1
宏观经济学
1.12.5.1 一、模型框架

一、模型框架

在前面章节我们分析了乘数和加速数原理,本节将结合乘数和加速数分析经济内部因素的相互作用,从而产生经济周期性波动的模型。这一模型也称为汉森—萨缪尔森模型。

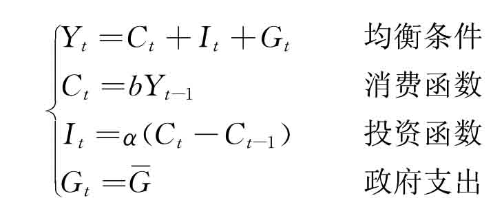
汉森—萨缪尔森模型的基本框架是:

均衡条件为当期国民收入取决于现期消费、现期投资和政府支出,即:

Yt=Ct+It+Gt

与前面分析加速数时相同,假定现期消费是上一期收入Yt-1的函数。根据加速原理,投资为两期消费之差的函数,即:

消费函数:Ct=bYt-1

其中,b为边际消费倾向,为简化分析,假定自发性消费为零。

投资函数:It=α(Ct-Ct-1

其中,α为加速系数,在资本产出比率不变的情况下,加速系数与资本产出比率在数值上相等。

那么,汉森—萨缪尔森模型就是:

img509

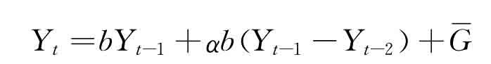
将消费函数、投资函数和政府支出代入均衡条件,可得:

img510

由此形成关于收入的二阶差分方程,即当期均衡收入是前两期收入的函数。