第二节 短期偿债能力分析
偿债能力是企业偿还到期债务的能力。企业的债务是以持有一定的资产为物资保证的,债务到期就必须用资产变现偿付。如果企业变现资产不足以清偿到期债务,就很难再从银行或其他机构取得借款,也难以再从供应商那里取得赊购的优惠,从而直接影响企业筹措资金的能力,影响正常的生产经营活动。按照债务偿还期限长短的不同,企业的偿债能力可分为短期偿债能力和长期偿债能力。所谓短期偿债能力,是指一个企业支付即将到期债务的能力,所以企业短期偿债能力又称企业的支付能力。企业的短期偿债能力对于财务报表的使用者来说是非常重要的。如果企业不能保持一定的短期偿债能力,自然就不可能保持一定的长期偿债能力,也不能满足股东的要求。影响一个企业短期偿债能力的因素主要有两个:一是营运资金的多少;二是企业流动资产变现能力的强弱。企业如果缺乏短期偿债能力,不但无法获得有利的进货折扣,而且由于无力支付短期债务,从而被迫出售长期投资或拍卖固定资产,甚至最终导致破产。因此,企业的债权人、职工、顾客、供应商和投资人等都对企业的短期偿债能力非常重视。
针对企业短期偿债能力进行分析,对透视企业的财务状况有着重要的意义。短期偿债能力的分析结果会直接影响分析者对企业生存竞争能力的评估。对于企业来说,任何一家企业想要维持正常的运转,必须持有足够的现金或随时变现的流动资产,以支付各种到期的费用和其他债务,这也是企业本身以及企业各方面利益关系者都非常重视的问题。
企业的债权人对企业偿债能力的分析,目的在于作出正确的借贷决策,保证其资金安全。债权人对企业进行贷款,除了希望到期收回本金及利息外,没有权利与投资者共同分享企业的税后利润,因此债权人要维护其合法权益必将其注意力放在是否能够保障其债权如期收回上,即债权的安全性如何。
企业职工、顾客以及社会公众等也都关心企业的短期偿债能力。若企业缺乏短期偿债能力,则无法按期支付员工薪金,调动不起员工的积极性,甚至还会导致失业的风险。对于企业的顾客,也将丧失进货的来源。
对于投资人来说,如果企业的偿债能力发生问题,就会使企业的经营者花费大量精力去筹措资金以应付还债,这不仅会增加筹资难度,加大临时性筹资成本,还会使企业管理者难以全神贯注地进行企业经营管理,最终影响到投资人的利益。
而供应商关心企业短期偿债能力的目的在于货款收回的安全性。它直接影响到企业的正常生产经营。供应商会因为企业的资信情况恶化,从而对企业的财务能力产生怀疑,有时甚至会主动放弃客户,使企业无法获得正常的货源。同时,企业如果缺乏良好的短期偿债能力,不仅资金周转不畅,也会丧失供应商提供的折扣机会,从而更加大了资金周转的困难程度。
只有当企业拥有较好的短期偿债能力时,才能获得较好的内外部环境,从而降低成本,增加企业盈利。但是,并不是反映短期偿债能力的指标总是绝对越高越好,应该有一个合理的界线。如果短期偿债能力过强,会造成资金的闲置,从而影响资金的使用效率,最终降低了企业的盈利水平。
一、影响企业短期偿债能力的基本要素
(一)营运资金
营运资金是流动资产减去流动负债后的差额,有时亦称净营运资金。营运资金是用于计量企业短期偿债能力的绝对指标。
营运资金的计算公式为
营运资金=流动资产-流动负债
当流动资产大于流动负债时,营运资金为正,说明营运资金出现溢余。此时,与营运资金对应的是以一定数额的长期负债或所有者权益作为资金来源的,说明不能偿债的风险较小。反之,则说明营运资金出现短缺。这时,企业部分长期资产以流动负债作为资金来源,企业不能偿还短期债务的风险很大。
【例2-5】以QD公司为例,2001—2005年营运资金计算分析如表2-5所示。
表2-5 2001—2005年营运资金计算分析

由图2-1显示,QD公司五年内的营运资金均为正数,并且自2002年至2005年的营运资金呈现明显的上升趋势,表示短期债权人的安全边际逐年提高。尤其在2003—2004年度有了明显的增加。可以说,当随着该企业营运资金增大,债权人无法获得清偿的风险越小。

图2-1 QD公司营运资金趋势图
对于债权人来说,希望营运资金越多越好,这样就可以减少贷款风险。因为,当营运资金短缺时,企业为了维持正常的经营和信用,就会被迫在不合适的时机和按不利的利率进行不利的借款,从而影响利息和股利的支付能力。同时,营运资金也不宜过多。因为,流动资产过多,虽然流动性强、风险小,但获利性差,不利于企业提高盈利能力。除了短期借款以外的流动负债通常不需要支付利息,除短期借款外的流动负债过少说明企业利用无息负债扩大经营规模的能力较差。因此,企业应保持适当的营运资金规模。
营运资金应该保持多少没有一个统一的标准,不同行业的营运资金规模有很大差别。通常来说,制造业一般有正的营运资金,但其数额有很大的差别。相反,信誉好的餐饮企业则有很少的营运资金,因其稳定的现金收入可以偿还同样稳定的流动负债。还应注意的是,同一行业不同企业之间的营运资金也缺乏可比性,因为营运资金和经营规模有很大联系。因此,在实务中很少直接单独使用营运资金作为企业偿债能力的指标。
相关案例
2005年12月12日,TCL集团股份有限公司(下称TCL集团,深交所交易代码: 000100)股东大会审议一份一个月前公布的董事会提案。在此份提案中,TCL集团董事会宣布将放弃原定的收购兼并计划,并不再投入两个计划中的新项目,以抽出9.45亿元上市募股资金,用于补充TCL集团及其子公司的营运资金。
TCL此前一直因为“国际化”的问题受到社会上众多争议。自收购汤姆逊集团的彩电业务和阿尔卡特公司的手机业务以后,TCL不断进行内部重组与调整,以应对接踵而来的整合难题。但是,资金吃紧的状况仍日复一日,尽管目前还没有迹象表明银行和供货商正在对其收紧银根。
这次公告称,此举有两个好处:一是为公司重点支持与保障的产业提供稳定长期的资金供给;二是减少眼下流动资金贷款的资金成本,每年可节约财务费用3742.2万元。在投资者看来,这一举措或许是TCL现状的一种最现实的描述:TCL如同一只压在巨石下的乌龟,正在努力掀翻石块,继续前行;压在龟背上的巨石,就是TCL两次海外并购带来的巨大亏损。
资料来源:IT时代周刊,2005年6月。
(二)流动资产变现能力分析
企业流动资产变现能力的大小,直接关系到企业能否维持正常的经营和信用,是影响企业短期偿债能力的重要因素。因为,流动资产须用流动负债来偿还,并且一般应是现金或货币资金,非货币性流动资产必须变现后方可用于偿还负债。流动资产整体的变现能力主要取决于应收账款和存货的变现能力。这两项指标可以帮助报表分析者评估应收账款和存货的品质。如果一个企业的应收账款及存货的品质不佳,且周转速度缓慢,则尽管表面上拥有巨额的资产,但隐患巨大。
1.应收账款变现能力分析
应收账款是流动性较强的流动资产,它收回的速度不仅反映了公司在应收账款上投入资金的使用效率,而且对短期偿债能力有重要影响。分析评价应收账款的变现能力通常使用的财务指标是应收账款周转率和账款收回平均日数。
应收账款周转率,指赊销净额与平均应收账款的比率关系,用于衡量企业短期资金周转及收款能力的强弱。其计算公式为

【例2-6】以QD公司的相关资料为例,2001—2005年应收账款周转率计算分析如表2-6所示。
表2-6 2001—2005年应收账款周转率计算分析表


图2-2 QD公司应收账款周转率趋势图
由图2-2显示,QD公司2001—2004年每年度的应收账款周转率持续递增,其主要原因在于管理部门不断地改善收款政策,加强有效率的账款管理办法,使收款能力提高,因而提高了资金周转的速度。
一般来说,应收账款周转率越高,平均收现期越短,说明应收账款的收回越快。否则,企业的营运资金会过多地呆滞在应收账款上,影响资金的正常周转。应收账款周转率的影响因素有:第一,季节性经营的企业使用这个指标时不能反映实际情况;第二,大量使用分期收款结算方式;第三,大量地使用现金结算的销售;第四,年末销售大量增加或年末销售大幅度下降。这些因素都会对该指标计算结果产生较大的影响。财务报表的外部使用人可以将计算出的指标与该企业前期指标、与行业平均水平或其他类似企业的指标相比较,判断该指标的高低。
在进行应收账款周转速度的分析时,还应该分析研究坏账准备数额与应收账款之间的比例关系。根据这个比例关系可以用于研究应收账款的管理政策。如果坏账准备率连续下降,此时投资人对企业应收账款比较放心,收账过程问题不大;如果坏账准备率上升,此时报表分析人对企业应收账款的收回比较担忧,企业在收回过程中可能存在一定问题。
账款收回平均日数,又称为收款期间,同样用以衡量企业收回账款期间的长短。通常用360天除以应收账款周转率来求得。计算公式如下:

【例2-7】以QD公司的相关资料为例,2001—2005年账款收回平均日数计算分析如表2-7所示。
表2-7 2001—2005年账款收回平均日数计算分析表


图2-3 QD公司账款收回平均日数趋势图
由图2-3可知,账款收回平均日数的趋势是应收账款周转率的反向。也就是说,如应收账款周转率较小,即表示账款收回平均日数越大;反之,如应收账款周转率较大,则表示账款收回平均日数较小,因此,图2-2与图2-3形成反方向的变动。
一般而言,账款收回平均日数没有一定的标准,也很难确定一项理想的比较基础。企业的账款收回平均日数是多少日才算合理,要视企业的政策而定,并参考同行业的标准来拟定,但总体而言,收账期越短,企业资金回流越快,对企业偿债能力的提升越有力。
2.存货变现能力分析
评价存货的变现能力,可以采用与应收账款变现能力评价相类似的方法。通常使用的财务指标是存货周转率和存货平均周转日数。
存货周转率,即某一特定期间的存货余额同销货成本的比例关系,用以衡量一个企业存货周转的速度,可以测定其推销商品的能力及存货的变现速度。在一般情况下,存货的周转率越高,表示企业存货的周转速度越快。在企业用于偿付流动负债的资产中,存货是一项起重要作用的流动资产;尽管存货不能直接用于偿还流动负债,但是如果企业的存货变现速度较快,意味着资产的流动性良好,也意味着会有较大的现金流入量在未来注入企业。企业投资于存货的目的,在于通过存货销售过程而获得利润。一般的制造企业为了配合销售的需要,都要维持相当数量的存货。存货对企业经营活动的变化非常敏感,这就要求企业将存货控制在一定水平上,使其与经营活动基本上保持一致。存货周转率是衡量企业生产经营各个环节中存货运转效率的一个综合性指标,其计算公式为
存货周转率=销货成本/平均存货
其中,

从资产流动性角度来看,存货周转率越高,存货一年内周转的次数越少,企业库存的风险越低,存货销售速度快,存货资金流动性强,偿付能力也强,资本运用效率必然也就越高;存货周转率低,表明存货一年内周转的次数少,企业库存的风险越高,存货销售速度慢,占用资金时间长,流动性弱,偿付能力不强。
如果企业的存货周转率恶化,可能由下列因素引起:第一,低效率的生产导致存货较慢的生产速度和较低的产量。第二,低效率的存货控制导致存货的过度购买。第三,存货项目滞销或过失导致增加存货总水平。这也可能由于销货需求减少。第四,企业可能存在着不适当的营销政策,如对信用政策控制过严而导致销路不畅等。
存货平均周转日数,是指各种存货每循环周转一次所需要的时间,计算公式为

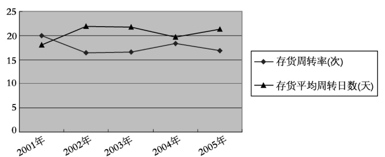
【例2-8】以QD公司的相关资料为例,2001—2005年存货周转率和存货平均周转日数计算分析如表2-8所示。
表2-8 2001—2005年存货周转率和存货平均周转日数计算分析表


图2-4 QD公司存货周转率与存货平均周转日数趋势图
计算表明:该企业2001年存货在一年内周转了19.93次,每次周转所需时间为18.06天;2002年的存货周转了16.48次,每次周转所需的时间为21.85天。两个年度比较,2002年的存货周转速度较2001年有所减慢,2002年存货周转减慢了1.87次,存货的变现时间延长了5.37天,存货变现速度下降,存货风险有所提高。从图2-4看,企业的存货周转率除2001—2002年有波动,其他基本是平稳的,企业的生产经营活动是稳定的、成熟的,偿债风险相对较小。
二、短期偿债能力指标分析
(一)流动比率分析
流动比率是流动资产与流动负债的比率。它是衡量企业资产流动性的大小,判明企业短期债务偿还能力最通用的比率。用于评价企业在短期债务到期前,可以变为现金用于偿还流动负债的能力。其计算公式为

人们通常认为,流动比率越高,企业的偿债能力越强,债权人利益的安全程度也越高。这是因为较高的流动比率可以保障在流动负债到期日能够将流动资产迅速变现用以偿还债务。这个比率越高,说明每1元流动负债的保障程度越高;这个比率还表明当企业遇到突发性现金流出,如发生意外损失时的支付能力。但是,站在企业的角度,过高的流动比率表明企业在流动资产上占用的资金过多,资金利用率低下,降低了企业资产的盈利能力;同时,还表明企业采取了一种保守的财务政策,未能充分利用企业现有的负债筹资能力。它表明企业财务状况稳定可靠,除了能满足日常生产经营的流动资金需要外,还有足够的财力偿付到期的短期债务。
【例2-9】以QD公司为例,自2001年至2005年的资产负债表日流动比率计算分析如表2-9所示。
表2-9 2001—2005年资产负债表日流动比率计算分析表

用趋势图对该企业的流动比率进行分析,如图2-5所示。

图2-5 QD公司流动比率趋势图
由图2-5可知,该企业2002—2005年度流动比率逐年提高,由2002年的1.84%提高到2005年的5.33%,说明企业的短期偿债能力增强,债权人利益的安全程度也有所提高。但2001年度,流动比率呈现下降趋势,究其原因,归结于使用短期借款投资特种冰箱项目,导致流动负债增加。
流动比率指标是国际上公认的衡量企业短期偿债能力的重要指标之一,该指标之所以能够被普遍用来衡量一个企业短期偿债能力的大小,是因为流动比率指标具有以下优点:
流动比率可以显示一个企业用其流动资产抵偿流动负债的程度。流动比率越高,表示以流动资产抵偿流动负债的程度越大,流动负债获得清偿的机会也越高。
流动比率可以体现企业所拥有的营运资金与短期债务的比率关系,借以说明企业应付不确定因素冲击的能力。营运资金与流动负债的比率越高,企业抵御不确定因素冲击的能力就越强。
除了上述优点外,在分析流动比率时还应了解流动比率指标的不足。
流动比率仅仅能表示一个企业在特定时点的短期偿债能力,并且没有考虑流动资产与流动负债在时间上的配合问题,而仅仅是反映了两者在数量上的比例关系。
反映在资产负债表的流动资产部分,有一些项目,如待摊费用等,实际上是虚资产,不能用于偿还债务,计算流动比率时也最好扣除。考虑以上两点,账面的流动比率就有可能高估企业的短期偿债能力。换言之,实际的短期偿债能力可能并没有按账面数字计算的流动比率所反映的那样高。
另一个值得注意的问题是企业的应收账款来自商品销售,而应收账款的多少往往取决于销货条件及企业信用政策。一般情况下,除了在企业办理清算时,否则旧的应收账款收回新的应收账款又会发生。所以,在计量流动比率指标时将应收账款的多少视为未来现金流入量的指标也是不很确切的。
此外,在一个重视财务管理的企业中,企业持有现金的目的在于防范现金流入量不足以支付现金流动量所引起的现金短缺现象。所以很多企业现金短缺就必然转向金融机构借款,但未来资金的融通数额并未包括在流动比率的计算范围之内。
在对流动比率进行分析时还应注意以下问题:
计算出来的流动比率,只有和同行业平均流动比率、本企业历史的流动比率进行比较,才能得出比率的优劣。但是想要找出流动比率过高及过低的原因,还必须分析流动资产和流动负债所包括的内容以及经营上的因素。
流动资产中包含的存货等能否足额、迅速地转换为现金是不确定的。如果流动性较差,即使流动比率很高,也不能说明企业短期偿债能力很强。为了更真实地揭示企业的短期偿债能力,我们还可以使用速动比率这一指标进行评价。
(二)速动比率分析
速动比率又称酸性试验比率或清偿比率,是指速动资产与流动负债的比率,表示每1元流动负债有多少速动资产作保障。它是用来衡量企业在不依赖出售存货的条件下迅速偿还债款的能力。一般情况下,速动比率越大,企业迅速偿债能力越强。
速动资产是流动资产扣除存货的差额,扣除存货的原因是:(1)尽管存货属于企业的流动资产,但存货的变现速度可能非常慢,存货也有可能已经陈旧过时,变现损失过大,因此在计算分析偿债能力时应该将其剔除;(2)由于某种原因,部分存货可能已损失报废还未作处理,或者部分存货已抵押给某债权人;(3)存货计价是按历史成本进行的,存货的账面价值与变现的市场价值之间存在着巨大的差异,存货的市场价值可能较账面价值有所提升,也有可能贬值。如果从偿债的角度分析发生变现数时的可能性非常大,而且任何一家企业都不期望用变卖存货的办法来还债,所以在计算速动比率时应将存货予以剔除。其速动比率的计算公式为


【例2-10】以QD公司为例,自2001年至2005年的年度终了日速动比率计算分析如表2-10所示。
表2-10 2001—2005年年度终了日速动比率计算分析表


图2-6 QD公司速动比率趋势图
相关资料:1947—1992年美国制造企业流动比率和速动比率趋势图

注:A线:1947—1992年,全美制造业流动比率趋势
B线:1947—1992年,全美制造业速动比率趋势
该图表明:美国制造企业的资产流动性自20世纪50年代初期以来呈剧烈下降趋势。这种下降趋势导致了企业破产机会增加、债权人和投资者的风险加大。
由表2-10可见,QD公司自2001至2005年之间,每年的速动资产均超过流动负债,表示该公司以速动资产就可偿还所有流动负债。同时,QD公司除2002年速动比率有所下降外,其余各年度均维持在相当高的水平,显示其短期偿债能力很强。
在计算企业速动比率时,另一种计算方法是将企业的预付费用予以剔除,其原因是预付费用已经不再具有市场价值。尽管在资产负债表中这些预付费用被列入流动资产项目,但实际上它们已经被消耗了,只是依据权责发生制的原则在以后各期加以分摊。所以,预付费用一般不包括在速动资产之中,依据这种观念,在计算速动比率时应该将存货与预付费用在流动资产中扣除,将扣除后的流动资产净额作为保守速动资产。其计算公式为
保守速动资产=流动资产-存货-预付账款-待摊费用

或

【例2-11】以QD公司为例,自2001年至2005年的年度终了日保守速动比率计算分析如表2-11所示。从计算结果看,企业的短期偿债也是很有保障的,保守的速动比率除2002年以外均大于1,企业短期偿债风险很小。
表2-11 2001—2005年年度终了日保守速动比率计算分析表

速动比率指标有其自身的优点:速动比率假定企业一旦面临财务危机或办理清算时,在存货、预付费用及其他不确定流动资产均假定全无价值的情况下,仅以速动资产便可支付流动负债的可能性大小。速动比率用于测验企业应付意外事件能力的高低非常有效。
速动比率虽然剔除了变现能力较弱的存货和预付费用,但速动资产中的应收账款本身也可能存在一些潜在的问题,如可能隐藏着未冲销的坏账、逾期待催收的账款所占比重过大等,这些都会影响速动比率的真实性。因此,还应当对应收账款的“质量”做进一步分析。
速动比率反映的是会计期末的情况,并不代表企业长期的财务状况。企业为筹借资金可能会人为地粉饰速动比率,作为债权人应进一步对企业整个会计期间和不同会计期间的速动资产、流动资产和流动负债情况进行分析。
在对速动比率进行分析时还应注意:在一般情况下,企业各项债务不可能集中在一个时期偿还,因而速动比率低于1并不意味着不安全。只要速动资产大于近期将要偿还的债务,就能说明偿债安全性有保障。
相关案例:“蓝田事件”
2002年的“蓝田事件”给上市公司和投资大众上了一堂财务科普课。人们由此认识到流动比率指标的重要性。
1996年6月18日,蓝田在上海证券交易所上市;1999年10月,证监会处罚公司数项上市违规行为;2001年10月26日,中央财大教授刘姝威在《金融内参》发表600字短文揭露了蓝田的造假丑闻,此后蓝田贷款资金链条断裂;2002年1月,因涉嫌提供虚假财务信息,董事长保田等10名中高层管理人员被拘传接受调查;同年3月,公司被实行特别处理,股票变更为“ST生态”;同年5月13日,生态因连续3年亏损,暂停上市;2003年1月8日,ST生态复牌上市。
其中刘殊威对蓝田提出的具有“毁灭性打击”的质疑在于:蓝田股份的流动比率小于1,意味着其短期可转换成现金的流动资产不足以偿还到期流动负债,偿还短期债务能力弱。蓝田股份的速动比率只有0.35,意味着扣除存货后,蓝田股份的流动资产只能偿还35%的到期流动负债……于是,她发了一篇题为《应立即停止对蓝田股份发放贷款》的600字短文。此后,国家有关银行相继停止了对蓝田股份发放新贷款。
ST生态2000年财务指标分析
流动比率=0.77;速动比率=0.35
营运资金=-127606680.11元;债务资本比率=0.30
蓝田股份的流动比率小于1,意味着其短期可转换成现金的流动资产不足以偿还到期流动负债,偿还短期债务能力弱。一旦蓝田股份不能通过借款或变卖固定资产等取得现金,用于偿还到期债务,蓝田股份立即会遭遇一连串的债务危机。
蓝田股份的速动比率只有0.35,意味着,扣除存货后,蓝田股份的流动资产只能偿还35%的到期流动负债。
蓝田股份2000年净营运资金是负数,有1.3亿元的净营运资金缺口。这意味着蓝田股份将不能按时偿还1.3亿元的到期流动负债。
(三)现金比率分析
现金比率是指一定时期内企业现金类资产与流动负债的比值,作为衡量企业实时偿还流动负债的能力。现金类资产指库存现金、银行存款及交易性金融资产等。其计算公式为
现金比率=货币资金(现金及现金等价物)/流动负债
现金比率是最严格、最稳健的短期偿债能力衡量指标,它反映企业随时还债的能力。现金比率过低,说明企业即期以现金偿付债务存在困难;现金比率高,表示企业可立即用于偿付债务的现金类资产越多,偿还即期债务的能力较强。
【例2-12】以QD公司为例,自2001年至2005年资产负债表日现金比率计算分析如表2-12所示。
表2-12 2001—2005年资产负债表日现金比率计算分析表

由表2-12看出,该企业的现金比率呈现逐年上升的趋势,表示企业可立即用于偿付债务的现金类资产增加,偿还即期债务的能力增强。
对财务发生困难的企业,特别是在发现企业的应收账款和存货的变现能力存在问题的情况下,计算现金比率就更具有实际意义。它能更真实、更准确地反映企业的短期偿债能力;对于经营活动具有高度投机性和风险性、存货和应收账款停留的时间比较长的行业,对现金比率进行分析非常重要。
对现金比率分析时必须考虑现金方面的限制。现金比率不应过高。现金比率过高,表明企业通过负债方式所筹集的流动资金没有得到充分的利用,企业失去投资获利的机会就大,所以并不鼓励企业保留更多的现金类资产。
三、企业短期偿债能力的比较分析
(一)同业比较
同业比较,指将企业反映短期偿债能力的指标、数据和财务报表在同行业之间进行比较。企业在选择比较对象时,可以选择同行业先进水平、同行业平均水平或主要竞争对手的相应项目进行比较。这种比较可以反映企业在同行业的相对水平和竞争能力。如果本企业的许多指标都在同行业中处于领先地位,就说明企业有较强的竞争能力。企业在进行同行业比较分析时应注意两点:一是确定同类企业,二是确定行业标准。同类企业一般情况下可以按以下两个标准:一是看最终产品是否相同,相同则为同类企业。同类企业具有相似的生产经营特点,其生产设备、加工工艺、资产构成、资本结构、价格水平等都具有可比性。二是要看生产结构是否相同。这里的生产结构主要是指企业的原材料、生产技术或生产方式。生产结构相同的企业,即使最终产品不同,也可认为是同类企业。另外,如果本企业为多元化经营的企业、企业生产多种产品,存在多种生产结构,为了进行同业分析,可以将企业内各个组成部分按最终产品或生产结构划分,分别与同行业企业相比较。
小组讨论:吉林邮政短期偿债能力指标同业比较表

以流动比率为例,绘制同业比较趋势图:
阅读上述资料,试讨论该企业速动比率、现金比率、现金流动负债比的同业比较,并对该企业的短期偿债能力进行分析。
(二)历史比较
历史比较,是对企业相关指标的本期实际值与历史各期实际值所进行的比较。对企业的短期偿债能力进行历史比较,有利于企业吸取历史的经验和教训,发现问题,及时改善企业的偿债能力。
短期偿债能力的历史比较分析采用的比较标准,是过去某一时点的短期偿债能力的实际指标值,这种比较分析对评价企业自身偿债能力是很有益的。历史比较分析最突出的优点是具有较强的可比性,还可以观察企业偿债能力的变动趋势。其缺点是历史指标只能代表过去的实际水平,不能代表未来的合理水平,而且在经营环境变动后,也会减弱历史比较的可比性。
(三)预算比较
预算比较分析指对企业指标的历史实际值与预算值所进行的比较分析。预算比较分析采用的比较标准是反映企业偿债能力的预算标准。预算标准是企业根据自身经营条件和经营状况而制定的目标。可见,历史比较倾向于与过去的比较,而预算比较则倾向于与未来目标的比较,并且这种比较分析对评价企业自身偿债能力是很有益的。由于预算标准根据企业自身经营条件、经营状况和经营目标制定,符合企业的实际情况;同时,预算标准在制定时,全面考虑了企业的历史水平和行业标准,具有较强的可比性。
四、会计政策与短期偿债能力

会计政策是指会计核算所应遵循的具体会计准则以及企业所采用的具体会计处理方法。公司执行的会计政策不同,其所取得的财务数据也就不同,进而使反映的财务能力也就不同。其中,我们主要讨论以下与短期偿债能力相关的会计政策:应收款项计价方法、存货的计价方法。
(一)应收款项计价方法
我们知道应收款项作为流动资产及速动资产的构成内容,在计算流动比率及速动比率指标时通常是以其账面价值为依据的。由于在会计计量上不仅应收款项是以其实际发生额计量入账没有考虑时间价值因素,而且在存在现金折扣的情况下,应收账款的入账金额是销售总价没有考虑可能发生的现金折扣。这就可能导致所计算的短期偿债能力指标高于其实际状况。具体来说,应收款项作为预期收款的一种权利,其未来收现金额的现值要小于其现时的账面价值,特别在客户享受现金折扣的条件下这种差异的幅度会更大。而流动负债通常有部分甚至大部分需要支付利息,如短期借款以及即将到期的长期借款和应付债券等。这就会使得按现值计算的流动比率及速动比率要低于按账面价值计算的数值,也就是说,按账面价值计算的短期偿债能力指标要高于流动负债到期时的实际偿债能力。
【例2-13】某股份有限公司1999年12月末流动资产及流动负债的规模及构成如表2-13所示。
表2-13 某股份有限公司1999年12月末流动资产及流动负债的规模及构成表

假定:1.短期借款年利率为6%,长期借款年利率为8%。
2.应收账款的平均收账期为三个月,流动负债期限均在三个月以上。
3.以短期借款年利率6%为折现率。
若按期末账面价值、三个月期折现值以及三个月后账面价值计算的流动比率与速动比率如2-14所示。
表2-14 按账面价值、折现值计算的流动比率与速动比率

注:
按期末账面价值计算:
流动比率=11539775/6603450=1.75
速动比率=(11539775-2157500)/6603450=1.42
按三个月期的折现值计算:
应收账款折现值=6928435/(1+6%÷12×3)=6826044(元)
流动负债折现值=1800000+1453450/(1+6%÷12×3)+3350000×(1+8%÷12×3)/(1+6%÷12×3)=6598473(元)
流动比率=(2453840+6826044+2157500)/6598473=1.73
速动比率=(2453840+6826044)/6598473=1.406
按三个月后账面价值计算:
三个月后应收账款账面价值仍然为6928435元
三个月后流动负债账面价值
=1800000×(1+6%÷12×3)+3350000×(1+8%÷12×3)+1453450
=6697450(元)
流动比率=11539775/6697450=1.72
速动比率=(2453840+6928435)/6697450=1.4
可见,无论是按三个月期的折现值计算,还是按三个月后的账面价值计算,两项比率值均低于按期末账面价值计算的数值。尽管差异不大,但也足以说明应收款项计量方法的选择对公司短期偿债能力评价指标的影响。
(二)存货的计价方法
与评价短期偿债能力相关的存货计价,包括期末存货计价和发出存货计价两个方面。对于期末存货计价来说,已明确了股份有限公司的期末存货计价采用成本与可变现净值孰低法。这里,可变现净值是指存货预计售价减去进一步加工成本和销售所必须的预计税金和费用后的净值,为便于说明期末存货计价对短期偿债能力的影响,不妨设定这里的可变现净值就是存货市价,而不考虑进一步加工成本和预计销售费用、税金等因素。对于发出存货计价来说,目前制度规定的选择方法主要有先进先出法、加权平均法等。存货计价方法对短期偿债能力指标评价的影响,大致可描述如表2-15所示。
表2-15 存货计价方法对短期偿债能力指标评价的影响

续表

【本章小结】
本章主要介绍企业短期财务风险的分析。其中主要包括财务结构以及短期偿债能力的分析。财务结构指的是企业资金来源的构成状况,即企业各种资金来源占资金总额的比例关系和融资形式组合。短期偿债能力,是指一个企业支付即将到期债务的能力,所以企业短期偿债能力又称企业的支付能力。
1.对于企业财务结构的分析主要包括资产流动性的分析、影响财务结构的因素的分析等。资产的流动性对于一个企业来说是至关重要的。它是指企业资产变换为现金的速度,能够迅速变换为现金的资产,其流动性则强;不能或不准备变换为现金的资产,其流动性则弱。流动资产是指一年内或超过一年的一个营业周期内变现或者耗用的资产。流动资产主要包括现金、应收款项、存货等项目。流动负债指企业将在一年或者超过一年的一个营业周期内偿还的债务。流动负债包括应付账款、应付票据、短期银行借款、应交税款、应计费用以及长期负债的到期部分。
2.影响企业财务结构的因素有很多,主要分为内部因素和外部因素。内部因素包括未来销售增长率、销售的稳定程序、业主对融资方式的偏好及企业的类型;外部因素主要包括行业竞争态势、企业信誉和金融市场环境等。
3.对于短期偿债能力的分析主要包括影响企业短期偿债能力的基本要素的分析、短期偿债能力指标分析、企业短期偿债能力的比较分析和会计政策对短期偿债能力的影响分析。
4.影响企业短期偿债能力的基本要素主要包括营运资金和流动资产变现力。营运资金是用于计量企业短期偿债能力的绝对指标。对于债权人来说,希望营运资金越多越好,这样就可以减少贷款风险。同时,营运资金也不宜过多,而应保持适当的规模。企业流动资产变现能力的大小,直接关系到企业能否维持正常的经营和信用,是影响企业短期偿债能力的重要因素。流动资产整体的变现能力则主要取决于应收账款和存货的变现能力。
5.衡量短期偿债能力的基本指标包括流动比率、速动比率,以及现金比率。流动比率是衡量企业资产流动性的大小,判明企业短期债务偿还能力最通用的比率。流动比率越高,企业的偿债能力越强,债权人利益的安全程度也越高。速动比率用来衡量企业在不依赖出售存货的条件下迅速偿还债款的能力。一般情况下,速动比率越大,企业迅速偿债能力越强。现金比率是最严格、最稳健的短期偿债能力衡量指标,它反映企业随时还债的能力。
6.企业短期偿债能力的比较主要包括同业比较、历史比较和预算比较。会计政策是指会计核算所应遵循的具体会计准则以及企业所采用的具体会计处理方法。与短期偿债能力相关的会计政策主要包括以下几个方面:应收款项计量方法、存货的计价方法等等。
【参考书目】
1.〔美〕查尔斯·吉布森著,马英麟等译,《财务报表分析》,中国财经出版社,2002年版。
2.〔美〕利奥波德·A·伯恩斯坦、约翰·J·维欧德,《财务报表分析》,北京大学出版社,2004年版。
3.洪国赐、卢联生,《财务报表分析》,机械工业出版社,2005年版。