第四节 创业项目决策
创业者要通过对备选项目的评估,判断选择进入的行业和计划生产的产品或提供的服务是否具有可行性,才能最终作出是否启动项目的决定。这是项目决策要解决的基本问题。为了作出正确的决策,必须先要进行市场分析,准确定位市场,并测算财务情况。
一、市场分析
市场分析的主要内容包括顾客分析、竞争者分析、企业分析和市场定位4个方面。
(一)顾客分析
顾客分析也称客户分析,是根据客户的信息和数据分析客户需要,了解客户特征,评估客户(群)的市场价值,为客户制订相应的营销策略和资源配置计划,并最终找到创业者所需要的目标市场。
首先,创业者需要对顾客群体进行细分,细分的依据是客户需求的多样性和购买行为的差异性。常见的细分变量有以下几种:
人口因素:性别、年龄、收入、职业、行业、家庭结构、宗教等;
地理因素:区位、地形、气候、城市规模等;
心理因素:消费态度、生活方式、社会阶层、文化特点等;
行为因素:消费者的社会地位、品牌忠诚度、消费频率、使用场合、新鲜事物接受度等。
通过合理的客户细分,可以熟知不同客户的不同需求,以及客户的消费特征与企业经济效益关系,还可以发现潜在客户,进而找准合适的创业项目。
其次,创业者还要进行顾客研究。因为每个细分市场的需求和风险是不同的,创业者在制定产品策略和营销策略时的方案也应有差异。例如,高端市场客户重视品牌的知名度,强调产品的品质和服务质量,对价格不是特别敏感,但也存在客户资源可能不足的风险;低端市场客户对价格非常敏感,风险主要在于市场份额衰减。
网络的普及也改变了顾客的购买行为。网上购物的比重日益增加。网上购物具有很强的分享体验特征,这对那些潜在客户的购买行为具有较大的影响力。
(二)竞争者分析
在市场竞争中,企业需要了解谁是自己的客户,更要清楚谁是竞争对手。企业看好的顾客,竞争者也会看好。当某一部分顾客对某种产品和服务产生需求的时候,市场就产生了。与此相对应,欲以生产经营类似产品和服务来满足这个市场需要的竞争者所组成的行业也就应运而生。
1.竞争者的类型
从所处竞争地位的角度看,竞争者可分为四类:
(1)引领者。引领者是指在某一行业的产品或服务市场上占有最大市场份额的某一家和为数不多的前几家(通常前五位)企业。这些企业在标准制定、产品开发、价格设定、营销渠道、供应链整合、品牌号召力等方面处于主导甚至主宰地位。
如花旗银行、汇丰银行、JP摩根大通、苏格兰皇家银行、法国巴黎银行是全世界银行业的引领者,它们处于该行业第一集团的第一方阵;同样,埃克森美孚、皇家荷兰壳牌集团、英国石油是石油和天然气产业的引领者;沃尔玛是零售业的引领者;丰田、大众、戴姆勒是汽车市场的引领者;宝洁是家用及个人护理产品市场的引领者;辉瑞、强生、诺华是医药和生物技术领域的领导者;雀巢、联合利华是食品、酒类及烟草业的引领者;微软、IBM是软件与信息服务业的领导者;三星电子、英特尔是半导体市场的领导者;惠普、诺基亚、思科是技术硬件与设备领域的引领者;时代华纳是媒体业的引领者;巴斯夫是化工领域的引领者;波音是航空领域的引领者,如此等等。
(2)挑战者。挑战者是指在行业中处于次要地位(仅次于行业引领者)的若干企业。如空客是航空业的挑战者,谷歌(google)是软件与信息服务业市场的挑战者,家乐福是零售市场的挑战者,华为是通讯设备领域的挑战者等。作为挑战者,通用为了在外接充电式混合动力汽车领域战胜老对手丰田,在新型锂离子电池的开发上可谓倾其全力;同样,百事可乐勇于挑战,永不言败,向市场领导者可口可乐,这个早在1939年就已独霸整个软性饮料市场的霸主,发起攻击以力争夺取更多的市场份额。一般地,市场挑战者往往试图采用颠覆性的新技术,或创造新的商业范式和赢利模式,或通过并购、战略联盟等手段,或仅仅通过市场渗透等方式,不断蚕食引领者的市场份额,甚或创造全新的市场需求,由此脱颖而出,取而代之,成为新的引领者。
(3)追随者。追随者是指在行业中居于并安于中间地位,在战略上采用追随策略的那些企业。这类企业数量众多,它们的自身定位很明确:不去做风光无限、势大声宏的引领者,也不去做耻为人后、舍我其谁的挑战者,也不愿做开拓者或冒险者,担心勇士不成反成烈士,而是甘于做追随者、跟进者;他们不会为争取超额利润而拼搏,而是致力于获取行业的平均利润。在技术方面,它们不会在投入高、风险大、周期长的原创性技术上下工夫,也不会将新产品率先推向市场;在营销方面,它们不会充当铺路石去做早期的市场培育和布道工作,而是从众、搭便车。追随者通过观察、模仿、学习、借鉴和改进,一方面追随市场和行业的节拍和律动,避免落伍、掉队;另一方面在学习和借鉴中提升,使自身的实力不断发展壮大。
(4)补缺者。补缺者多是行业中相对较弱小的一些中、小企业,它们专注于市场上被大企业忽略的某些细分市场,成为拾遗补缺者,在大企业的夹缝中求生存和发展。细分市场又称利基市场(Niche Market),利基Niche一词源自法语,因法国人信奉天主教,在建造房屋时,常常在外墙上凿出一个不大的神龛,以供奉圣母玛利亚。神龛很小,但边界清晰,洞满乾坤,因而后来被用来形容大市场中的微小市场并旨在传递这样的意味:市场虽小,几成缝隙,但同样可以淘金,值得深耕细作。实际上,在这些微小的市场上,补缺者通过生产和提供某种具有特色的产品和服务,通过聚焦战略和专业化经营来获取最大限度的收益,以此赢得利润空间和发展空间。
2.竞争者优劣势分析
竞争者优劣势分析的内容包括产品竞争力分析、销售渠道竞争力分析、市场营销水平分析、研发能力分析、生产能力分析、资金实力分析、企业组织与管理水平分析等。
为了较全面地检视竞争者的总体状况,需要回答下列问题。下表给出了对竞争对手整体分析涉及的若干关键问题。有关竞争者的关键问题见表4.4。
表4.4 有关竞争者的关键问题

简言之,竞争对手分析应重点关注的方面有:竞争对手的经营目标、市场定位、优势劣势、战略意图、竞争策略、核心能力及对竞争的反应模式。其中,核心能力主要指战略谋划能力、创新能力、技术实力、系统集成能力、跨文化领导力、变革管理和危机处理能力,以及对市场变化的应对能力。
在竞争者分析中,通过分析竞争对手的优势劣势,研判与本企业在竞争中的互动策略,可以及时了解竞争对手的大致情况,警示竞争者给本企业发展造成的可能威胁。此外,从对竞争者的分析中,可以发现他们的经营长处,便于取其之长补己之短;同时,通过分析对手的劣势及原因,为企业经营提供一些教训,以避免出现同样的问题。
在竞争者分析中,竞争态势矩阵(Competitive Profile Matrix,CPM)是被广泛使用的竞争工具之一。CPM主要用于确认企业的主要竞争对手相对于本企业的战略地位,以及主要竞争对手的特定优势与弱点。在CPM中,可以将竞争者的评分和总加权分数与企业自身的相应指标相比较,这一比较分析可提供重要的内部战略信息。
(1)确定行业的关键成功因素。关键成功因素可能随不同行业和不同行业发展的阶段而有所不同。在之前的章节中,已经提过常见的关键成功因素。一般而言,管理人员首先要对所在行业有深入了解,然后由内部高层管理人员和专家组通过讨论来确定关键成功因素。然后,从中选出5~10项最重要的关键成功因素,以供分析之用。
(2)给出各关键成功因素的权数。对于所选定的每一项关键成功因素,都赋予一个权数,以表示该因素在该行业中获得成功的相对重要性。权数的决定是主观的,主要基于管理者对于行业的了解和经验。不过,管理者也可以对照行业中成功厂商与失败厂商之间的差异,来决定各关键成功因素的权数,以此获得较为客观的权数。权数的大小分布在1~10,其中“1”代表极不重要,“10”代表极重要。另外一种分配权数的方法是采用总权数分配,即设定权数总分数为1,然后依据相对重要性将总分分配给各关键成功因素,使各因素的权数总和为1。
(3)评估竞争者与企业在各关键成功因素上的表现。针对每一个关键成功因素,管理者需要通过给分的方式来评估企业与主要竞争者的表现。尽管评分不可避免地具有主观性,但管理者在强弱分数的判定上,还是应该尽量依据客观信息。类似于上述赋权的方法,在1(代表极弱)到10(代表极强)中选取一个数字,用以代表竞争者在关键成功因素上的强弱表现。当然,也可用别的约定数字来代表竞争者在各因素上的表现。
(4)计算每一关键成功因素的加权分数。针对每一关键成功因素,将竞争者的强弱评分乘上其权数,即得出竞争者的加权分数。由此表现各竞争者在该关键成功因素上的相对强弱程度。
(5)计算加权后总分。将竞争者在各关键成功因素的加权分数加总后,则可得到竞争者的加权后总分。总分反映出企业与其他竞争者间的整体相对强弱表现。由此可以了解,哪个竞争者相对最强,哪个竞争者相对最弱。
(三)企业分析
对于创业者来说,除了熟知竞争者的情况,更要重视对自我的分析,发现自身的优势和劣势。企业分析的主要内容大致如下:
1.产品或服务分析
这是针对产品或服务进行总体评价,或对拟推产品或服务进行评估,包括产品的合理性评价和产品的需求程度分析及预测。
2.市场营销能力分析
企业的市场营销能力分析,即从企业的市场定位和营销组合两方面来分析企业在市场营销方面的长处和短处。
市场定位是企业高层管理者在制定新的战略之前必须要回答的“谁是我们的顾客”这一问题。企业要为自己的产品和服务确定一个目标市场,从产品、地理位置、顾客类型、市场等方面来规定和表述。企业市场定位明确合理,可以使企业集中资源在目标市场上创造“位置优势”,从而在竞争中获得优势地位。企业市场定位的准确性取决于企业市场研究和调查的能力、评价和确定目标市场的能力、占据和保持市场位置的能力。
市场营销组合是指可以用于影响市场需求和取得竞争优势的各种营销手段的组合,主要包括产品、价格、分销和促销等变量。有效地使用营销组合要求设计适应目标市场需要的营销组合,还要求根据产品生命周期的变化及时地调整营销组合。
3.企业财务分析
企业财务分析可以从企业的财务管理水平分析和企业的财务状况分析两方面进行。
企业的财务管理分析就是看企业财务管理人员如何管理企业资金,是否根据企业的战略要求决定资金筹措方法和资金的分配,监视资金运作和决定利润的分配。企业的财务决策主要有三种:筹资决策,决定企业最佳的筹资组合或资本结构,企业财务管理者应根据企业目标战略和政策的要求,按时按量从企业内外以合适的方式筹集到所需的资金;投资决策,企业财务管理者运用资本预算技术,根据新增销售、新增利润、投资回收期、投资收益率、达到的盈亏平衡时间等将资金在各种产品、各个部门,以及新项目之间进行分配;股利分配决策,涉及分红和利润留成的比例问题。
企业的财务状况分析是判断企业实力和对投资者吸引力的最好办法。企业的清偿能力、债务资本的比率、流动资本、利润率、资产利用率、现金产出、股票的市场表现等可能排除许多原本可行的战略选择,企业财务状况的恶化也会导致战略实施的中止和现有企业战略的改变。分析企业财务状况的常用方法是财务比率的趋势分析,财务比率可分成清偿比率、债务与资产比率、活动比率、利润比率和增长比率5大类。当然,财务比率因计算的依据为企业会计报表提供的数据以及通货膨胀、行业经营周期和季节性因素等,因此,在解释分析能力方面仍存在一定的局限性,但仍然不失为分析企业内部长处和弱点的有效工具。
对于财务健康状况来看,当公司负债增加时,同时也增加了公司的固定费用(占总费用一定百分比)。在公司生意好的年份里,高固定费用的公司盈利非常好,因为一旦支付完这些费用,所有的额外销售收入都成为利润;而当生意不好的时候,债务的固定费用会把盈利降得相当低——这就是财务杠杆的作用。
做一个假设:以江铃汽车2010年财报数据为基础,假定下一年的成本固定。
由表4.5可知,在成本固定的情况下,好年份下收入的增长会使得利润放大,而坏年份也如此。在坏年份即将来临时,企业要做的首要问题便是将成本(固定投资和负债)减下来,因为这种杠杆效应会使企业非常难受。
表4.5 江铃汽车收入增长与利润关系

资料来源:表格数据来源于雷公社,下表同。
表4.6中有几个风险指标也必须要考察:
表4.6 江铃汽车财务风险分析

值得一提的是,江铃汽车连续四年(目前雷公社数据库中只有该公司4年的财务数据),长期借款和其他非流动负债占总负债的比例一直相当低(不足3%),连续4年30%~40%的资产负债率中大部分负债为应付账款和短期负债。这从一个侧面反映了公司良好的负债结构和极低的财务风险。
(四)市场定位
市场定位是在20世纪70年代由美国营销学家艾·里斯和杰克特劳特提出的,其含义是指企业根据竞争者现有产品在市场上所处的位置,针对顾客对该类产品某些特征或属性的重视程度,为本企业产品塑造与众不同的,给人印象鲜明的形象,并将这种形象生动地传递给顾客,从而使该产品在市场上确定适当的位置。
市场定位可分为对现有产品的再定位和对潜在产品的预定位。对现有产品的再定位可能导致产品名称、价格和包装的改变,但是这些外表变化的目的是为了保证产品在潜在消费者的心目中留下值得购买的深刻形象。对潜在产品的预定位,要求营销者必须从零开始,使产品特色确实符合所选择的目标市场。
公司在进行市场定位时,一方面要了解竞争对手的产品具有何种特色;另一方面要研究消费者对该产品的各种属性的重视程度。然后根据这两方面进行分析,再选定本公司产品的特色和独特形象。
1.市场定位的内容
(1)产品定位。产品定位侧重于产品实体定位,包括产品质量与特征、成本、性能、可靠性、用途、款式等。
(2)企业定位。企业定位即企业形象塑造品牌,包括员工的能力、知识、言行和可信度等。
(3)竞争定位。竞争定位是确定企业相对于竞争者的市场位置。如七喜汽水在广告中称它是“非可乐”饮料,暗示其他可乐饮料中含有咖啡因,对消费者健康有害。
(4)消费者定位。消费者定位即确定企业的目标顾客群。
2.市场定位的影响因素
不同的企业会采用不同的方式进行产品的市场定位,当然有时同一个企业也会运用不同的方式对产品进行市场定位,但是要保证定位的排他性特征。影响企业定位的主要因素有产品属性、产品的性价比、产品功能、使用者、产品类别和竞争者。
(1)产品属性。每个产品都有其特定的属性,企业可以依据产品鲜明的属性特征定位。例如,感冒药“白加黑”的产品属性特征是白天服用白色的药片,晚上服用黑色的药片,于是企业就将该产品属性特征清晰地用在了它的产品名称即“白加黑”和广告语“白天吃白片,晚上吃黑片”上。企业通过这种定位有效地将本企业生产的感冒药与竞争企业的产品加以区别。
(2)产品性价比。产品性价比是一种产品区别于另一种产品的重要特征,基于产品性价比优势进行市场定位是一个有效的战略选择方式。例如,台湾顶新集团将其方便面品牌“福满多”定位为价廉物美的产品,将“康师傅”方便面定位为高品质产品。
(3)产品功能。强调产品的独特功能会吸引相当一部分消费者,原因在于现在的消费者越来越追求独特功能的产品。例如,手机的拍照功能。于是,许多企业就以其手机强大的拍照功能进行产品定位。
(4)使用者。该种定位基础关注的是使用者的个性特征和类型。不同的用户类型对产品有不同的需求,那么,不同类型的产品应适应不同的用户。例如,美国米勒啤酒公司曾将其原来唯一的品牌“高生”啤酒定位于“啤酒中的香槟”,吸引了许多不常饮用啤酒的高收入妇女。后来发现,占30%的狂饮者大约消费了啤酒销量的80%,于是,该公司在广告中展示石油工人钻井成功后狂欢的镜头,还有年轻人在沙滩上冲刺后开怀畅饮的镜头,塑造了一个“精力充沛的形象”。在广告中提出“有空就喝米勒”,从而成功占领啤酒狂饮者市场达10年之久。
(5)产品类别。企业也可以根据产品类别(如餐饮类、卫生用品类等)的不同进行产品的市场定位,以突出不同产品种类的差异。产品类别和特定需求直接能够产生品牌联想。例如,利用类别定位寻求消费者头脑中的空隙,如由快餐联想到麦当劳。
(6)竞争者。针对竞争者对手的定位去确立企业产品的市场定位也是一种有效的定位方法。在快餐业,麦当劳与肯德基是一对强劲的竞争对手,针对麦当劳服务标准化的定位特点,肯德基提出了“鸡肉烹调专家”的差异定位策略。
3.市场定位的原则
各个企业经营的产品不同,面对的顾客不同,所处的竞争环境不同,因而市场定位所依据的原则也不同。总的来讲,市场定位所依据的原则有以下四点:
(1)根据具体的产品特点定位。构成产品内在特色的许多因素都可以作为市场定位所依据的原则。比如所含成分、材料、质量、价格等。“七喜”汽水的定位是“非可乐”,强调它是不含咖啡因的饮料,与可乐类饮料不同。“泰宁诺”止痛药的定位是“非阿司匹林的止痛药”,显示药物成分与以往的止痛药有本质的差异。一件仿皮皮衣与一件真正的水貂皮衣的市场定位自然不会一样。同样,不锈钢餐具若与纯银餐具定位相同,也是难以令人置信的。
(2)根据特定的使用场合及用途定位。为老产品找到一种新用途,是为该产品创造新的市场定位的好方法。小苏打曾一度被广泛的用作家庭的刷牙剂、除臭剂和烘焙配料,现在已有不少的新产品代替了小苏打的上述一些功能。我们曾经介绍了小苏打可以定位为冰箱除臭剂,另外还有家公司把它当做了调味汁和卤肉的配料,更有一家公司发现它可以作为冬季流行性感冒患者的饮料。我国曾有一家生产“曲奇饼干”的厂家最初将其产品定位为家庭休闲食品,后来又发现不少顾客购买该产品是为了馈赠,又将其定位为礼品。
(3)根据顾客得到的利益定位。产品提供给顾客的利益是顾客最能切实体验到的,也可以用作定位的依据。
1975年,美国米勒(Miller),推出了一种低热量的“Lite”牌啤酒,将其定位为喝了不会发胖的啤酒,迎合了那些经常饮用啤酒而又担心发胖的人的需要。
(4)根据使用者类型定位。企业常常试图将其产品指向某一类特定的使用者,以便根据这些顾客的看法塑造恰当的形象。
事实上,许多企业进行市场定位的依据的原则往往不止一个,而是多个原则同时使用。因为要体现企业及其产品的形象,市场定位必须是多维度的、多侧面的。
4.市场定位方法
市场定位的核心是与众不同,即差异化,所以市场定位战略可以理解为差异化战略,差异化可表现为许多方面。
(1)产品差别化。质量差别化。企业生产高品质的产品,如一些名牌产品,便是走这条路子,产品质量相当好。奔驰车、金利来产品、雅戈尔西服、意大利老人头皮鞋、海尔电器等,产品的品质比同类产品质量普遍要好。
价格差别化。与竞争对手保持不一样的价格。可能走高价、中价、低价的路子。名牌产品一般走高价路子,也有走中价或低价路子的。
款式差别化。采用独具特色的款式:服装、家具、手机等产品,很注重款式的差别。
功能差别化。与竞争对手保持不同的产品功能,或者功能更为优化。一些技术含量高、发展快的产品,很注重功能差别化。
顾客群体差别化。如劳力士手表定位于事业有成的高薪人士;法国名牌香水定位于豪华贵妇、时髦女郎、影视明星、青春少女等。
使用场合差别化。某些产品特别强调在某种特殊场合下使用。如,喜临门酒、双喜牌香烟,在吉利日子好卖。
分销渠道差别化。建立本企业独特的分销渠道体系,比如我国生产空调的企业,海尔、春兰、格力、奥克斯、志高等品牌,分销渠道有很大的不同。
广告等促销方式的差别化。同类产品,采用与众不同、独具特色的广告形式和其他促销方式。
产品差别化。可以说是多种多样,作为企业来说,要将各种差别化进行有效的组合,比如,前面讲到的产品质量、价格、渠道、促销、款式、功能、使用场合、目标顾客群体等各方面,要进行有效的整合。而产品质量和价格定位是企业运用最普遍的,也是消费者最熟悉的定位。
(2)服务差别化。服务差别化是本企业向目标市场提供与竞争对手不同的优质服务。现代企业的竞争,既是产品的竞争,同时又是服务的竞争。特别是技术复杂的产品,很强调服务。以家用产品来说,如,电冰箱、电视机、音响、空调、手机、微波炉等产品,很强调服务。消费者特别重视厂家及商家提供的相关服务。
从另一个角度来讲,各个企业生产同价格水平的产品,其质量并无多大区别,比的是产品服务水平。如果一个企业提供的服务不理想,很可能影响消费者的再一次购买,消费者就会将这种不满意传播给其他的消费者,也会影响其他顾客的购买。
企业打造服务差异化,可以及时准确的传递产品各方面信息,如,订货的方便性、交货的及时与方便性,帮助顾客安装调试、为客户提供培训、客户咨询、维修等方面。
(3)企业形象差别化。企业形象是一个十分广泛的概念,泛指企业的厂容厂貌、建筑、设备、产品、员工、经营理念、价值观念、广告等。企业的形象在消费者的心目中是一个总体的印象,消费者购买了企业形象好的产品,买后感到放心。企业要树立良好的企业形象和形成良好的企业文化。
二、创业项目决策
通过上述调研和分析,创业者需对项目是否可行作出判断。如可行,则可着手编制计划书并开始实施;如不可行,则需考虑新的创业项目。
在判断和评价项目可行性的时候,应着重考虑下列因素:市场推广的可行性、资源获取的可行性、技术支持的可行性和经济效益的可行性。本节侧重分析经济效益的可行性。
(一)盈亏平衡分析
盈亏平衡分析(Breakevenanalysis)又称保本点分析或本量利分析法,是根据产品的业务量(产量或销量)、成本、利润之间的相互制约关系的综合分析,用来预测利润,控制成本,判断经营状况的一种数学分析方法。一般说来,企业收入=成本+利润,如果利润为零,则有收入=成本=固定成本+变动成本,而收入=销售量×价格,变动成本=单位变动成本×销售量,这样由销售量×价格=固定成本+单位变动成本×销售量,可以推导出盈亏平衡点的计算公式为:
盈亏平衡点(销售量)=固定成本/每计量单位的贡献差数企业利润是销售收入扣除成本后的余额;销售收入是产品销售量与销售单价的乘积;产品成本包括工厂成本和销售费用在内的总成本,分为固定成本和变动成本。
盈亏平衡分析是通过盈亏平衡点(BEP)分析项目成本与收益的平衡关系的一种方法。各种不确定因素(如投资、成本、销售量、产品价格、项目寿命期等)的变化会影响投资方案的经济效果,当这些因素的变化达到某一临界值时,就会影响方案的取舍。盈亏平衡分析的目的就是找出这种临界值,即盈亏平衡点(BEP),判断投资方案对不确定因素变化的承受能力,为决策提供依据。
1.单方案盈亏平衡分析
单方案盈亏平衡分析是通过分析产品产量、成本和盈利能力之间的关系找出方案的盈利与亏损在产量、单价、单位产品成本等方面的临界值,以判断方案在各种不确定因素作用下的风险情况。由于单方案盈亏平衡分析是研究产品产量、成本和盈利之间的关系,所以又称量本利分析。
由于项目的收入与成本都是产品产量的函数,一般又根据它们之间的函数关系,将盈亏平衡分析分为两种,即:当项目的收入与成本都是产量的线性函数时,称为线性盈亏平衡分析;当项目的收入与成本都是产量的非线性函数时,称为非线性盈亏平衡分析。
(1)线性盈亏平衡分析。当销售收入与销售量(产量)、成本费用与销售量(产量)呈线性关系时,盈亏平衡分析称为线性盈亏平衡分析。假定:销售量等于产量;固定成本和单位变动成本不变;销售单价保持不变;多种产品可以换算为单一产品。
线性盈亏平衡分析图,如图4.2所示。

图4.2 线性盈亏平衡分析图
线性盈亏平衡分析函数:
年度销售收入函数:S=pQ
年度总成本费用函数:C=CF+CvQ+TQ
年度总利润函数:B=S-C=pQ-CvQ-TQ-CF
令,B=(p-Cv-T)Q-CF=0
得,Q0=CF/(p-Cv-T)
S曲线与C曲线的交点横坐标就是盈亏平衡点(BEP)。交点左边为亏损区;右边为盈利区。交点对应的产量Q0称为盈亏平衡点产销量或保本产销量。Q0越小,亏损可能性越小,盈利机率越大。实际生产经营状况离盈亏平衡点越远,经营就越安全,抗风险能力越强。
【例4.1】 某厂设计年产量为30万件,每件售价10元,可变费用为6元,年固定成本为40万元,预计年销售收入为320万元,销售税为每件2元。试用产量表示盈亏平衡点。

(2)非线性盈亏平衡分析。当销售收入与销售量(产量)呈线性、成本费用与销售量(产量)呈非线性关系时,盈亏平衡分析称为非线性盈亏平衡分析。
假定:
销售量等于产量;固定成本不变和单位变动成本是产量的函数;销售单价是销售量的函数;多种产品可以换算为单一产品。
非线性盈亏平衡分析图,如图4.3所示。

图4.3 非线性盈亏平衡分析图
计算:
C=CF+f(Q)=PQ
求解则可得到盈亏平衡点。
2.多方案盈亏平衡分析
多方案盈亏平衡分析是盈亏平衡分析方法的延伸,它是将同时影响各方案经济效果指标的共有的不确定因素作为自变量,将各方案的经济效果指标作为因变量,建立各方案经济效果指标与不确定因素之间的函数关系。
由于各方案的经济效果函数的斜率不同,所以各函数曲线必然会发生交叉,即在不确定因素的不同取值区间内,各方案的经济效果指标高低的排序不同,由此来确定方案的取舍。
通过盈亏平衡分析,不仅能够预先估计项目对市场变化情况的适应能力,有助于了解项目可承受的风险程度,还可以对决策者确定项目的合理经济规模及项目工艺技术方案提供参考。
把盈亏平衡分析的方法用于不同方案的比较,其结果就不是不盈不亏的问题,而是哪一个方案优劣的问题。这里的优劣,是指达到相同质量、产量的前提下,哪一个方案更好。
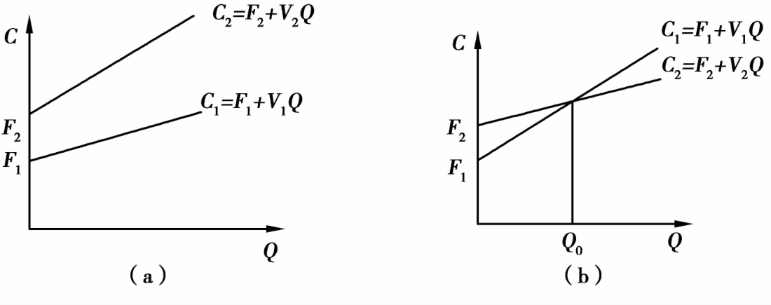
若两个方案中,F2>F1,V2>V1,则肯定第2种方案成本高,因此,肯定第1种方案较第2种方案好。
若F2>F1,V2<V1,则要具体讨论了。两种情况分别如图4.4所示。

图4.4 盈亏平衡分析
则
若以盈亏多少作为选择方案基准的话,当设计产量Q>Q0时,应选择方案2;当设计产量Q<Q0时,应选择方案1。
若是多个方案的盈亏平衡分析,要求每两个方案进行求解,分别求出两个方案的平衡点数量,然后再进行比较,选择其中最经济的方案。
【例4.2】 某施工队承接一挖土工程,可以采用两个施工方案:一个是人工挖土,单价为10元/m3;另一个是机械挖土,单价为8元/m3,但需机械的购置费20000元,试问这两个方案的适用情况如何?(要求绘图说明)
解 设两个方案共同应该完成的挖土工程量为Qm3,则人工挖土成本为:C1=10Q;机械挖土成本为:C2=8Q+20000。
令:C1=C2;得:Q=10000m3故当Q>10000m3时,采用机械挖土合算;当Q<10000m3时,采用人工挖土合算(见图4.5)。

图4.5
(二)敏感性分析
1.原理
(1)分析投资、成本、销售量、生产能力、价格、利率等数值发生变化时,项目评价指标(如净现值、内部收益率等)的变化,从中找出敏感因素,并确定影响程度,以便制订相应对策,防范和降低风险,确保项目达到预期目标。
(2)找出不确定性因素及最有利与最不利的变动,分析项目评价指标的变动范围,使决策者了解项目风险程度,采取有效措施或寻找替代方案,为最后确定有效可行的投资方案提供可靠的依据。
2.单因素敏感性分析
单因素敏感性分析的步骤:
(1)确定敏感性分析指标。确定对象,即评价指标。如净现值、内部收益率、投资回收期等,选择最能反映项目效益的综合性评价指标。
(2)选择不确定性因素。只选择对对象影响强烈并可能变动的因素,如投资、残值、经营成本、销售量、产品单价、基准收益率等。
(3)预测不确定性因素的变动范围或幅度。综合考虑项目所处的外部环境及内部状况,依据事物的发展规律,对不确定性因素的变动范围或幅度进行预测,以便于计算因素的敏感度。
(4)确定敏感性因素。敏感性分析借助敏感度(灵敏度)系数进行。用E表示。
E=(ΔA/A)/(ΔF/F)
式中 ΔF/F——不确定性因素F的变化率,%;
A/A——不确定性因素F变化率为ΔF/F时,评价指标A相应的变化率,%。
当E值较大时,不确定性因素称敏感因素;当E值较小时,不确定性因素称不敏感因素。敏感性分析重点是主要敏感因素,特别是不利因素临界点。
不确定性因素变动率有最大限度。超此限度,项目将由可行变为不可行。
(5)寻找敏感因素,进行风险分析。根据计算结果,找出敏感因素,即其数值的变动对评价指标影响显著的因素,并根据影响程度判断风险的大小。应选择不敏感,风险承受力大的项目或方案。
【例4.3】 某项目,销售税金及附加为销售额的10%。试分别就投资、产品售价、经营成本进行敏感性分析。(单位:万元,万台,iC=10%)

(1)选定项目的净现值(NPV)为评价指标
FNPV=-1200+[39×10(1-0.1)-140]×[1/1.1+1/1.12+1/1.13+1/1.14+1/1.15+1/1.16+1/1.17+1/1.18+1/1.19+1/1.110]+(30+50)/1.110=127.35>0
(2)选择不确定因素I,p,c并确定变动幅度
-20%、-10%、+10%、+20%
(3)计算相应变动的净现值
单因素变动对净现值的影响及敏感度见表4.7。
表4.7 单因素变动对净现值的影响及敏感度

确定敏感程度。可根据敏感度E的绝对值从大到小排列售价、投资、经营成本。也可画出敏感性分析图,根据斜率进行判定售价、投资、经营成本。
确定因素的变动范围,即临界值。
根据净现值计算式(令其等于0),可算出售价下降、投资增加或年经营成本增加的限度。FNPV=127.35+2156.7(Δp/p)令FNPV=0,即127.30+2156.7(Δp/p)=0
Δp/p=-5.90%
FNPV=127.35-860.24(Δc/c)令FNPV=0,即127.35-860.24(Δc/c)=0
Δc/c=14.80%
FNPV=127.35-1200(ΔI/I)=0ΔI/I=10.61%
这就是说,当售价下降超过5.90%或投资增加超过10.61%或年经营成本增加超过14.8%时,净现值将小于零,项目不可行。分别令:
FNPV=127.30+2156.7(Δp/p)
FNPV=127.35-860.24(Δc/c)
FNPV=1327.35-I=127.35-1200(ΔI/I)以Δp/p、Δc/c和ΔI/I为横坐标,FNPV为纵坐标,绘制图形4.6。

图4.6
3.多因素敏感性分析
多因素敏感性分析是指对影响因素之间具有相关性的敏感性分析方法。其分析方法有解析法和作图法两种。
【例4.4】 根据上例的数据,对产品价格和投资的同时变动进行敏感性分析。
解 x表示投资的变化率、y表示价格的变化率(见图4.7),则净现值
NPV=-1200(1+x)+[39×10(1-0.1)-140]×(P/A,10%,10)+50(P/F,10%,10)≥0
得到:y≥0.59x-0.04

图4.7
(三)风险分析
1.风险分析的定义
风险分析有狭义和广义两种,狭义的风险分析是指通过定量分析的方法给出完成任务所需的费用、进度、性能三个随机变量的可实现值的概率分布。而广义的风险分析则是一种识别和测算风险,开发、选择和管理方案来解决这些风险的有组织的手段。它包括风险识别、风险评估和风险管理三方面的内容。本文中论及风险分析时,都采用后一种定义。
风险识别是指确定那些可能导致费用超支、进度推迟或性能降低的潜在问题,并定性分析其后果。在这一步需做的工作是分析系统的技术薄弱环节及不确定性较大之处,得出系统的风险源,并将这些风险源组合成一格式文件供以后的分析参考。它属于定性分析的范围。风险评估是指对潜在问题可能导致的风险及其后果实行量化,并确定其严重程度。这其中可能牵涉多种模型的综合应用,最后得到系统风险的综合印象。而风险管理则是指在风险识别及风险分析的基础上采取各种措施来减小风险及对风险实施监控。这也可以说是风险分析的最终目的。
风险分析是对风险影响和后果进行评价和估量,包括定性分析和定量分析。其中,定性分析是评估已识别风险的影响和可能性的过程,按风险对项目目标可能的影响进行排序。其作用和目的为:识别具体风险和指导风险应对;根据各风险对项目目标的潜在影响对风险进行排序;通过比较风险值确定项目总体风险级别。定量分析是量化分析每一风险的概率及其对项目目标造成的后果,也分析项目总体风险的程度。其作用和目的为:测定实现某一特定项目目标的概率;通过量化各个风险对项目目标的影响程度,甄别出最需要关注的风险;识别现实的和可实现的成本、进度及范围目标。
2.风险分析的主要方法
(1)风险综合评价法。风险综合评价的方法中,最常用、最简单的分析方法是通过调查专家的意见,获得风险因素的权重和发生概率,进而获得项目的整体风险程度。其步骤主要包括:
建立风险调查表。在风险识别完成后,建立投资项目主要风险清单,将该投资项目可能遇到的所有重要风险全部列入表中。
判断风险权重。确定每个风险发生的概率。可以采用1~5标度,分别表示可能性很小、较小、中等、较大、很大这5种程度。计算每个风险因素的等级。最后将风险调查表中全部风险因素的等级相加,得出整个项目的综合风险等级。
(2)蒙特卡洛模拟。
①使用条件。当在项目评价中输入的随机变量个数多于3个,每个输入变量可能出现3个以上乃至无限多种状态时(如连续随机变量),就不能用理论计算法进行风险分析,这时就必须采用蒙特卡洛模拟技术。
②原理。用随机抽样的方法抽取一组输入变量的数值,并根据这组输入变量的数值计算项目评价指标,抽样计算足够多的次数可获得评价指标的概率分布,并计算出累计概率分布、期望值、方差、标准差,计算项目由可行转变为不可行的概率,从而估计项目投资所承担的风险。
③蒙特卡洛模拟的程序:
a.确定风险分析所采用的评价指标,如净现值、内部收益率等;
b.确定对项目评价指标有重要影响的输入变量;
c.经调查确定输入变量的概率分布;
d.为各输入变量独立抽取随机数;
e.由抽得的随机数转化为各输入变量的抽样值;
f.根据抽得的各输入随机变量的抽样值组成一组项目评价基础数据;
g.根据抽样值组成基础数据计算出评价指标值;
h.重复第四步到第七步,直至预定模拟次数;
i.整理模拟结果所得评价指标的期望值、方差、标准差和期望值的概率分布,绘制累计概率图;
j.计算项目由可行转变为不可行的概率。
④应用蒙特卡洛模拟法时应注意的问题:
a.在运用蒙特卡洛模拟法时,假设输入变量之间是相互独立的,在风险分析中会遇到输入变量的分解程度问题。
输入变量分解得越细,输入变量个数也就越多,模拟结果的可靠性也就越高。变量分解过细往往造成变量之间有相关性,就可能导致错误的结论。
b.蒙特卡洛法的模拟次数。
从理论上讲,模拟次数越多越正确,但实际上一般应在200~500次为宜。
(3)专家调查法。专家调查法是基于专家的知识、经验和直觉,发现项目潜在风险的分析方法。
适用范围:它适用于风险分析的全过程。
注意:采用专家调查法时,专家应有合理的规模,人数一般应在10~20位。专家的人数取决于项目的特点、规模、复杂程度和风险的性质,没有绝对规定。
专家调查法有很多,其中头脑风暴法、德尔菲法、风险识别调查表、风险对照检查表和风险评价表是最常用的几种方法。
风险识别调查表:主要用于定性描述风险的来源与类型、风险特征、对项目目标的影响等。
风险对照检查表:是一种规范化的定性风险分析工具,具有系统、全面、简单、快捷、高效等优点,容易集中专家的智慧和意见,不容易遗漏主要风险;对风险分析人员有启发思路、开拓思路的作用。
适用范围:
①当有丰富的经验和充分的专业技能时,项目风险识别相对简单,并可以取得良好的效果。
②对照检查表的设计和确定是建立在众多类似项目经验基础上的,需要大量类似项目的数据。而对于新的项目或完全不同环境下的项目,则难以适应。需要针对项目的类型和特点,制订专门的风险对照检查表。
风险评价表:通过专家凭借经验独立对各类风险因素的风险程度进行评价,最后将各位专家的意见归集起来。风险评价表通常重在说明。
注意:说明中应对程度判定的理由进行描述,并尽可能明确最悲观值(或最悲观情况)及其发生的可能性。
(四)投资决策
投资决策是企业所有决策中最为关键、最为重要的决策,因此我们常说:投资决策失误是企业最大的失误,一个重要的投资决策失误往往会使一个企业陷入困境,甚至破产。因此,财务管理的一项极为重要的职能就是为企业当好参谋把好投资决策关。
1.投资决策的定义
所谓投资决策是指投资者为了实现其预期的投资目标,运用一定的科学理论、方法和手段,通过一定的程序,对若干个可行性的投资方案进行研究论证,从中选出最满意的投资方案的过程。投资决策分为宏观投资决策、中观投资决策和微观投资决策三部分。
2.投资决策的一般方法
投资方案评价时使用的指标分为贴现指标和非贴现指标。贴现指标是指考虑了时间价值因素的指标,主要包括净现值、现值指数、内含报酬率等。非贴现指标是指没有考虑时间价值因素的指标,主要包括回收期、会计收益期等。相应地,将投资决策方法分为贴现的方法和非贴现的方法。
贴现的分析评价方法是指考虑货币时间价值的分析评价方法。主要有净现值法、现值指数法和内含报酬率法。
①净现值法。这种方法使用净现值作为评价方案优劣的指标。所谓净现值(NPV)是指特定方案未来现金流入的现值与未来现金流出的现值之间的差额。计算净现值NPV的公式为

式中 n——投资涉及的年限;
It——t年的现金流入量;
Ot——第t年的现金流出量;
K——预定的贴现率。
若净现值为正数,说明贴现后现金流入大于贴现后现金流出,该投资项目的报酬率大于预定的贴现率,项目是可行的;若净现值为负数,说明贴现后现金流入小于贴现后现金流出,该投资项目的报酬率小于预定的贴现率,项目是不可行的。
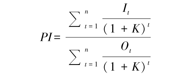
②现值指数法。这种方法使用现值指数作为评价方案的指标。所谓现值指数(PI)是指未来现金流入现值与现金流出现值的比率,亦称现值比率、获利指数、贴现后收益—成本比率等。其计算公式为

式中 n——投资涉及的年限;
It——t年的现金流入量;
Ot——第t年的现金流出量;
K——预定的贴现率。
若现值指数大于1,说明贴现后现金流入大于贴现后现金流出,该投资项目的报酬率大于预定的贴现率,项目是可行的;若现值指数小于1,说明贴现后现金流入小于贴现后现金流出,该投资项目的报酬率小于预定的贴现率,项目是不可行的。
③内含报酬率法。内含报酬率法是根据方案本身内含报酬率来评价方案优劣的一种方法。所谓内含报酬率(IRR),是指能够使未来现金流入量现值等于未来现金流出量的贴现率,或者说是使方案净现值为零的贴现率,又称为内部收益率。
若内含报酬率大于企业所要求的最低报酬率(即净现值中所使用的贴现率),就接受该投资项目;若内含报酬率小于企业所要求的最低报酬率,就放弃该项目。实际上内含报酬率大于贴现率时接受一个项目,也就是接受了一个净现值为正的项目。
净现值法和现值指数法虽然考虑了货币时间价值,可以说明方案高于或低于某一特定的标准,但没有揭示方案本身可以达到的真实的报酬率是多少。内含报酬率法是根据方案的现金流量计算出的,是方案本身的真实投资报酬率。
内含报酬率法的计算,通常需要使用“逐步测试法”,计算比较烦琐。不过在Excel中提供了计算内含报酬率法的函数,使计算变得很简单。
3.企业投资决策的程序
(1)确定投资目标。确定企业投资目标是投资决策的前提。正确确定投资目标必须要做到:
①有正确的指导思想:要在指导思想上明确为什么投资,最需要投资的环节、自身的条件与资源状况、市场环境的状况等。
②有全局观念:要考虑把眼前利益与长远利益结合起来,避免“短期与近视”可能带来的影响企业全局和长远发展的不利情况。
③有科学的态度:科学的投资决策是保证投资有效性的前提。要实事求是,注重对数据资料的分析和运用,不能靠拍脑袋来决定事关重大的投资决策方案。
(2)选择投资方向。在明确投资目标后,就可以进一步拟定具体的投资方向。这一步也很重要,事关企业今后在哪里发展的问题。
(3)制订投资方案。在决定投资方向之后,就要着手制订具体的投资方案,并对方案进行可行性论证。一般情况下,可行性决策方案是要求在两个以上,因为这样可以对不同的方案进行比较分析,对方案的选择是有利的。
(4)评价投资方案。这一步主要是对投资风险与回报进行评价分析,由此来断定投资决策方案的可靠性如何。企业一定要把风险控制在它能够承受的范围之内,不能有投机或侥幸的心理,一旦企业所面临的风险超过其承受的能力,将会铸成大错,导致企业的破产。
(5)投资项目选择。狭义的投资决策就是指决定投资项目这个环节。选择的投资项目必须是由相应一级的人来承担责任。把责任落实到具体的人,这样便于投资项目的进行。
(6)反馈调整决策方案和投资后的评价。投资方案确定之后,还必须要根据环境和需要的不断变化,对原先的决策进行适时地调整,从而使投资决策更科学合理。
【案例与思考】
万相VCD制造厂是生产VCD的中型企业,该厂生产的VCD质量优良,价格合理,长期以来供不应求。为扩大生产能力,厂家准备新建一条生产线。负责这项投资工作的总会计师经过调查研究后,得到如下有关资料。
(1)该生产线的原始投资额为12.5万元,分两年投入。第一年初投入10万元,第二年初投入2.5万元,第二年末项目完工可正式投产使用。投产后每年可生产VCD1000台,每台销售价格为300元,每年可获销售收入30万元,投资项目可使用5年,残值2.5万元,垫支流动资金2.5万元,这笔资金在项目结束时可全部收回。
(2)该项目生产的产品总成本的构成如下:
材料费用20万元,制造费用2万元
人工费用20万元,折旧费用2万元
总会计师通过对各种资金来源进行分析,得出该厂加权平均的资金成本成为10%。
同时还计算出该项目的营业现金流量、现金流量、净现值等,并根据其计算的净现值,确定该项目可行。
(3)厂部中层干部意见。
经营副总认为:在项目投资和使用期间,通货膨胀率大约在10%左右,将对投资项目各有关方面产生影响;
基建处长认为:由于受物价变动的影响,初始投资将增长10%,投资项目终结后,设备残值也将增加到37500元;
生产处长认为:由于物价变动的影响,材料费用每年将增加14%,人工费用也将增加10%;
财务处长认为:扣除折价后的制造费用,每年将增加4%,折旧费用每年仍为20000元;
销售处长认为:产品销售价格预计每年可增加10%。
【思考与讨论】
(1)分析,确定影响万相VCD投资项目决策的各因素。
(2)根据影响万相VCD投资项目的各因素,重新计算投资项目的现金流量、净现值等。
(3)根据分析,计算结果,确定万相VCD项目投资决策。