1
新编大学计算机基础
1.6.6 4.6 公式的制作

4.6 公式的制作

Word 2000中提供了一些常见的公式,可以用来进行基本运算。但关于公式的制作就必须借助于公式编辑器。

利用公式编辑器,只需要选择工具栏上的符号并键入数字和变量,就可以建立复杂的数学公式。

操作步骤如下:

(1)将光标定位在要插入公式的位置。

(2)单击“插入(I)”菜单中的“对象(O)”命令,将弹出如图4.6.1所示的“对象”对话框。

(3)单击对话框的“新建”标签,在“对象类型”列表框中选择“Microsoft 公式 3.0”选项。

img157

图4.6.1 “对象”对话框

(4)单击“确定”按钮,屏幕上显示“公式”工具栏,如图4.6.2所示。

img158

图4.6.2 “公式”工具栏

(5)“公式”工具栏分两行,上一行是符号,用来插入各种数学字符;下一行是样板,样板有一个或多个空插槽,可在其中插入一些积分、矩阵公式等。用户根据需要在“公式”工具栏上选择符号、输入变量和数字。

(6)单击正在编辑的文档的其他任何地方即可。

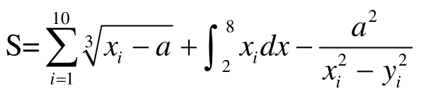
例如创建以下一个数学公式:

img159

如果要修改公式,直接双击该公式,即可进入该公式的编辑状态。