现金流入情况适当给予关注。主要是指那些变现能力较强的有价证券,如股票、债券等;
(2)不能忽视潜在的现金流出。或有事项中有许多情况可能会导致巨额现金流出,会严重地破坏正常的现金流量,如未结的重大经济赔偿案、为其他企业借款所做的担保等,均可能带来巨大现金流出。
(四)现金流量结构变动合理性分析
企业现金流量结构变动主要是由于经营活动、投资活动和筹资活动产生的,对其变动的合理性分析,也主要从这三方面进行。
1.经营活动现金流量结构变动合理性分析
对经营活动产生的现金流量结构变动合理性进行分析,主要考虑两方面问题:(1)从总量上看,经营活动产生的现金流量占现金流量总额的比例大小;(2)在经营活动现金流量中,主营业务现金流量所占比例大小。一般情况下,经营活动及主营业务现金流量所占比例大,即为合理变动。
2.投资活动现金流量结构变动合理性分析
分析投资活动现金流量结构变动合理性,主要从三个角度进行:(1)现金用在哪里以及对企业未来生产经营活动的影响;(2)重大投资对企业现金的影响;(3)投资活动与筹资活动之间是否匹配。
3.筹资活动现金流量结构变动合理性分析
企业筹资不能脱离投资形态而独立存在,因此,筹资活动现金流量合理性分析主要看其与投资活动的匹配性。负债融资有较高的流动性要求,长期负债形成的投资必须以现金性收益作为偿债能力,以短期资产的流动性作为融资管理的依据。股权融资虽然没有这样的问题,但投资者越来越关注股本筹集情况、募股及配股资金的使用情况、发放现金股利情况等,这些都要求企业筹资活动形成的现金流量具有合理性。这样,筹资活动现金流量结构变动合理性分析主要包括两方面内容:(1)融资方式的合理性;(2)企业资产流动性的协调性,即长期资产与长期负债、流动资产与流动负债之间的结构对应性。
筹资活动、投资活动现金流量匹配性分析主要通过投资活动筹资比率这一指标进行,其公式为

该比率可以衡量全部投资活动现金净流出的资金来源。若投资活动现金流出大于筹资活动现金流入,即公式(7-1)大于1,则表示一部分现金流出为经营活动自行产生;按公式(7-2)计算,其比率大于1,则表明投资活动的现金流出不但耗尽了同期产生的经营活动和筹资活动的现金收入,更动用了原来的现金及现金等价物,企业未来的财务流动性必将受到影响。
从表7-4中我们可以得出如下结论:
(1)2005年公司现金流入总量为21123569161元,现金流出总量为21569027175元,现金净流量为-445458014元,表明长安汽车公司2005年现金资产出现亏损,说明企业可供支配的现金资源减少,从表象上看,证明企业的财务状况不佳。当然,要想从中获得实质性的答案,还需要对其现金形成过程做进一步的分析。
(2)从现金流入结构看,经营活动现金流入量占现金流入总额的90.03%,而其中销售商品提供劳务收到的现金占现金流入总额的89.11%,表明企业主业突出,竞争力强,有较好的资金来源渠道,现金形成路径良好,结构合理。
投资活动现金流入量占现金流入总额的1.24%。其中收回投资所收到的现金占现金流入总额的0.82%,收到的其他与投资活动有关的现金占0.35%,表明企业投资活动带来的现金流入主要是收回投资而非获利。


筹资活动现金流入量占现金流入总额的8.73%,其中借款所收到的现金占现金流入总额的8.39%,表明企业尚有较好的现金来源支持以解决资金不足的困境,但应控制比重。
四、现金流量指标分析
(一)偿债能力分析
偿债能力是指企业偿付各项随时可能到期的债务的能力。从这个定义来看,现金流量概念较之传统的流动比率、速动比率等指标,具有明显的优势。企业流动资产体现的是能在一年内或一个营业周期内变现的资产,包括了许多流动性不强的项目,如呆滞的存货、有可能收不回来的应收账款,以及本质上属于费用的待摊费用、预付账款等。它们虽然具有资产的性质,但事实上却不能再转变为现金,不再具有偿付债务的能力。并且,不同企业的流动资产结构差异很大,资产质量各不相同,因此,仅用流动比率等指标来分析企业的偿债能力,往往有失偏颇。用现金流量指标对偿债能力进行分析,可以有效地弥补流动比率、速动比率等传统指标的缺陷,使偿债能力分析更具有实际意义。
企业举债必须以能够偿还为前提,否则企业的生产经营会陷入危机。因此通过现金流量分析,测定企业的偿债能力,有利于经营者做出正确的决策,有利于债权人的贷款决策。
常用的现金流量偿债能力指标主要有现金比率、现金对负债总额比率、现金对流动负债比率和现金对流动资产比率。
1.现金比率
现金比率是企业现金及现金等价物之和与企业流动负债之比。计算公式为

现金比率是衡量企业偿债能力特别是短期偿债能力的指标。该指标反映每百元流动负债有多少现金可以偿还短期负债,是最直接反映偿债能力的指标,是对速动比率的补充。
对于债权人来说,现金比率越高,说明企业的短期偿债能力越强;现金比率越低,说明企业短期偿债能力越弱。对于企业来说,现金比率并不是越高越好,企业不应该也不会保持过高的现金比率,只要能保证企业具有一定的偿债能力,不会发生债务危机即可。
2.现金对负债总额比率
现金对负债总额比率是指现金净流量与负债总额的比率。计算公式为

该指标衡量企业用每年的现金净流量偿还全部债务的能力。该指标越高,偿债能力越强。该指标是偿债能力分析中常用的指标。
3.现金对流动负债比率
现金对流动负债比率,即现金流量负债率,是指企业经营活动现金净流量与流动负债的比率。计算公式为

该指标说明经营活动中获取的现金净额偿还债务的能力。在企业经营活动较为稳定、流动负债波动不大的情况下,该比率越大,说明企业经营活动偿还流动负债的能力越强,也反映其生产活动获利能力强。
4.现金对流动资产比率
现金对流动资产比率是指企业现金及现金等价物之和与企业流动资产之比。计算公式为

该比率是衡量企业流动资产质量的指标。非现金流动资产通常会发生变现损失,因此流动资产中现金比率较高,变现损失较小,对短期债权人安全保证程度高;对企业经营者来说,该比率过高,表明资源存在闲置,应当充分考虑企业资源的有效利用。
表7-5 长安汽车公司2005年度资产负债表

续表

【例7-2】根据长安汽车股份有限公司2005年度资产负债表(表7-5)和现金流量表计算其现金偿债指标,结果如下所示:

*由长安汽车股份有限公司2005年度现金流量表可知2005年现金的年末余额为3699577378,现金等价物的年末余额为0。
根据此计算结果,我们可以做出以下分析:
(1)企业的现金比率为39.96%,流动资产中能够用来偿还短期负债的比例偏低,说明企业的短期偿债能力比较弱,除非企业有表外偿债能力,否则可能存在较大的偿债风险。
(2)企业的现金对负债总额比率达到负值,因为该企业当年的现金净流量为负值,主要缘于企业当年的筹资活动现金流出大幅度增加,加大了企业的财务风险。
(3)企业的现金对流动负债比率为14.71%,说明企业当年经营活动中获取的现金净额偿还债务的能力只有14.71%,短期债务压力较大。
(4)企业的现金对流动资产比率为35.77%,反映了企业流动资产中的现金所占的比率,说明非流动资产存在一定的变现损失,对短期债权人来说存在一定的风险。而对企业来说,该比率是合适的,说明资源基本得到了有效利用。
(二)创现能力分析
创现能力是指企业获取现金净流量的能力,它是从现金流量角度来评价企业的产出效率。利润指标是反映企业财务成果的重要指标,而现金流量则是衡量企业价值最主要的指标。对企业利润的计量是以权责发生制为基础的,广泛地运用收入实现原则、费用配比原则、划分资本性支出和收益性支出原则等,对收入与费用按其归属进行确认,不管是否真正发生收入或支出。而且,这其中还包括了太多的会计估计,以此计算的利润常常使一个企业的盈利水平与其真实的财务状况不符。有的企业账面上业绩可观,而现金却入不敷出,举步维艰;而有些企业虽然巨额亏损,但却现金充裕,周转自如。
因此,会计收益仅表现为账面上的利润,如果企业较长时间不创造现金流量,则企业势必面临巨大的现金压力,这对企业营运资金周转、偿还债务及各项投资活动均十分不利。从现金流量角度对企业创现能力进行分析,可以客观地揭示企业真正的价值。创现能力指标主要有现金净流量、经营活动创现率、主营业务收入现金流量、投资活动创现率、总资产现金流量创造率等。
1.现金净流量
现金净流量即现金及现金等价物净增加额。该指标反映在现金流量表的最后一行,它具体体现了企业的创现能力,是一个综合性指标,也是现金流量指标分析的基础。
2.经营活动创现率
经营活动创现率是指经营现金净流量与净利润的比率,反映企业当期实现的净利润中创造的现金净流量。其计算公式为

一般而言,企业在创造净利润的同时,应该创造出相应的现金净流量,这样,企业盈利质量和财务状况才能得到保障。如果企业的该项指标为0或负值,说明其利润不是来自经营活动,而是来自其他渠道,表明企业通过自身创造现金流量的能力较差,经营活动存在巨大风险。
由于资本支出等项目对净利润与现金流量的不同影响,该指标应以等于或大于1为宜。这里需要注意的是,为了保障与经营活动现金净流量计算口径一致,净利润的计算应剔除投资收益和筹资费用等项目。
反映经营活动创现率的另一个指标是销售现金比率,指企业经营现金流量与销售额的比率。其计算公式为

该比率反映每一元销售得到的净现金。其数值越大,说明公司销售获取现金的能力越强。
3.主营业务收入现金流量
主营业务收入现金流量是指销售商品和提供劳务收到的现金与主营业务收入的比率,反映企业在收付实现制下当期主营业务收入的资金收现情况。其计算公式为

如果该指标等于1,说明企业本期销售商品和提供劳务收到的现金与主营业务收入一致,没有形成挂账,周转良好;如果该指标大于1,说明企业不仅收回了当期的全部销售收入,而且还收回了前期的部分应收账款,同时说明企业销售收入实现后所增加的资产转换现金速度快,质量高;如果该指标小于1,说明企业账面收入高,实际收到的现金少,挂账较多,企业主营业务收入没有创造相应的现金流入,此时应该更加关注企业债权资产的质量。
4.投资活动创现率
投资活动创现率是指投资活动现金净流量与投资收益的比率,反映企业实现的投资收益中所带来的现金净流量水平。其计算公式为

该指标越高,说明企业投资收现状况越好,也说明企业投资水平越高。在具体应用该指标时,应注意以下两种情况:一是若企业投资活动现金净流量为负值,则不必计算该指标。这是因为该企业的投资活动不仅没有带来相应的投资收益,反而造成了一定的投资本金的损失。二是根据企业投资活动明细项目来判断收回投资取得的现金是由哪一类具体投资活动带来的。
此外,当以下几种比例关系正常时,对企业创现能力可以持乐观态度:第一,应收账款余额增长幅度与主营业务收入增长幅度有正常的比例关系;第二,应付账款余额增长幅度与应收账款余额增长幅度有正常比例关系;第三,企业产品生命周期及存货库存时间接近或超过同行业先进水平。
创现能力分析表明了企业在现金流量方面的产出效率,同时也表明了企业利润的风险程度。但值得注意的是,在认同创现能力重要地位的同时,也不要简单地排斥利润和获利能力指标,以免由于过度追求创现能力,而在一定程度上妨碍企业销售的增长和正常获利。
表7-6 长安汽车公司2005年度利润表

【例7-3】根据长安汽车公司利润表(表7-6)和现金流量表计算其创现能力指标,结果如下如所示:

根据此计算结果,我们可以做出以下分析:
(1)企业的现金净流量为负值,可以看出其创现能力较差,资金较为紧张。
(2)企业的经营活动创现率为5.75,说明企业通过自身的主营业务经营活动创造现金流量的能力还是不错的。
(3)企业主营业务现金流量为0.98,说明企业实际收到的现金低于其账面收入,有挂账存在。应当关注债权资产的质量,提高债务回收率。
(4)企业的投资活动创现率为负值,从短期看,企业的投资活动不仅没有带来相应的投资收益,反而造成了一定的投资本金的损失。这一现象报表分析人员应给予适当关注。
(三)支付能力分析
支付能力是指企业除了用现金偿还债务外,用现金来支付其他各项开支,如购买原材料、支付职工工资、支付投资者股利(利润)的开支等能力。
企业的支付能力特别是股利支付能力是投资人、经营者及潜在投资者共同关注的问题,投资者是出于对自身获得回报的考虑;经营者是出于对企业制定股利政策的需要;而潜在投资者则是出于投资决策的考虑。由此可见,股利支付能力指标对不同利益相关者的巨大作用。由于现金流量是企业分配现金股利的资金来源,因此借助于现金流量开展股利支付能力分析,对于科学评估企业股利支付能力具有重要作用。用于股利支付能力分析的现金流量指标主要有每股现金净流量、现金股利保障倍数和股本现金净流量比率。
1.每股现金净流量
每股现金流量是指企业经营活动现金净流量扣除优先股股利后与流通在外的加权平均普通股股数之比。其计算公式为

其中,

该指标反映某一会计年度内,发行在外的普通股加权平均每股所获得的经营活动现金净流量,它从一个新的视角,即现金流量角度来反映每一普通股股份的产出效率和分配水平。
该指标可以与按照净利润计算的每股收益比较分析。每股现金流量越高,表示企业的每股普通股在一个会计年度中所赚取的现金流量越多,企业经营活动现金越充裕,企业的财务弹性和支付股利的能力就越强;反之,则每股普通股所赚取的现金流量越少,企业现金支付能力越弱。
目前,虽然对用现金流量来分析股利支付能力的争议很大,美国财务会计准则委员会(FASB)也禁止公司披露每股现金净流量,但由于该指标的直观性及实效性,大多数分析师们依然愿意采纳该指标进行分析。
2.现金股利保障倍数
现金股利保障倍数是指企业经营活动现金净流量与现金股利之比。其计算公式为

该比率反映了企业用正常的经营活动现金净流量来支付现金股利的能力,在一定程度上体现了企业的股利政策。从理论上讲,该比率应该大于1,只有这样才能说明企业当期创造的经营活动现金净流量足以支付当期的现金股利;否则,如果该比率小于1,则企业为支付股利必须筹集现金甚至必须变卖资产,其股利支付能力弱。
3.股本现金净流量比率
股本现金净流量比率是指企业经营活动现金净流量与股本之比。其计算公式为

该比率反映公司的资本支出和支付现金股利的能力。该比率越高,企业资本支出和支付现金股利的能力就越强。
(四)资本支出能力分析
资本支出能力是指企业维持或扩大其资本资产规模的能力,它往往体现了企业财务的弹性及成长性优劣。一般来说,信息使用者除分析企业现金净流量在获利、偿债等方面的影响外,还应当关注企业的资本支出能力,以便更好地把握企业财务弹性和未来发展趋势。常用的资本支出能力指标有再投资比率和投资活动筹资比率。
1.再投资比率
再投资比率也称资本性购置比率,是经营活动现金净流量与资本支出的比率,反映企业经营活动现金净流量支付各项资本性支出的能力。其计算公式为

该指标等于或接近1时,表明企业经营活动产生的现金净流量,可以满足企业进行资本性投资的现金需要;当该指标大于1时,表明企业经营活动产生的现金净流量,在补偿资本性投资所需现金后,仍然有剩余,可以用来偿还债务或支付股利;而当指标小于1时,表明企业经营活动产生的现金净流量,不能满足企业进行资本性投资的现金需要,企业必须通过举债来满足需要。
在具体应用该指标时,需要注意的问题是:由于资本性支出经常受到各种异常因素影响,年与年之间可能有较大变动,会影响到预测分析的正确性。因此,在计算经营活动现金净流量和资本支付时,如果使用几年来的平均数,则可有效地消除单一年度异常因素的影响,使计算结果更准确。
2.投资活动筹资比率
该指标反映了企业投资活动现金净流量与经营活动、筹资活动现金净流量的关系。该指标的计算公式为

由于企业投资活动的现金净流量通常为负值,故该指标也反映了企业投资现金支出的资金来源。从企业资本支出角度而言,该指标绝对值原则上应该小于1。如果大于1,表明企业投资活动的现金流出不仅耗尽了同期产生的经营活动的现金净流量,更是动用了期初现金余额,企业资产流动性必然受到影响,企业未来的资本性支出能力也将大打折扣。
(五)管理效率分析
企业现金和信用的管理效率的高低也可以借助现金流量表进行分析。
1.现金流量对销售之比
现金流量对销售之比是指销售收到的现金与销售净收入之比。其计算公式为

该指标体现企业销售收取价款的能力和水平。如果该指标等于1,说明企业销货款完全回笼;如果大于1,说明企业不仅收回了当期的销货款,而且部分地回收了前欠货款。
2.现金流量对应收账款之比
现金流量对应收账款之比是指现金流量与应收账款净值之比。其计算公式为

该指标越大,说明企业货款回收速度越快,信用管理越好。
3.现金周转率
现金周转率是指现金流入与年内现金平均持有额之比。其计算公式为

其中:年内现金平均持有额为年初与年末持有额的平均数。
该指标用于衡量企业现金的管理能力和效率。该比值越大,表明现金闲置越少,收到的现金很快投入经营。但该指标也不宜过大,过大的比值体现企业对情况变化的应对能力差,现金周转不灵。
第四节 现金流量表对财务分析的帮助与不足
“现金至尊”是近代理财学的一个重要结论。资产的内在价值是其未来现金流量的现值,企业一切问题的最终归结点都是现金问题。因此,作为提供企业一定时期现金流量信息的会计报表——现金流量表,在社会经济生活中的地位与作用显得越来越重要,它不仅有利于企业管理当局客观地评价过去的现金流量,科学地预测未来现金流量,有效地调度和运用现金,加强内部管理,减少破产风险,而且有利于企业外部的投资者、债权人等正确评价企业的支付能力、偿债能力和收益质量,并据此即时作出正确的投资、信贷等方面的决策。
现金流量是经营活动、投资活动和筹资活动相互联系的纽带,它使得这三种主要的企业活动持续、平滑而有效地发挥作用。
一、各种报表的局限性
企业现金流量的特性,决定了其是与企业血脉相连、息息相关的重要财务信息。市场经济条件下,企业严酷的生存环境迫使企业和投资者不得不更加关注企业的现金流量问题。所以,在此背景下加强现金流量信息的采集和传输,实行“现金流量管理”,自然成为企业投资者、债权人的广泛共识和迫切要求。然而,已有的资产负债表和利润表无法全面传达现金流量信息,财务状况变动表也因其本身的局限性而无法满足管理要求。因此,传达这一重要财务信息的使命,理所当然地落到了现金流量表的头上。
相关案例
2000年,安然是美国最大的石油和天然气企业之一,当年的营业收入超过1000亿美元,雇佣员工2万人,是美国《财富》500强中的第七大企业。但就在2001年末,安然宣布第三季度6.4亿美元的亏损,美国证交会进行调查,发现安然以表外(投资合伙)形式,隐瞒了5亿美元的债务,亦发现该公司在1997年以来虚报利润5.8亿美元。在此同时,安然的股价暴跌,由2001年初时的80美元跌至80美分。同年12月,安然申请破产保护令,但在之前10个月内,公司却因为股票价格超过预期目标而向董事及高级管理人员发放了3.2亿美元的红利。
安然公司从事能源交易中介业务确认了巨额收入,使之在按照营业收入排名的2000年《财富》美国500强中高居第7位,但现金流动却每况愈下,最终发生债务问题,陷入破产危机。安然公司破产时,它们的账面依然是盈利的,因为可以通过各种会计方法的选用甚至财务造假做出漂亮的财务报告,但他们的现金流量早已出现问题,而企业的现金流量极难作假。
美国安然公司的破产案件让人们加深了“现金为王”(cashisking)的印象,也使得美国加深了对现金流量表的重视。
常言:“会计数字只是参考意见,现金才真正令你感到踏实。”
(一)资产负债表
资产负债表反映的是企业某一特定日期的资产、负债、所有者权益状况,传达的是企业在某一时点上拥有的资源、承担的义务及所有者享有的净资产权利的信息。但是,资产负债表没有说明这样一个问题:企业的资产、负债和所有者权益为什么发生了变化,也就是说财务状况为什么发生变化。虽然资产负债表中也包含有现金的信息,但只是现金流量的静态结果,无法说明现金的来龙去脉。
(二)利润表
利润表是反映企业在一定会计期间经营成果的报表。利润表中所反映的收入、费用等是按照权责发生制原则进行确认和计量的,没有提供经营活动产生的现金流入和现金流出的信息;利润表中所反映的投资损益和财务费用等信息,反映了企业的投资活动和筹资活动的效率和最终成果,没有反映投资活动和筹资活动本身的情况,即对外投资的规模和投向,以及筹集资金的规模和具体来源。
(三)财务状况变动表
财务状况变动表是反映企业一定时期资金来源和运用情况的动态报表。财务状况变动表的历史远远晚于资产负债表和利润表。最早的财务状况变动表于1862年出现在英国,1863年在美国也开始出现。早期的财务状况变动表主要用于记录银行存款、现金及邮票的变动情况。到20世纪初,财务状况变动表发展为多种编制基础(如现金、流动资产、营运资金、全部资金)并存的局面。其后,以营运资金(即流动资产减去流动负债的差额)为基础的财务状况变动表逐渐占据了主导地位,并维持了相当长的时间。
早期的财务状况变动表对企业无约束力,企业可以编报,也可以不编报。更多的企业是处于自身管理的需要而编制,其格式、项目、内容极不统一。后期则慢慢成为一种惯例和要求。美国会计准则委员会(APB)于1963年发表了第3号意见书,建议企业在编制资产负债表和利润表的同时,编制财务状况变动表,并对该表的有关内容作了说明。不过,其中的说明较为模糊,企业在编制时有较大的选择余地。1971年,美国会计准则委员会又发表了第19号意见书,明确要求企业编制“能概括反映利润表编报期间财务状况变动的报表”。
我国于1993年开始,为了反映企业的财务状况变动情况,要求企业编制的是财务状况变动表。该表以营运资金为编制基础,国家对其项目、内容及格式均作了统一规定,并将其列为企业对外报告的三大主要报表之一。1998年以后,现金流转情况日益受到企业管理人员、投资者、债权人以及政府监管部门的关注,为了满足社会对企业现金流量信息的需求,财政部适时发布了现金流量表会计准则,要求企业编制现金流量表,不再编制财务状况变动表。这主要是因为现金流量表能够更好地反映企业财务状况的变动,更好地说明企业的偿债能力、支付能力和资金周转能力。
一般情况下,财务状况变动表的编制基础主要是营运资金,也就是流动资产减去流动负债后的差额。之所以要求企业编制以营运资金为基础的财务状况变动表,主要目的是为了反映企业用一年内变现的资产偿付一年内到期的债务以后,还有多少能够用于企业的经营周转,有多少资金能够分别用于购买材料、支付工资、研究开发、投资等等。但是,要求企业以营运资金为基础编制财务状况变动表,其局限性非常明显:第一,流动资产和流动负债通常是以一年作为划分标准,但在实务工作中,企业的理财活动和资金调度却通常是以天、周、旬、月、季等为标准的,也就是说企业的营运资金不能反映企业的即期支付能力。一个企业营运资金很可能比较充裕,却不能满足当天、当周、当旬的现金需求。第二,流动资产一般包括货币资金、交易性金融资产、应收账款、应收票据、存货、待摊费用等,这些项目的支付能力或变现能力各不相同。货币资金、交易性金融资产支付能力或变现能力比较强,应收账款、应收票据、存货的变现能力却不怎么确定,待摊费用还有可能无法实现。从大概念上讲,企业有多少流动资产,有多少流动负债,即有多少营运资金,往往很难客观地判断一个企业的支付能力、偿债能力和周转能力。现金和现金等价物反映的却是企业的即期支付能力,能够更清楚地反映企业的支付能力、偿债能力和周转能力。
例如,某企业某期期末的流动资产为6800万元,其中货币资金为800万元,一周内能变现的流动资产为1000万元,流动负债为5000万元,其中一周之内需以货币资金偿还的为2500万元,那么,如果仅仅从营运资金的角度考察,因期末的营运资金为1800万元(6800-5000),似乎财务状况不错,但实际情况是,未来一周的现金将短缺700万元,财务状况并不理想,企业有不能偿还到期债务的风险。
财务状况变动表的上述局限性,对处于市场规则越来越严酷,竞争日趋白热化的市场环境下的企业来讲是致命的。企业难以掌握现金的流转规律,难以预测现金的充盈或不足,因而可能做出错误的资金筹措和调度决策。轻则,或造成资金浪费,成本上升,或造成现金短缺,延误商机;重则,造成信用扫地,被迫破产、清算,后果均难以想象。
(四)股东权益变动表
股东权益变动表可反映企业不同资本形态、资本公积、盈余转投资、买卖库存股票及总体利益等增减变化的有关信息。但该表只能从资本和股东权益的角度提供数据,不能反映企业经营过程中收入、费用以及现金流量增减变动的情况。
二、现金流量表取代其他报表的必然性
借鉴财务管理的理论,企业生存和发展的最终目的是企业价值最大化或股东财富最大化。因此从长期角度来讲,盈利是企业得以持续经营的理论基础。然而,不可否认的是,现金却是企业维持日常经营运作的“血液”或“动脉”。
利润指标常为投资者广为关注,公司利润的突然变化会引起分析人员、投资者、债权人和金融媒体的广泛注意。以前的研究表明利润的变化与证券收益呈正相关,也就是说,利润增长证券价格上涨,利润下降则证券价格下降。然而,由于利润是在特定的会计方法下得出的,它可能受到经理的调控。我们认为,投资者如果使用较少受经理控制的指标可能会更好。而经营现金流量是利润的一个替代指标。
资产负债表和利润表都是以权责发生制为编报基础来反映企业财务状况和经营成果的,这就在一定程度上存在着企业账面盈利或报表中的利润与实际现金流转之间的脱节。由于利润表上提供的净利润金额,是按照权责发生制而不是按照收付实现制原则确认收入和费用而得到的计算结果,考虑到账面利润的可操作性或弹性空间,我们认为,相比而言,现金流量似乎更具有客观性或可检验性,因此对现金流量表的分析也就显得非常重要。无论对企业的盈利能力还是偿债能力进行分析,人们通常习惯使用每股收益或净资产报酬率、资产负债率、流动比率等一系列指标,却可能忽略了有关现金流量的相关指标。而事实上,就即时经营需求与现时偿债压力而言,每股现金净流量、经营活动现金净流量与流动负债的比重等指标显然要比每股收益、资产负债率、流动比率等更能反映企业维持经营运作所需及支付股利、按期还债的能力。
而现金流量表是以收付实现制为编报基础的。利润表不能直接提供经营活动取得现金流量的信息;而资产负债表也很难从期末和期初金额的比较中直接提供企业投资和筹资活动提供现金流量的信息。因而,现金流量表是一张反映企业经营全貌、揭示企业现金来源和运用、作为资产负债表和利润表之间的纽带和桥梁的报表。
由于财务状况变动表的致命弱点,企业管理当局及各方利害关系人索取财务状况变动信息的兴趣和重点自然从资金流量表转向以现金为基础的、专门全面地反映企业现金流入流出情况的会计报表——现金流量表,使得这一报表由原来的“配角”,备选报表,一举变为主角,成为企业对外报告的四个主要会计报表之一。
现金流量表实际上早在20世纪初就已出现,只不过受当时的社会和经济环境的影响,其作用未受重视。进入20世纪50年代,世界经济进入了战后发展的新时期,企业的生存环境逐渐地发生变化。日益高涨的技术革命的浪潮推动着社会生产力迅猛向前发展;大量新装备、新工艺、新技术的广泛应用,缩短了产品更新换代周期,新兴产业部门层出不穷,对传统产业提出了新的挑战;资本进一步集中,市场渗透、融合速度加快,企业规模越来越大,集团公司、跨国公司大量涌现;生产经营的社会化程度空前提高,市场瞬息万变,竞争愈演愈烈,企业破产、倒闭、清算司空见惯。与此同时,各国为发展市场,确保经济健康发展,不断修订完善有关法律,要求企业增强财务信息的相关性、透明度,遵守市场规则,旗帜鲜明地维护投资者和债权人的利益,捍卫市场经济秩序和信用。所有这一切迫使企业加强法律意识、信用意识,放弃一些旧的管理思维方式,实现管理观念和方法的大胆革新。一些新的理论和观念,如数量经济学、运筹学、管理工程学、现代决策论、控制论、信息论、系统论、现代心理学、行为科学、电脑应用技术等被广泛应用于企业管理之中,大大增强了企业的生存和发展能力。法律、信用意识的增强,管理观念、方法的更新,大大提高了人们对会计信息的要求。内、外部的会计信息使用者不再满足于只从营运资金的角度了解企业的财务状况,而要求从更直接的利益关系中来掌握企业的财务信息。这种利益关系的聚焦点直接体现在现金而不是营运资金上。正如前面已分析过的那样,无论企业拥有多少营运资金,也无论信用评估有几个“A”,企业总是要有足够多的用以清偿到期债务的现金,才能相安无事,既确保企业的生存权和发展权,同时又使投资者、债权人的利益得以保全。因此,现金流量表也就不知不觉被从后台推向了前台,备受关注。
我国是于20世纪90年代开始在企业报表体系中引入现金流量表的。1993年7月1日实施的《企业会计准则》第五十七条规定:“财务报告是反映企业财务状况和经营成果的书面文件,包括资产负债表、损益表(利润表)、财务状况变动表(或现金流量表)、附表、会计报表附注和财务情况说明书”。但因不是强制性要求,实际上在当时几乎没有企业编制现金流量表。1998年3月20日,财政部以财会字[1998]10号文件下发了《关于印发〈企业会计准则——现金流量表〉的通知》,要求所有企业从1998年1月1日起执行。由此,标志着我国自1998年1月1日起,现金流量表正式取代企业对外报告的财务状况变动表。
三、现金流量表的作用
由于现金流量表是基于收付实现制编制的,即是以现金及其现金等价物的收付时间为确认标准:凡是当期收到或付出的款项,不论其相关具体业务行为的归属期如何,一律作为当期的现金流入或流出量列示在现金流量表中,因此现金流量表虽然编制比较繁琐,但阅读起来却简单易懂。
现金流量表在评价企业经营业绩、衡量企业财务资源和财务贡献,以及预测企业未来前景方面,有着十分重要、无可替代的作用。
在市场经济条件下,企业现金充裕,就可以及时购入必要的材料物资和固定资产,及时支付工资、偿还债务、支付股利和利息;反之,现金短缺,轻则影响企业的正常需要,重则危及企业的生存。按照公司法规定,公司因不能清偿到期债务,被依法宣告破产的,由人民法院依照有关法律的规定组织股东、有关机关及有关专业人员成立清算组,对公司进行资产清算。因此,现金流量的披露、评价、预测、计划、管理已经成为企业财务管理的一个重要方面,受到企业管理人员、投资者、债权人以及政府监管部门的关注。
现金流量表反映企业一定会计期间内经营活动、投资活动和筹资活动等对现金产生的影响,其目的是为报表使用者提供一定会计期间内现金流入与流出情况,经营、投资和筹资活动的情况的信息。现金流量表的作用主要体现在以下三个方面。
(1)现金流量表有助于评价企业支付能力、偿债能力和周转能力,有助于报表使用者分析公司未来获取现金的能力。从公司经营的直接目的而言,似乎利润是评价公司经营业绩的主要指标。然而,从生产经营过程的需求上讲,一家公司要想生存下去,首先必须要做到以收抵支和按期偿债。无论是日常运营活动,还是资产的更新换代,充足的现金流量都是最基本的保证因素。通过现金流量表,并配合资产负债表和利润表,可以掌握企业经营活动、投资活动和筹资活动现金流量,了解企业现金流转效率和效果,了解企业现金的来源和用途是否合理,了解企业的现金能否偿还到期债务,支付股利和满足固定资产投资,了解企业从经营活动中获得了多少现金,企业在多大程度上依赖于外部资金,等等。
(2)现金流量表有助于预测企业未来现金流量。评价过去是为了预测未来。提供公司现金流量方面的信息,便于报表使用者了解公司一定会计期间内现金流入与流出的主要来源与去向。通过现金流量表所反映的企业过去一定期间的现金流量以及其他生产经营指标,就可以据以预测企业未来现金流量,从而为企业编制现金流量计划、组织现金调度、合理节约地使用现金创造条件;为投资者和债权人评价企业的未来现金流量、作出投资和信贷决策提供必要信息。譬如,根据上一期间销售商品和提供劳务产生的现金,参考下一期间的销售前景和收账政策、客户信用等因素,就可以预测下一期间销售商品、提供劳务产生的现金。通过上一期间用于支付工资的现金金额,再考虑下一期间用工规模、工资标准等其他因素,就可以预测下一期间支付工资所需要的现金。
(3)现金流量表有助于分析企业收益质量及影响现金净流量的因素。通过编制现金流量表,掌握经营活动产生了多少现金,并与企业一定时期实现的净利润相比较,就可以从现金流量的角度了解净利润的质量,并进一步判断是哪些因素影响现金流入流出,从而为分析和判断企业的财务前景提供信息。
(4)有助于报表使用者了解公司不涉及现金的,但对日后生产经营有可能产生重要影响的投资和筹资活动的信息,从而预测和评价公司资本投入和财务状况对未来现金流量的影响,以便对公司整体资金状况和正常运营能力及偿债能力做出客观公正的评价。
值得说明的是,强调现金流量表无可替代的作用,并不意味着现金流量表就十全十美,也不意味着其他报表就一文不值。现金流量表实际上在编制基础、流量分类、编制方法等方面也有其局限性。因此,如何从理论与实务两个方面进一步完善它,如何正确看待和运用现金流量表信息,如何扬其长、避其短,充分发挥现金流量表的应有作用,正是开展现金流量表专题研究的意义之所在。
四、现金流量分析的不足
现金流量表是在收付实现制的基础上编制的,收付实现制是以收到或支付现金作为确认收入和费用的依据。而权责发生制要求对已经实现的收入和已经发生或应当负担的费用,不论款项是否收付,都应当作为当期的收入和费用;凡是不属于当期的收入和费用,即使款项已在当期收付,也不应当作为当期的收入和费用。
从理论上说,权责发生制更符合情理,更能真实地反映成果和财务状况。收付实现制会出现如下不合情理的问题:预收的销货款收到,相关成本费用尚未发生,赊购商品已转手出售,而没有支付购货款,都会使利润偏高。
资产负债表和利润表都是以权责发生制为基础编制的。资产负债表说明了公司年末的财务状况,它提供了许多分析公司业绩和状况的必要数据和信息,我们可以根据资产负债表评价公司的流动性、财务杠杆以及计算资本或投资的收益率。利润表反映了公司经营的利润或损失,它详细记录了公司本年的收益和费用,是总结公司经营活动的报表,意在提供一份本年度的业绩报告,通过对利润表的分析,可以评价企业各方面的经营业绩并及时发现企业经营管理中存在的问题。而现金流量表不能提供这些分析数据。
所以应以收付实现制编制的现金流量表配合资产负债表和利润表,考察权责发生制下的净利润的形成过程,评价净利润的真实性水平。
第五节 企业价值分析
企业价值分析是以财务报表分析数据为依据,综合分析企业过去的财务状况以及未来影响企业经营收益和财务状况变动的各项因素,利用专门方法分析评价企业价值的过程,也被称为企业价值评估,其研究的内容是财务报表分析的延续,是对财务报表定量分析与定性分析的综合。
一、企业价值分析的意义
企业价值分析可以向财务报表信息使用人提供企业价值方面的信息,以帮助决策者进行决策,企业价值是其未来创造的现金流量的现值,依据投资分析中的基本分析理论,企业价值或者其某项资产未来现金流量与企业财务数据之间存在着可以量化的关系,并且在一定时间内,这种关系是稳定的,未来现金流量是可以通过专门的方法预测的。如果投资人通过价值分析,可能会发现被市场低估的企业(即该企业的股票价值远远低于投资价值),从而可以获得高于市场平均报酬率的超额收益。
此外无论企业财务管理的目标是股东财富最大化、企业价值最大化还是利益相关者最大化,企业必须将其战略目标贯彻实施于日常生产经营,正如第一章所述战略分析通常包括环境分析、产业分析和公司内部分析,实际上是分析评价当前与今后为股东和利益相关者创造财富的关键因素,价值分析的方法就是常用的方法之一,企业价值分析将企业战略、财务决策和公司价值紧密结合,成为改善决策的重要手段。
二、企业价值分析的主要方法
常用的企业价值分析方法有四个:(1)现金流量折现法;(2)经济利润法;(3)相对价值法;(4)或有要求权法。
(一)现金流量折现法
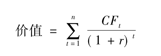
1.方法基础
现金流量折现法是企业价值分析最常用的方法,该方法使用现金流量折现模型计算企业价值,依据该模型,一切资产的价值均等于该资产产生的未来现金流量的现值。通用模型:

其中:t为资产带来现金流量的年限;
CFt为资产带来的第t年的现金流量;
r为包含各期现金流量风险的折现率。
正确使用现金流量折现法的关键在于:(1)未来各期现金流量的估计;(2)含有风险的折现率的估计;(3)时间长短的估计。公式中的资产可以是任何资产,但在企业价值分析中是指特定的分析对象,如企业实体、股权等。
2.方法分类
根据未来收益现金流量的不同现金流量折现模型可以分成股权现金流量折现模型和企业整体现金流量折现模型。股权现金流量折现模型计量考核的是投资人的股权价值;企业整体现金流量折现模型计量考核的是企业整体价值,股权价值应当等于企业整体价值减去债权价值。分析人员在选择分析模型时需要注意现金流量与折现率的匹配,否则会出现企业价值高估或低估的情况。
股权现金流量折现模型为

该模型中的股权现金流量是指企业在一定期间能够提供给投资人的现金流量;权益资本成本是指投资人由于冒风险投资所要求的必要报酬率,也可以称之为与股权现金流量等风险投资的机会成本;t指股权带来现金流量的年限。
企业整体现金流量折现模型为

该模型中的企业现金流量是指企业在一定期间全部现金流入减去付现成本,以及必要资本支出后的剩余部分,是企业可以提供给所有投资人,即股权投资人与债权投资人的现金流量;加权平均资本成本是指按企业资本结构与个别资本成本加权平均得出的资本成本,代表了与企业现金流量匹配的等风险投资的必要报酬率;t指带来现金流量的年限。
现金流量折现法无论采用哪一种模型都是以预期的现金流量和折现率为基础的,因而该方法适合公司目前的现金流量是正常的,未来一段时间的现金流量和现金流量风险也能可靠的估计,并可以计算出贴现率的公司估值。
(二)经济利润法
1.经济利润的含义
经济利润是指企业收入扣除所有成本后的剩余收益,在数量上等于息前税后利润减去债务成本与股权成本。
经济利润=息前税后利润-资本占用费用
=息前税后利润-债务成本-股权成本
=息前税后利润-占用资本×加权平均资本成本率
=占用资本×(资本报酬率-加权平均资本成本率)
经济利润法是基于经济利润衡量企业价值的一种方法。依据该方法,企业价值等于全部投资资本加上预计经济利润的现值。与会计利润不同,经济利润将投资人的必要报酬率作为收益的扣减项,是一种经济学意义上的利润。在计算会计收益时,只扣除付给债权人的利息,不考虑股权资本的成本;在计算经济利润时,不仅要扣除债务资本成本,还要按照股东要求的投资收益率扣除股权资本成本,股权资本成本属于机会成本,不符合会计成本费用要素的定义,因而在会计核算中是不考虑的。
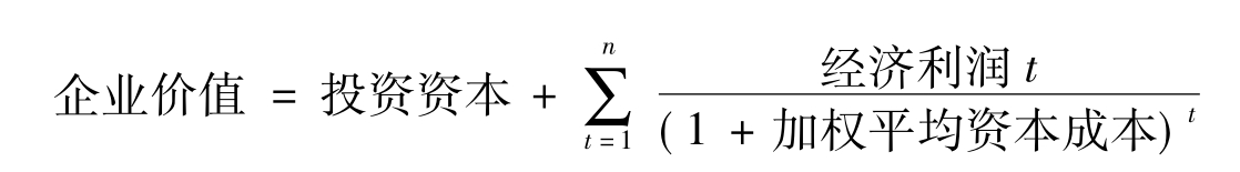
2.价值评估模型
财务学认为只有超过全部成本的收益才是企业价值的源泉,因此经济利润法下的企业价值等于全部资本额与企业未来创造的价值现值,即企业全部资本额与未来创造的经济利润的现值之和。据此经济利润模型为

从经济利润模型可以看出,企业价值的直接驱动因素包括投资资本规模、经济利润和资本成本水平,价值分析时应重点关注这些因素的变动以及驱动因素比如预测期限的确定、收益的计算方法、资金成本的高低等,这些因素的变动都将直接影响评估的结果。
(三)相对价值法
相对价值法是基于市场价格估计企业价值的一种方法。依据该方法进行价值分析时,先选择一个可比企业作参照物,然后使用一些财务比率估计目标企业相对于另一家企业的价值。常用的比率有市盈率、市净率等。该方法隐含的前提是该行业中的其他公司和该公司是可比的,且存在合理的市价。相对价值法常用的模型有两个,即市盈率模型和市净率模型。
市盈率模型:目标企业每股价值=可比企业平均市盈率×目标企业每股收益
市净率模型:目标企业每股价值=可比企业平均市净率×目标企业每股净资产
价值分析的真正目的是找出价值的驱动因素,相对价值法计算并不复杂,但分析的关键是确定影响市盈率和市净率的主要因素及这些因素的变动趋势,进行深层次分析。
(四)或有要求权法
或有要求权或者期权是一种资产,是仅仅在特定情况下才发生现金流量的资产,其中买方期权是当标的资产的价格超过执行价格时才有现金流量;而卖方期权是当标的资产的价格低于执行价格时才有现金流量。期权价值受标的资产价值、折现率、执行价值、期权期限、无风险收益率等因素的影响。
三、预计财务报表
无论采用哪一种企业价值分析方法,都必须在分析历史财务数据的基础上,预测企业未来的财务状况与经营成果,进而获得未来预测财务信息。为此,需要编制预计财务报表:预计资产负债表、预计利润表、预计现金流量表和预计股东价值变动表。预计财务报表的编制程序主要分为:根据企业档案资料信息计算企业销售收入的历史增长率,预测企业可持续增长率,然后根据预测企业可持续增长率预测企业未来销售收入增长率,并根据企业内外部环境估计预测期,在此基础上首先编制预计利润表,然后编制预计资产负债表和预计现金流量表,最终根据上述三张报表的变化编制预计股东价值变动表。
(一)预计利润表
编制预计利润表主要是用于综合反映企业整个预测期间的经营管理活动的财务成果和必须履行的纳税义务。构成预计利润表的收支项目主要来自两个方面:一是企业日常生产经营管理活动的收支;二是企业财务活动的收支。预计利润表的内容、格式与企业日常对外报告的利润表基本相同,只不过数据是面向价值分析的,需要考虑影响未来收益的各项因素以及变动方向。
(二)预计资产负债表
预计资产负债表是用于总括反映预测期末企业资产占用总额、分布结构以及负债和所有者权益等资金来源状况的预测报表,其格式、内容与企业日常对外报告的资产负债表相同。预计资产负债表通常以预测期初的实际资产负债表为基础,依据上述各项预测的数据资料,通过一定的分析调整而编制的,编制目的是为计算现金流量提供依据。
(三)预计现金流量表
现金流量状况如何,不仅直接关系到企业的获利能力,而且对企业财务风险的大小具有决定性的影响。因此,不仅要编制预计资产负债表和预计利润表,还必须从企业整体角度对现金流入与流出以及现金的净流量做出较为准确的预计,能够提供企业价值分析所需的现金流量信息。
(四)预计股东权益变动表
预计股东权益变动表反映预测期间内损益变动、直接计入所有者权益的利得和损失的变动的情况;反映企业未来如何解决的权益融资来源;预测企业资本交易的情况。预计股东权益变动表为分析人提示企业未来所有者权益各构成项目的变动情况。
【本章小结】
现金流量表是以收付实现制作为记账基础、反映企业一定会计期间内现金和现金等价物流入和流出信息的一张动态报表。本章介绍了现金、现金等价物和现金流量表的概念,将利润、经营现金流量和自由现金流量进行了比较,分析了其各自的优点和缺陷,指出现金流量作为投资者决策指标的重要性。
现金流量根据企业经济活动的性质,可分为经营活动现金流量、投资活动现金流量和筹资活动现金流量,这三项也就是现金流量表的主要列示项目,本章对这三个部分进行了阐释和分析。
2006年新会计准则关于现金流量表部分与旧准则存在一定区别,本章将其做了比较分析。近年来,现金流量表在国内外都受到越来越多的重视,它能够弥补资产负债表、利润表、财务状况变动表和股东权益变动表的很多缺陷和不足。
现金流量分析包括规模变动分析、结构变动分析、相关因素综合分析及指标分析。通过对这些变动状况及指标的分析,我们可以评价企业现金流量的状况以及偿债能力、创现能力,支付能力,并可以预测企业未来的现金流量,对投资者来说有极大的实用价值。
企业价值分析研究的内容是财务报表分析的延续,是对财务报表定量分析与定性分析的综合,其主要目的是向投资人和管理者等各方决策者提供企业价值方面的信息,以帮助决策者改善决策。常用的企业价值分析方法有四个:(1)基于现金流量的现金流量折现法;(2)基于经济利润的经济利润法;(3)基于市场价格的相对价值法;(4)或有要求权法。这些方法在企业价值分析中发挥的基本功能是将预测数据代入特有模型,计算出企业价值。无论采用哪一种企业价值分析方法,都必须在分析历史数据的基础上,预测企业未来的财务状况与经营成果,进而获得现金流量信息。为此,需要编制预计资产负债表、预计利润表、预计现金流量表和预计股东权益变动表。
【参考书目】
1.〔美〕肯尼斯·汉克尔与尤西·李凡特著,张凯等译,《现金流量与证券分析》,华夏出版社,2001年版。
2.〔美〕克莱德·P·斯蒂克尼(Clyde P.Stickney)与保罗·R·布朗(Parl R.Brown)著,张志强等译,《财务报告与报表分析》,第11章:价值评估——依据现金流量的方法,中信出版社,2004年版。
3.北京大学财务管理系列教材,张超英、王东升、马葵等编著,《企业财务分析》,第七章:现金流量分析,北京大学出版社,2006年版。