任务一 发动机结构认知和拆装
任务目标
1.掌握发动机的作用、类型和编号规则;
2.了解发动机的术语和基本的工作原理;
3.掌握发动机的总体构造及拆装;
4.了解发动机主要性能指标。
必备知识
发动机是汽车的动力源。现代汽车中,发动机应用最广、使用数量最多的是水冷式四冲程往复活塞式内燃机。常见的车中,使用发动机的有汽油发动机和柴油发动机两种。
1.发动机的作用和基本工作原理
发动机是将某一种形式的能量转换为机械能的机器,其作用是将液体或气体的化学能通过气缸内燃烧转化为热能,再把热能通过膨胀转化为机械能并对外输出动力。现代汽车主要采用的是往复式内燃机,本书所提及的汽车发动机,无特别说明的,是指往复式内燃机。
1)发动机的类型
发动机可以根据不同的特征来分类。
(1)按活塞的运动方式分类
按活塞运动方式的不同,活塞式内燃机可分为往复活塞式和旋转式两种。前者活塞在气缸内做往复直线运动,后者活塞在气缸内做旋转运动。
(2)按所用的燃料种类分类
根据所用燃料的不同,发动机主要分为汽油发动机(简称汽油机)、柴油发动机(简称柴油机)和气体燃料发动机3类。
(3)按点火方式分类
根据点火方式不同,发动机可分为点燃式和压燃式两种。点燃式发动机利用电火花使可燃混合气着火,如汽油机。压燃式发动机则是通过喷油泵和喷油器,将燃油直接喷入气缸,使其与在气缸内经压缩后升温的空气混合,使之在高温下自燃,如柴油机。
(4)按冷却方式分类
根据冷却方式不同,发动机可分为水冷式和风冷式两种。水冷式发动机以水或冷却液为冷却介质,而风冷式发动机以空气为冷却介质。汽车发动机多为水冷式发动机。
(5)按活塞行程数分类
对于往复活塞式发动机,活塞往复4个单程完成一个工作循环的称为四冲程发动机;活塞往复两个单程完成一个工作循环的称为二冲程发动机。汽车发动机多为四冲程发动机。
(6)按气缸数分类
发动机只有一个气缸的称单缸发动机,有两个以上气缸的称多缸发动机。
(7)按进气系统是否采用增压方式分类
按进气系统是否采用增压方式可以分为自然吸气式(非增压式)发动机和强制进气式(增压式)发动机。
2)国产内燃机型号
(1)内燃机型号
为了便于内燃机的生产管理、使用与维修,对内燃机名称和型号编制方法重新审定并颁布了国家标准(GB725—1991)。标准中规定:内燃机名称按所采用的主要燃料来命名,如汽油机、柴油机等。内燃机型号分首部、中部、后部和尾部四个部分,用阿拉伯数字和拼音字母组成,其排列顺序及符号代表意义规定如表1-1所示。
表1-1

(2)内燃机型号示例
①汽油机
例1:EQ6100—1—表示东风汽车工业公司生产,六缸,四冲程,直列,缸径100mm,水冷,第一种类型产品。
例2:462Q——四缸、直列、四冲程、缸径62mm、水冷、汽车用。
②柴油机
例:CA6110—表示第一汽车集团公司生产,六缸,四冲程,直列,缸径110mm,水冷,基本型。
2.发动机的基本结构与基本术语
1)发动机的基本结构
往复活塞式内燃机的基本结构,主要由气缸、气缸体、活塞、连杆、曲轴、进排气门、凸轮轴等零件组成。
气缸制在气缸体内,呈圆筒形状,是往复活塞式内燃机的工作腔。活塞在气缸内做往复直线运动。活塞通过活塞销与连杆的一端铰接,连杆的另一端则与曲轴相连,曲轴的两端则通过轴承支撑在曲轴箱上。因此,当活塞在气缸内做往复运动时,连杆便推动曲轴旋转。活塞在气缸内做往复直线运动的过程中,工作腔的容积大小不断地发生变化。
气缸上部装有气缸盖,使活塞顶部与气缸盖之间构成一个封闭的空间。气缸盖上装有进气门和排气门,进、排气门是头朝下而尾朝上倒挂在气缸顶端的。通过进、排气门的开闭,实现向气缸内充气和向气缸外排气的功能。进、排气门的开闭由凸轮轴控制。凸轮轴由曲轴通过齿形带(齿轮或链条)驱动,如图1-1所示。

图1-1
2)发动机的基本术语
发动机基本术语如图1-2所示。

图1-2
(1)上止点
上止点是指活塞离曲轴回转中心的最远处,即活塞的最高位置。
(2)下止点
下止点是指活塞离曲轴回转中心的最近处,即活塞的最低位置。
(3)活塞行程(S)
活塞行程是指上、下两止点间的距离,单位:mm(毫米)。
(4)曲柄半径(R)
曲柄半径是指与连杆大端相连接的曲柄销的中心线到曲轴回转中心线的距离(mm)。显然,曲轴每转一周,活塞移动两个行程,即S=2R。
(5)活塞冲程
活塞由一个止点到另一个止点运动一次的过程称为活塞冲程。
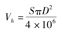
(6)气缸工作容积(Vh)
气缸工作容积是指活塞从上止点到下止点所让出的空间的容积。其计算公式为

式中:Vh——气缸工作容积,L(升);
D——气缸直径,mm(毫米);
S——活塞行程,mm(毫米)。
(7)发动机工作容积(VL)
发动机工作容积是指发动机所有气缸工作容积的总和,也称发动机的排量。若发动机的气缸数为i,则VL=Vh·i。
(8)燃烧室容积(Vc)
燃烧室容积是指活塞在上止点时,活塞顶上面空间的容积,单位:L。
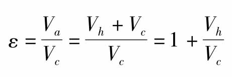
(9)气缸总容积(Va)
气缸总容积是指活塞在下止点时,活塞顶上面空间的容积(L)。它等于气缸工作容积与燃烧室容积之和,即Va=Vh+Vc。
(10)压缩比(ε)
压缩比是指气缸总容积与燃烧室容积的比值,即

(11)工作循环
在发动机气缸内进行的每一次将燃料燃烧的热能转变成机械能的一系列连续过程(进气、压缩、做功、排气)称发动机的一个工作循环。
3.发动机的工作原理
凡是曲轴旋转两周,活塞往复四个行程完成一个工作循环的,称为四冲程发动机。四冲程发动机的每个气缸都进行这种循环,但进行的时间有所不同。各缸做功行程错开,可使发动机输出功率平稳。
1)四冲程汽油机的简单工作原理
(1)工作原理
①进气行程
为使发动机做功,必须将汽油和空气混合形成可燃混合气,而后吸入气缸,这就需要一个进气行程。
活塞由曲轴带动从上止点向下运动,此时,排气门关闭,进气门开启。活塞移动过程中,气缸内容积逐渐增大,形成一定真空度,于是经过滤清的空气与化油器供给的汽油混合成可燃混合气,通过进气门被吸入气缸。至活塞到达下止点时,进气门关闭,停止进气,如图1-3所示。
②压缩行程
进气行程结束时,活塞在曲轴的带动下,从下止点向上止点运动,气缸内容积逐渐减小,由于进、排气门均关闭,可燃混合气被压缩,至活塞到达上止点时,压缩结束。气缸内气体被压缩的程度称为压缩比。压缩比越大,则压缩终了时气缸内气体的压力和温度就越高,燃烧速度也越快,因而发动机发出的功率越大,经济性也越好。现代汽油发动机压缩比一般为6~10,如图1-4所示。

图1-3

图1-4
③做功行程
在压缩行程末,火花塞产生点火花点燃混合气,并迅速燃烧,使气体的温度、压力迅速升高而膨胀,从而推动活塞从上止点向下止点运动,通过连杆使曲轴旋转做功,至活塞到下止点时做功结束,如图1-5所示。
④排气行程
在做功行程终了时,排气门打开,进气门关闭,曲轴通过连杆推动活塞从下止点向上止点运动,废气在自身剩余压力和活塞推动下,被排出气缸,至活塞到达上止点时,排气门关闭,排气结束。排气行程终了时,由于燃烧室容积的存在,气缸内还存有少量废气,气体压力也因排气系统存在排气阻力而略高于大气压力,如图1-6所示。

图1-5

图1-6
(2)工作循环的特点
①发动机每完成一个工作循环曲轴转两圈,进、排气门各开启1次,活塞在上、下止点间移动4次,每一行程曲轴旋转半圈。
②在4个行程中,只有做功行程产生动力,其余3个行程则是为做功行程作准备的辅助行程,还消耗一定能量。
③混合气是利用电火花点燃的。
④发动机启动时必须有外力将曲轴带动。
(3)多缸发动机的结构特点
多缸发动机是在曲轴转角720°内,各缸都要像单缸发动机一样完成一个工作循环。它是由多个结构相同的气缸组成的,一般共用一个机体、一根曲轴。
任务实施
1.考核标准

2.相关设备
发动机体卸所用工具、仪器及设备主要有以下几种:
(1)套筒、扭力扳手、活动扳手、尖嘴钳、手锤。
(2)时代超人专用内六角扳手一套。
(3)时代超人专用拆卸连杆轴颈扳手一套。
(4)时代超人发动机、机油、清洗剂、油盆、棉布等。
3.注意事项
(1)在进行拆装作业时,必须按正确的顺序和合理的方法进行操作,以免造成机作的人为损坏,拆卸后,各零件应按结构连接关系及材质分类存放。连杆螺栓等重要螺栓应按规定顺序进行拆卸;装配时,应按顺序及力矩进行拧紧。
(2)配合精度要求较高的零件(如活塞、连杆轴承、连杆轴承盖等)拆装时,应核对和做好装配标记,并按顺序进行摆放。
(3)装配之前,应将各零件彻底清洗干净。
(4)拆卸零件时防止零件掉落损坏或伤人。
4.实施步骤
(1)准备好发动机(桑塔纳2000)本体。
(2)准备好拆装工具(包括常用工具和专用工具)。
(3)拆卸进气歧管。
因为进气歧管紧固螺丝的是内六角螺丝,所以需用专用工具进行拆卸,拆除四周螺丝后小心取下进气歧管垫片,如图1-7、图1-8所示。

图1-7

图1-8
(4)拆卸排气歧管(如图1-9所示)和凸轮轴正时皮带罩盖(如图1-10所示),掰开罩盖边卡子即可拆下。

图1-9

图1-10
(5)拆除机体上的附件,拆除水泵(如图1-11所示),拆除水管(如图1-12所示),取出节温器(如图1-13所示),拆卸机油滤清器总成(如图1-14所示),按顺序放好。

图1-11

图1-12

图1-13

图1-14
(6)拆卸气门室盖,拆除四周螺母即可,取出密封圈(如图1-15、图1-16所示)。

图1-15

图1-16
(7)拆除凸轮轴轴承螺母,取出各道凸轮轴轴承(如图1-17、图1-18所示)。
拆卸要求:按照从外侧向内侧的顺序,分两次松开全部螺母拆卸。

图1-17

图1-18
(8)小心取出凸轮轴(如图1-19、图1-20所示)。

图1-19

图1-20
(9)按照从外侧向内侧的顺序,分两次松开缸盖螺栓(如图1-21所示)、取出缸盖螺栓(如图1-22所示),取出气缸盖(如图1-23所示),小心取出缸垫(如图1-24所示)。

图1-21

图1-22

图1-23

图1-24
(10)拆除油底壳四周的螺丝(如图1-25所示),取出油底壳(如图1-26所示)。

图1-25

图1-26
(11)拆卸取出正时带轮(如图1-27所示),拆卸机油泵和机油泵驱动链条(如图1-28所示)。

图1-27

图1-28
(12)拆卸连杆轴颈(如图1-29所示),取出后按照顺序放好。再取出活塞(如图1-30所示)。

图1-29

图1-30
(13)拆卸主轴颈(图1-31)和止推垫片(图1-32)。

图1-31

图1-32
(14)拆卸曲轴(图1-33),放好注意掉落(图1-34)。

图1-33

图1-34
(15)所有零部件拆卸完毕,清洁零部件为安装做准备。
任务报告
理论习题
1.四行程汽油机发动机由哪两大机构、五大系组成?
2.四行程汽油发动机的工作原理是什么?
3.内燃机的特点有哪些?
4.汽油发动机和柴油发动机的区别有哪些?
实训报告
实训题目:_______________________________________
实验时间:_______________________________________
实训人员姓名:___________________________________
仪器、设备准备:_________________________________
实训过程、步骤、现象:___________________________
实训成果及分析:_________________________________
实训体会或实训建议:_____________________________
任务评价

教师签名:__________学生签名:__________
日期:__________