二、趋于流行化的民间音乐
在美国南部种植园地区,流传最广的黑人世俗音乐叫做“布鲁斯”。
布鲁斯(Blues) 或译作“蓝调”,意译为“忧伤”的意思。布鲁斯是19世纪90年代诞生于美国南方田野间的民歌。它的产生与灵歌、劳动歌曲有一定的联系。最开始是一种无伴奏的演唱,后来增添了班卓琴和吉他的伴奏。这些布鲁斯歌曲延续了非洲音乐的传统,在歌唱中掺杂着颤抖的嗥叫和假声,经常采用强烈的节奏,保持着应答轮唱的传统。
布鲁斯音乐的意境、主题和表达方式可以有很多不同,但最基本的功能是发泄,使人在面对贫穷、流浪、家庭争吵和社会压迫的时候,即使谈不上乐观,至少也能逆来顺受地对待自己的环境。它富有表情,重感观享受,不论在乡下还是城里,布鲁斯音乐总能让听众感到亲切。歌手虽然诉说的是个人的愁绪,却在听众心里成为普遍的感受,使他们联想起自己也有过相同或相似的经验。
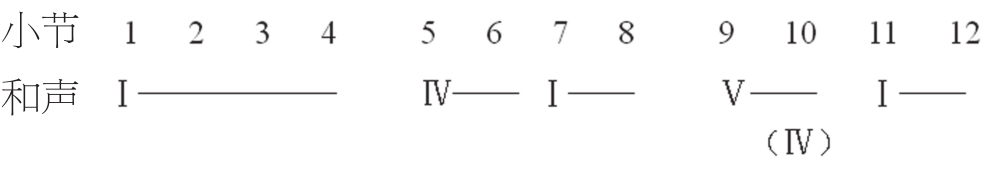
布鲁斯不仅是一种音乐风格、一种思想状态,而且也是一种演奏类型和一种音乐曲式。这种曲式结构的主要特点是以12小节为一乐段,每一乐段又等分为4小节的乐句。第一乐句用主调,第二乐句用下属调和主调,最后一个乐句用属调和主调(这里的属调往往先下滑到下属调,再解决到主调)。
布鲁斯的和声布局

布鲁斯的和声虽然看起来像是大调,但实际既非大调也非小调,布鲁斯同时应用大小调和非平均律体系下的音阶。C调的布鲁斯音阶往往含有降E、降B、降A,它们是Ⅰ、Ⅳ、Ⅴ大三和弦的小三度音。在演唱布鲁斯的时候,任何临时的变化音都可以接受,但是,降五度音——降G——通常被得到强调。这个音的音准和功能都不稳定,这种音乐上的不稳定恰恰是布鲁斯的重要特征。在布鲁斯里,滑音、高音往下掉、不规范的颤音以及非平均律的音都是布鲁斯旋律风格的一部分。
布鲁斯音阶

布鲁斯采用的非平均律音阶来自非洲,非洲音阶有不经过平均律调整的三级和七级音,但是布鲁斯音阶又不是单纯的非洲旋律语汇,它是经过欧洲和声体系调整后在美国成长起来的一种复合音响体系。
布鲁斯是美国黑人音乐流传最为久远的一种音乐,它经过一个多世纪的演变,在历史的长河中几起几落,但在任何时代,布鲁斯都显示了自己独具魅力的一面。
乡村布鲁斯(Country Blues) 最初的布鲁斯叫做乡村布鲁斯,19世纪末开始以独立的形式在密西西比河流域的乡间被演奏演唱。最初演唱布鲁斯的是一群南方地区的男歌手,他们游走在酒吧和各种社会聚会,以演唱具有乡土气息的歌曲来谋生。歌手们与客人尽情喝酒跳舞,他们的音乐很少受到固定模式的限制,歌词趋于口语化,歌手通常都带有即兴表演的成分,歌唱的主题大都是关于性爱、贫穷和死亡。

雷蒙·杰弗逊(Lemon Jefferson,1897~1930),一位来自得克萨斯的盲人歌手,在20世纪20年代末为布鲁斯音乐留下81张唱片的布鲁斯巨人。雷蒙演唱的是比较传统的乡村布鲁斯,他的风格比较清淡,吉他与歌声相呼应。他的歌词比较讲究格调,没有粗鄙的用词。经过唱片公司的推广,雷蒙很快成为家喻户晓的风云人物。
乡村布鲁斯的特点:
1.打破传统的节奏型 为了增加表现力,表演者可以临时增加一拍或减少一拍。但歌词触及歌唱者内心时,他会忘掉所有规则,感觉自己完全自由地歌唱。而且演唱者会利用节奏的变化,使自己区分于其他人的演唱。这样的变动完全出自演唱者内心的创作灵感。
2.确立了布鲁斯乐曲结构 布鲁斯使用重复的乐句,曲调的重复形成了布鲁斯的固定结构。每一乐段由12小节构成,12小节又被分为3句。其中,第一句引出一种情况或问题,第二句重复前一句,最后一句完成第一、第二句的描述或给出答案。
3.富于个性的演唱风格 布鲁斯歌手依靠各种演唱技巧的变化来吸引听众进入歌中的情节,使听众深受演唱者情绪的感染。
乡村布鲁斯虽然被有的人认为粗俗、不开化,但这类布鲁斯听起来更为自然、简练,音乐并不冷漠、呆滞。
城市布鲁斯(City Blues) 20世纪20年代,由于南方黑人大举移居北方工业城市,短短30年间,数百万黑人变成新增城市人口。由于生存环境的改变,布鲁斯慢慢脱离了以前的泥土气息,演化成一种城市流行的风格,在都市的舞会上成为黑人和下层市民欣赏的对象。黑人乐手也不再是田野上孤独的流浪诗人,而变成娱乐场所的固定演出群体。布鲁斯从乡间走向了城市,这一时期的布鲁斯因此被后人称为“城市布鲁斯”。
乡村布鲁斯与城市布鲁斯的比较:


贝西·史密斯(Bessie Smith,1894~1937)在20世纪20年代主宰了布鲁斯音乐的潮流,因此人们将她称为“布鲁斯皇后”。1935年在纽约阿波罗剧院举行盛大演出,布鲁斯携手爵士乐,首次作为严肃音乐登上了大雅之堂。

威廉·汉迪(W.C.Handy 1873~1958),自称为“布鲁斯之父”。1912年发表的《孟菲斯布鲁斯》乐谱,是现存第一首正式出版的布鲁斯乐谱。
这个时期还出现一种以职业歌手为中心的流行布鲁斯,他们在各个城镇之间进行商业巡演,其伴奏乐队往往不是布鲁斯乐手,而是巡演的爵士乐队。他们演唱的曲目大部分已经定型,接近当时城市中流行的爵士歌曲,除了演唱风格和嗓音具有强烈的布鲁斯色彩以外,就其音乐本身而言很难把它叫做布鲁斯。因为结合了布鲁斯和爵士的优长,这种演唱形式更能吸引听众,于是唱片公司纷纷投资出版发行这种音乐,使布鲁斯开始拥有一部分白人听众。因此,这种形式的布鲁斯最大的贡献在于把布鲁斯从黑人种族音乐推向了全社会。
20世纪20年代之后,布鲁斯走向了分化:一方面被爵士乐所吸收,成为爵士乐的重要组成部分;另一方面作为流行音乐的一个分支自身还在发展。1935年以后传统布鲁斯衰落,继之而起的是40年代盛行的节奏布鲁斯。
节奏布鲁斯(Rhythm and Blues)节奏布鲁斯英文简称R&B。 它可以说是在城市布鲁斯基础上结合了黑人摇摆乐,并吸收了钢琴音乐“布吉乌吉(5)”的特点,声音更加有力且富有节奏感。节奏布鲁斯不是单纯的独唱和伴奏,更像是一种合奏音乐,有旋律部分(独唱或独奏)、伴奏部分(对领唱领奏的回应)和节奏声部(低音吉他、鼓、钢琴)。

节奏布鲁斯之父——路易斯·乔丹(Louis Jordan,1908~1975)
路易斯·乔丹影响了早期的节奏布鲁斯,他经常演奏一些歌词诙谐的歌曲,由于这些歌曲适宜用作舞曲, 所以越来越多的白人青少年喜爱上了这种音乐。20世纪40年代末,节奏布鲁斯这一流派的唱片公司大量出现,其中很多都是黑人区中的犹太人经营的。1949年节奏布鲁斯登上《公告牌》(6)杂志,成为大众普遍接受的音乐风格。50年代,节奏布鲁斯更为灵活多变,歌词也比白人流行音乐有趣得多,而且它特别适合用作舞曲,受到更多白人青少年的喜欢,并为摇滚乐提供了最坚实的基础。
布鲁斯在“二战”以后仍然有所发展,出现了大师级的人物B.B.金;同时,布鲁斯也作为一种审美精神被广泛应用于各种流行乐风格当中。

B.B.金(B.B.King,生于1925年),“二战”后最有影响力、最富创意的布鲁斯乐手。在1951年到1985年,金有74次进入《公告牌》杂志节奏布鲁斯排行榜。