1
宏观经济学
1.6.5.1 一、引入政府部门

一、引入政府部门

两部门经济虽然可以得出不少宏观经济运作的基本原理和结论,但毕竟只考虑了家庭和企业部门的行为,现实经济生活中政府越来越重要,对经济生活的影响也越来越大。例如,我国2011年政府财政收入已经超过10万亿元,占GDP的比例达22%。美国2011年政府财政收入超过4万亿美元,占GDP的比例超过27%;政府支出超过5.4万亿美元,占GDP的比例更达到36%。因此,政府已经成为一国国民经济中不容忽视的主体。与此同时,现代政府又被赋予了调控宏观经济,保持国民经济持续健康发展的重担,政府会根据宏观的发展状况有意识地进行主动干预,因此,在宏观经济模型中必须考虑政府因素。

考虑了政府部门的经济,我们称为三部门经济,政府从财政上对经济的影响主要体现在财政收入和支出方面。政府收入主要包括税收和各种非税收入,前面已经介绍过,按税收的性质一般分为直接税和间接税,二者主要区别在于前者无法转嫁,付税人就是税负人,而后者可以全部或部分向外转嫁,付税人通常不是税负人。按税率来划分,可以分为定额税、比例税、累进税和累退税等。至于税种则较为复杂,一般可以根据税基进行分类,主要针对人口、财产、收益、消费、交易行为、所得与利得等确定。

政府支出一般可以分为三大类,即行政支出、公共投资支出和转移支付。其中行政支出和公共投资支出也称为公共消费和投资,也是在国民收入核算中所称的政府购买。行政支出主要包括维持政府的正常运转方面的支出,警察、卫生、教育等方面的支出,公共投资支出主要是政府为社会公共利益而建设道路、桥梁、隧道、公益设施等方面的支出。转移支付主要是社会保险、公债利息、失业救济金等方面的支出。表5.2列出了美国2000年和2011年的政府收入和支出的简况,及各个收入支出项目在整个收入和支出中所占的比例。

表5.2 美国的政府收入和支出(2000年和2011年)  单位:10亿美元

img153

资料来源:美国商务部经济分析局,www.bea.com。

引入政府部门以后,前面的分析就要相应进行调整。用t表示加权平均税率,0<t<1,为简化起见,不考虑税率的差异,假定整个经济社会只有一个针对收入的单一税率。T表示税收,那么,有如下的税收函数:

T=T0+tY

其中,T0为自发性税收,即这部分税收受除收入以外的其他因素的影响,比如根据人们交易行为征税,与收入高低是无关的。

YD表示可支配收入,其与收入之间的关系是:

YD=Y-T=Y-T0-tY=-T0+(1-t)Y

进一步,消费函数现在就不是取决于个人收入,而是取决于个人可支配收入,消费函数变为:

C=a+bYD=a+b[-T0+(1-t)Y]=a-bT0+b(1-t)Y

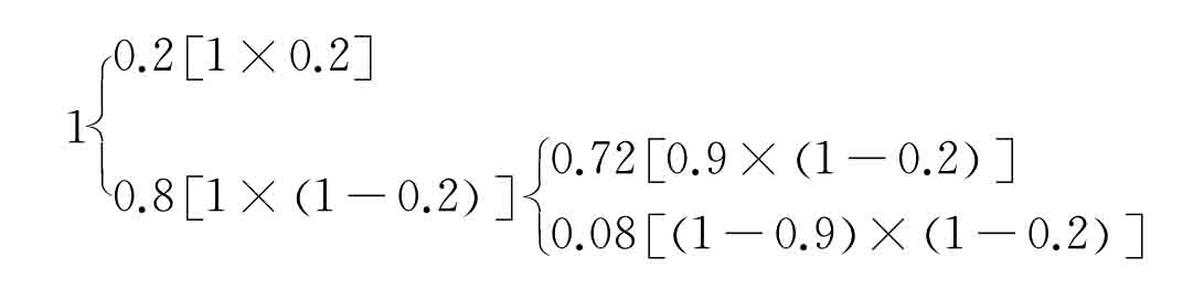
在这种情况下,b就不能再称为个人收入的边际消费倾向了,而应当称为个人可支配收入的边际消费倾向,个人收入的边际消费倾向现在变为b(1-t),由于0<t<1,个人收入的边际消费倾向变小了。当个人收入增加1单位时,首先要被政府征收t单位,家庭将剩余的1-t单位收入分解为b(1-t)单位消费和(1-b)(1-t)单位储蓄。假定b=0.9、t=0.2,1单位收入分解为0.2单位税收、0.72单位消费和0.08单位储蓄,个人收入的边际消费倾向变为0.72,即:

img154