1
宏观经济学
1.4.3.2 二、消费函数和储蓄函数的关系

二、消费函数和储蓄函数的关系

从前面关于消费函数与储蓄函数的分析出发,我们可以得到二者之间的三个重要关系。

(1)消费函数和储蓄函数互为补数,二者之和等于总收入。

这一关系实际上是储蓄定义的同义反复,当两个函数均为线性的情况下,可以得出如下关系:

C+S=a+bY+[-a+(1-b)Y]=Y

从图形上看,消费曲线与45°线之间的垂直距离就等于相应的储蓄量,如图3.6所示。消费曲线与45°线相交点对应于储蓄曲线与收入轴的交点,表明这时收入等于消费,储蓄为零。在该点之前,消费曲线位于45°线上方,消费大于收入,储蓄为负,在该点之后,消费曲线位于45°线下方,收入大于消费,储蓄为正。消费曲线与45°线的垂直距离等于储蓄曲线与横轴的垂直距离。

img56

图3.6 消费函数和储蓄函数的关系

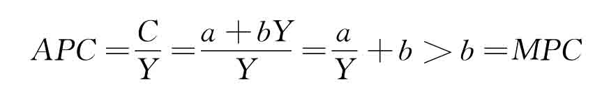
(2)APC和MPC都随着收入增加而递减,但APC>MPC。APS和MPS都随收入增加而递增,但APS<MPS。为简单起见,我们使用线性消费函数和储蓄函数证明如下:

由于a、b、Y均为正值,有:

img57

img58

(3)MPC和MPS互为补数,APC和APS也互为补数,即MPC+MPS=1、APC+APS=1。证明如下:

由ΔY=ΔC+ΔS及Y=C+S,得:

img59

img60