§9.3 点、直线、平面的正投影
任何复杂的形体都可以看成是由点、线和面所组成的。因此,研究点、线和面的投影特性对正确绘制和阅读物体的投影图十分重要。
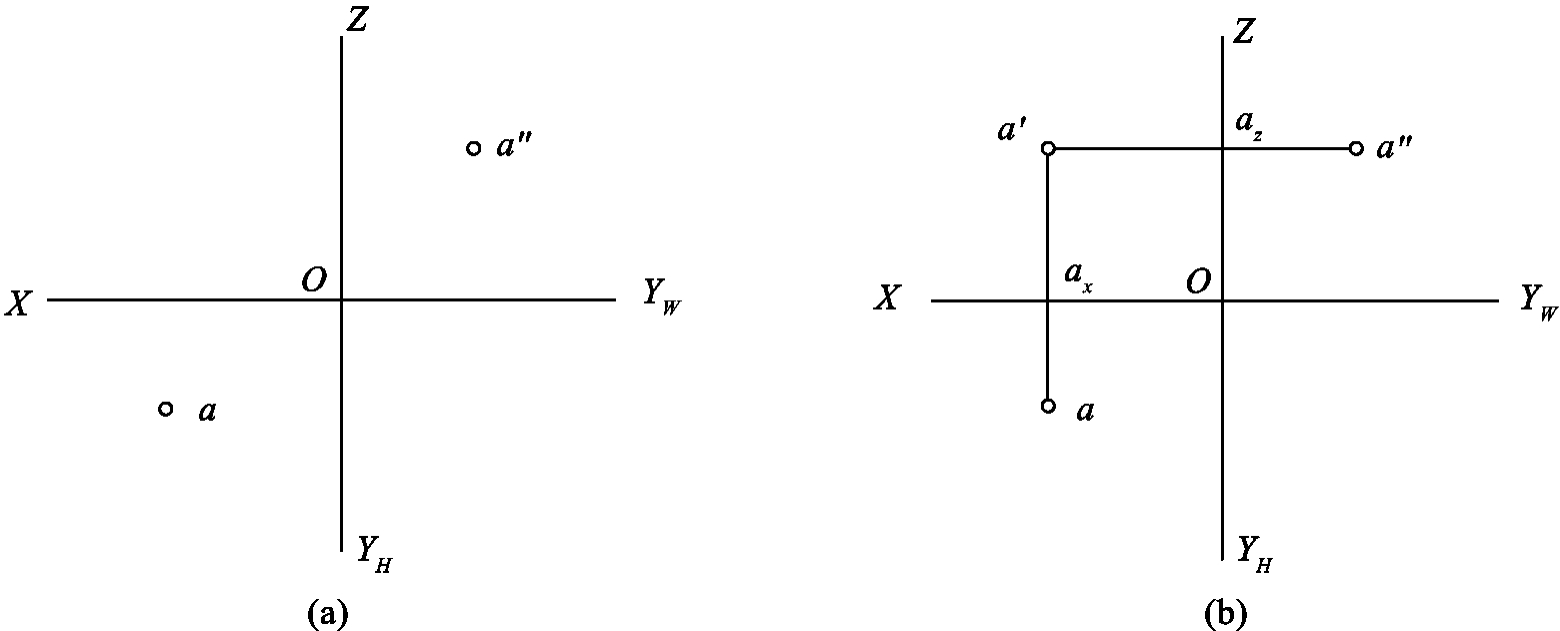
9.3.1 点的正投影
1.一般位置点的三面正投影图
点的正投影的作用是确定点的空间位置。
我们设立一个相互垂直的投影面如图9-6(a)所示,为作出空间点A在三面投影面上的投影分别为a'、a、a″。即为A点的三个投影。a'表示正立面投影,a表示水平面投影,a″表示侧立面投影。a与a'连线垂直于OX轴,与OX轴交于ax点;a'与a″连线垂直于OZ轴,与OZ轴交于az点;a″与a连线垂直于OY轴,与OY轴交于ay点。将投影体系展开即得A点的三面投影图,如图9-6(b)、(c)所示。

图9-6 点三面正投影的形成
按照三面投影图形成的原理,在三面投影图中,从O点向右下方画出一条45°斜线,可以起到联系水平面投影和侧面投影的作用。已知点的任意两面投影,可以求出其第三面投影。
例9-1 如图9-7所示,已知点A的水平投影a和侧面投影a″,试求其正面投影a'。
分析:由点的投影特性可知,点的正面投影与侧面投影的连线垂直于OZ轴,点的正面投影与水平投影的连线垂直于OX轴,故过a作OX轴的垂线与过a″作OZ轴的垂线的交点,即为点A的正面投影a'。
作图步骤:如图9-7(b)所示。
(1)过a作OX轴的垂线交OX于ax(a'必在aax的延长线上);
(2)过a″作OZ轴的垂线交OZ于az(a'必在aaz的延长线上),延长a″az与aax的延长线相交,即得点A的正面投影a'。
2.点的正投影图与直角坐标系
点的三面投影表明了点与各投影面的距离,从而也确定了点的空间位置。如果把三个投影面视为三个坐标面,那么OX、OY、OZ即为三个坐标轴,这样点到投影面的距离就可以用三个坐标值x、y、z来表示。反过来,若已知点在空间中的三个坐标值x、y、z,也一样可以求出该点的三面投影图,如图9-8所示。
A点到W面的距离(Aa″)=A点的x坐标(Oax);

图9-7 求点的正面投影
A点到V面的距离(Aa')=A点的x坐标(Oay);
A点到H面的距离(Aa)=A点的x坐标(Oaz)。

图9-8 点的投影与直角坐标的关系
例9-2 如图9-9所示,已知点A的坐标为(20,10,15),试求A点的三面投影。
分析:从A点的三个坐标可知,点A到W面的距离为20,点A到V面的距离为10,点A到H面的距离为15。根据点的投影规律和点的投影与直角坐标的关系,即可求得点A的三个投影。
作图步骤:如图9-9所示。
(1)作出投影轴,并标出相应符合名称;
(2)自原点O沿OX轴向左量取x=20,得出ax;
(3)过ax作OX轴的垂线,沿该垂线在OY轴方向上量取10,得出点A的水平投影a,由ax向OZ轴方向量取15,即得A点的正面投影a'。
(4)过a'作OZ轴的垂线交OZ轴于az,根据点的三面投影规律,得出点A的W面投影a″。

图9-9 已知点的坐标求其三面的投影
3.特殊位置点的三面正投影图
(1)点在投影面上。
点在投影面上时,点的一个投影就在原处,另外两个投影必在轴上。如图9-10所示,A点在V面上,a'在A点原处,a和a″则分别在OX轴、OZ轴上。

图9-10 投影面上的点
(2)点在投影轴上。
轴上的点必有两个投影在同一轴上,另一个投影在O点。如图9-11所示,B点在OY轴上,b和b″都在OY轴上,b'在O点。若有一个点在O点,则该点的三个投影将都在O点。
4.点的相对位置
空间点的相对位置,可以在三面投影中直接反映出来。如图9-12所示,三棱柱的A、B两点在V面上反映两点的上下、左右关系,H面上反映两点的左右、前后关系,W面上反映两点的上下、前后关系。
5.重影点
如果两点的某两个坐标相同,那么这两点就位于某一投影面的同一投射线上。这两点在该投影面上的投影就重合为一点,这两点称为该投影面的重影点。如图9-12所示,A、C两点为H面的重影点,即水平重影点。被遮挡的投影点用括号表示。如A、C的水平重影点用a(c)表示。

图9-11 投影轴上的点

图9-12 两点相对位置及重影点
9.3.2 直线的投影
1.直线的投影特征
由初等几何可知,两点确定一条直线。所以要确定直线AB的空间位置,只要确定出A、B两点的空间位置,连接起来即可确定该直线的空间位置,如图9-13所示。因此,在作直线AB的投影时,只要分别作出A、B两点的三面投影a、a'、a″和b、b'、b″,再分别把两点在同一投影面上的投影连接起来,即得直线AB的三面投影ab、a'b'、a″b″。
由此可见,直线的投影在一般情况下仍为直线,在特殊情况下可以积聚成一点。
2.各种位置直线投影
(1)一般位置直线。
对各投影面均处于倾斜位置的直线称为一般位置直线。这类直线根据其上任意两点的相互位置关系可以分为两种:
①上行直线。直线上的两点近观察者的一点低于另一点时为上行直线。其投影特征是正面投影与水平投影同向,侧面投影向左倾斜,如图9-14(a)所示。

图9-13 直线的正投影
②下行直线。直线上的两点近观察者的一点高于另一点时为下行直线。其投影特征是正面投影与水平投影反向,侧面投影向右倾斜,如图9-14(b)所示。

图9-14 一般直线的类型
由图可知,由于直线与各投影面都处于倾斜位置,与各投影面都有倾角,因此,线段的投影长度均短于实长。直线AB的各个投影与投影轴的夹角不能反映直线对各投影面的倾角。由此可见,一般位置直线具有下列投影特性。
1)直线的三个投影都为直线且均小于实长。
2)直线的三个投影均倾斜于投影轴,任何投影与投影轴的夹角都不能反映空间直线与投影面的倾角。
③一般位置直线求实长。
一般位置线段的正投影均短于线段的实长。如图9-15(a)所示,以线段在某一投影面上的投影为一直角边,以线段两端点到该投影面的距离差(即坐标差)为另一直角边,所构成直角三角形的斜边即为空间线段的实长。在正投影图求作中,就是利用线段的投影、及线段端点的坐标差,共同构筑直角三角形的方法来求作。
例9-3 如图9-15所示,已知AB线段的正面投影a'b'与水平投影ab,试求AB线段的实长。

图9-15 由直线投影求线段的实长及其对投影面的倾角
分析:在投影图中,AB的水平投影ab已知,A、B两点到H面的距离差可以由其正面投影求得,由此即可构筑出直角△abA0,直角三角形的直角边bA0就是线段AB的实长。
作图方法一:
(1)求A、B两点到H面距离之差:过点a'作OX轴的平行线与直线bb'交于点b'1,则直线b'b'1的长等于A、B两点到H面的距离差;
(2)以ab为直角边,截取b'b'1为另一直角边,作直角三角形:过点b作ab的垂线,在该垂线上截取bB0=b'b'1,连接aB0,则aB0=AB的实长。
作图方法二:
(1)过点a'作OX轴的平行线与直线bb'交于点b'1,直线b'b'1的长为A、B两点到H面的距离差;
(2)在a'b'1的延长线上截取b'1A0=ab=n,则直角三角形的两条直角边已完成,最后连接b'A0,则b'A0=AB的实长。
④一般位置直线对投影面的倾角。
当用构筑直角三角形的方法求线段的实长时,可以同时得到线段对投影面的倾角。需要注意的是,求对某个投影面的倾角时,需要以在该投影面上的投影作为直角三角形的一直角边,该直角边与斜边之间的夹角就是直线对该投影面的倾角。
直线与水平投影面的夹角,称为水平倾角,用字母α表示;
直线与正投影面的夹角,称为正面倾角,用字母β表示;
直线与侧投影面的夹角,称为侧面倾角,用字母γ表示。
例9-4 如图9-16所示,已知AB线段的正面投影a'b'与水平投影ab,试求直线对V面的倾角β及AB线段的实长。

图9-16 求一般位置直线对V面的倾角和线段的实长
分析:因为题目中要求直线对V面的倾角,因此要以直线AB在V面的投影a'b'作为直角三角形的一直角边;在投影图中,AB的正面投影a'b'已知,B、A两点到V面的距离差可以通过其水平投影得出,则直角三角形可以构筑完成;那么a'b'与直角三角形斜边的夹角就是所求倾角β,直角三角形斜边即为线段AB的实长。
作图步骤:
(1)求B、A两点到V面的距离差:过点a作OX轴的平行线交直线bb'于点b1,则直线bb1的长等于A、B两点到V面的距离差;
(2)以a'b'为一直角边,另一直角边截取线段等于bb1,构筑出直角三角形B0b'a',则a'b'与三角形斜边B0a'的夹角,即为直线AB对V面的倾角β,直线a'B0的长度为直线AB的实长。
⑤直线上的点的投影特性。
根据正投影的从属特性可知,一个点如果在直线上,则点的三面投影必定分别在该直线的同面投影上,并符合点的投影规律。如图9-17所示,直线AB上的点C,其投影c、c'、c″分别位于直线ab、a'b'和a″b″上,且直线cc'和c'c″分别垂直于相应的投影轴。
由正投影的定比性可知,点分线段之比,投影后该比例保持不变。直线AB上的一点C把直线分为两段AC、CB,则这两段线段之比等于其投影之比。因此,这两段投影之比也相等,即ac∶cb=a'c'∶c'b'=a″c″∶c″b″=AC∶CB
例9-5 如图9-18所示,在直线AB上找一点K,使AK∶KB=3∶2
分析:由上述投影特性可知,若AK∶KB=3∶2,则ak∶kb=a'k'∶k'b'=3∶2。因此只要用平面几何作图的方法,把AB的投影ab或a'b'分为3∶2,即可求得K点的投影。

图9-17 直线上的点

图9-18 点分线段的定比性
作图步骤:
(1)过a点任作一直线,并从点a起在该直线上任取五等份,得1、2、3、4、5五个分点。
(2)连接b、5两点,再过分点3作b5的平行线,与ab相交,即得出K点的水平投影k。
(3)过k做投影轴OX轴的垂线,与a'b'相交,得K点的正面投影k'。则
ak∶kb=a'k'∶k'b'=AK∶KB=3∶2。
例9-6 如图9-19所示,判定图中所示M点,是否在侧平线AB上。
分析:由直线上点的投影特性可知,如果M点在直线AB上,则am∶mb=a'm'∶m'b'=a″m″∶m″b″。判定有两种方法,其一可以用这一定比关系来确定M点是否在直线AB上,如果比例关系成立,则M在直线AB上,反之则不在;其二是通过作出直线AB和M点的W面投影,如果符合点在直线上的三面规律,则M点在直线AB上,反之M点则不在直线AB上。
判定方法一:
(1)在水平投影上过点b任作一直线,取ba1=b'a'、bm1=b'm',如图9-19(b)所示。
(2)连接点a1、a,过点m1作a1a的平行线,该平行线与ab的交点不是点m,这说明am∶mb≠a'm'∶m'b'。由此可以判定点K不在直线AB上,而是与直线AB同位于一个侧平面内的点。
判定方法二:
分别求出点M和直线AB的侧面投影m″和a″b″,如图9-19(c)所示,可以看出点m″不在直线a″b″上,不符合点在直线上的投影规律,由此也可以判定点M不在直线AB上。

图9-19 点是否在直线上的判定
⑥直线的迹点。
一般位置线段延长,必定与投影面相交,该交点称为迹点。迹点是直线上的特殊点,迹点既在直线上,也在投影面上。当一般位置直线与V面相交时,得到的迹点称为正面迹点;与H面相交时,得到的迹点称为水平面迹点;与W面相交时,得到的迹点称为侧面迹点。迹点可以由线段的投影图求得。
如图9-20所示,延长直线AB与H面相交,得水平迹点M;与V面相交,得正面迹点N。因为迹点是直线和投影面的共同点,所以迹点投影具有两重性:由于迹点是投影面上的点,根据特殊点的投影特征可知,迹点在该投影面上的投影必与该点本身重合,而另一个投影必落在投影轴上;作为直线上的点,则该点各个投影必落在该直线的同面投影上。
由此可知,正面迹点N的正面投影n'与迹点本身重合,而且落在直线AB的正面投影a'b'上;其水平投影n则是直线AB的水平投影ab与OX轴的交点。同样,水平迹点M的水平投影m与迹点本身重合,而且落在直线AB的水平投影ab上;其正面投影m',则是直线AB的正面投影a'b'与OX轴的交点。
在两面投影图中,根据直线的投影求其迹点的作图方法:
为求直线的水平迹点,应延长直线的正面投影与OX轴线相交,再通过所得到的交点作垂线,与直线的水平投影相交,此时所得到的交点即为水平迹点。

图9-20 直线迹点的概念
为求直线的正面迹点,应延长直线的水平投影与OX轴线相交,再通过所得到的交点作垂线,与直线的正面投影相交,此时所得到的交点即为正面迹点。
例9-7 如图9-21所示,试求作直线AB的水平迹点和正面迹点。

图9-21 求作直线AB的水平迹点和正面迹点
作图步骤:
延长a'b'与OX轴相交,得到水平迹点的正面投影m',再过点m'作OX轴的垂线与ab相交,得到水平迹点的H面投影m,该点即为所求的水平迹点M。
延长ab与OX轴相交,得到正面迹点的正水平面投影n,再过点n作OX轴的垂线与a'b'相交,得到正面迹点的V面投影n',该点即为所求的正面迹点N。
(2)特殊位置直线。
特殊位置直线即为平行或垂直于某投影面的直线,可以分为两类。
①平行线。平行于任一投影面的直线为平行线,按直线平行于V、H、W面,分别称为正平线、水平线、侧平线。平行线投影的特征:在所平行的投影面上的投影反映其实长,同时该投影与两轴的夹角就是直线与另外两投影面的倾角;其他两个投影都小于其实长,并且平行相应的投影轴,如表9-1所示。
表9-1 投影面平行线的投影特性

②垂直线。同时平行于两投影面的直线必定垂直于第三投影面,该直线称为该投影面的垂直线。按直线垂直于V、H、W面,分别称为正垂线、铅垂线、侧垂线。垂直线投影的特征:垂直线在所垂直的投影面上的投影积聚为一个点;在其他两投影面上的投影反映其实长,且都平行于相应的投影轴,如表9-2所示。
表9-2 投影面垂直线的投影特性

3.两直线的相对位置
两直线在空间所处的位置可以分为三种,即平行、相交和交错。下面分别讨论两直线处于不同位置的投影特征。
(1)两直线平行。
根据正投影的平行性可知,两直线在空间中相互平行,则这两直线的同面投影也相互平行。因此平行的两直线在三个投影面的投影都分别相互平行,而且各投影面上两线段投影长度之间的比例也相同,如图9-22所示。
对于一般位置两直线,仅根据两直线的水平投影及正面投影相互平行,就可以判定两直线在空间中也相互平行。但是对于特殊位置直线,如侧平线,仅看其正面投影、水平投影相互平行,还不能断定两直线是否平行。如图9-23(a)所示,已知两条侧平线AB和CD,这两直线的正面投影与水平投影皆相互平行,但两直线的侧面投影并不平行,所以AB、CD两直线也不平行。
如果两侧平线的正面投影与水平投影的字母顺序相同,而且两直线的投影长度比例也相同,那么不看侧面投影也能判定这两直线是否平行,如图9-23(b)所示;反之,则为不平行。

图9-22 两直线平行投影

图9-23 两侧平线是否为平行线的判定
垂直于同一投影面的两直线是两平行线的特例,两直线在所垂直的投影面上的投影积聚为两点,两点间的距离即为两平行线在空间中的实际距离。
(2)两直线相交。
两直线相交必有一个公共交点。因为该交点为两直线共有的点,所以相交的两直线的投影也必然有一个交点,且交点的投影必符合空间一点的投影特性。由于交点将两线段各分成一定的比例,因此两线段投影也将被交点的投影分成相同的比例,如图9-24所示。
和平行的两直线一样,对于一般位置的两直线,只要根据水平投影及正面投影的相对位置,即两面投影的交点是否符合一个点的投影规律,就可以判断两直线在空间中是否相交。但是,如果其中有一条直线是侧平线,仅从V面、H面的两直线投影是不易判断交点的投影是否符合一个点的投影规律的,如图9-25(a)所示。判定方法一是绘制出W面投影来验证;判定方法二,若只看V面、H面的投影,可以用等比特性来判定两直线是否相交,即两直线在V面、H面投影面上的交点若将直线分为相同比例的线段,则两直线相交,反之,则不相交,如图9-25(b)所示。

图9-24 两直线相交投影图

图9-25 两直线中有一侧平线时两直线是否相交的投影判定
(3)两直线交错。
如图9-26(a)所示,空间既不平行也不相交的两直线,就是交错的两直线,因此,交错两直线的投影,既不符合两直线平行,又不符合两直线相交的投影。在两面投影中,两交错直线的同面投影,也可能相交。交错两直线投影的交点是空间中两个点的投影,这两个点分属于两条直线,且又位于同一条投射线上,是两个点共同的投影,即重影点。要判定一般位置的两直线是相交还是交错,关键是要判断两直线的同面投影交点的连线是否垂直OX轴。若垂直就表示相交,若不垂直就表示不相交。
造成重影的两个点的相对位置,可以由线段在其他投影面的投影判别。如图9-26(b)所示,H面上交错两直线AB、CD的水平投影分别为ab、cd,两直线交于点1(2),该交点就是重影点。由H面向上作OX轴的垂线,与a'b'、c'd'的交点分别为1'、2',这就是AB线上的Ⅰ点和CD线上的Ⅱ点的正面投影。由于1'在2'的上方,因此可以判定Ⅰ点在Ⅱ点的上面,在H面上是水平重影点,因此按照重影点的表示方法,用括号表明可见与不可见的关系。同样,在V面上,a'b'与c'd'的交点3'(4')是正面重影点,即CD线上Ⅲ点和AB线上Ⅳ点的正面投影。从H面投影可以看出,Ⅲ点在前,Ⅳ点在后,Ⅲ点遮挡Ⅳ点,同样把被遮挡的点用括号表示。

图9-26 两交错直线投影特性
4.两直线互成直角的投影特点
一般来说,要使两相交直线或交错直线之间的夹角不变形地投射在某一投影面上,必须使这个角的两边都平行于该投影面。但是,对于直角,只要有一边平行于某一投影面,则这个直角在该投影面上的投影反映直角。
如图9-27所示,设空间直角△ABC的一边AB平行于H面,而另一边BC倾斜于H面。因为AB既垂直于BC,又垂直于Bb,所以直线AB垂直于铅垂面BCcb。又已知直线AB和自身的投影ab是互相平行的,所以ab也同样垂直于铅垂面BCcb。由此得出ab垂直bc,即∠abc=90°,即∠ABC在H面的投影反映直角。
由此可以看出:两条直线相互垂直,如果其中有一条是水平线,那么两直线的水平投影必相互垂直;同理,两条直线相互垂直,如果其中有一条是正平线(或侧平线),那么两直线的正面投影(或侧面投影)必相互垂直。结论:垂直相交的两直线,若其中一直线平行于某一投影面,则两直线在该投影面上的投影反映直角关系。
上述结论既适用于互相垂直相交的两直线,也适用于互相垂直交错的两直线。同时,上述命题的逆命题也成立。
如图9-28所示,两相交直线AB和BC,以及两交错直线EF和MN,由于AB与BC的水平投影相互垂直,并且其中AB为水平线,所以根据垂直投影特征判定两直线在空间中也是相互垂直的;由于EF与MN在正立面投影相互垂直,并且EF为正平线,所以根据垂直投影特性判定两直线在空间中是相互垂直的。
直角投影定理常被用来在投影图上解决有关距离问题。

图9-27 一边平行于投影面的直角的投影

图9-28 判别两直线是否相互垂直
例9-8 如图9-29所示,试求点C到直线AB的距离。
分析:求点到直线的距离,即从点向直线作垂线,求垂足。从直线AB的投影可以看出,AB是一条正平线,从C点向AB作垂线,只有保证其正面投影相互垂直,才能保证过C点的直线在空间中与直线AB垂直。

图9-29 求点到直线的距离
作图步骤:
(1)过点c'作直线a'b'的垂线得点d';
(2)根据直线上的点,求出D点的水平投影d;
(3)连接cd、c'd',CD即为点到直线距离的两面投影;
(4)由于线段CD是一般位置直线,因此还需要用一般位置直线求实长的方法求出线段CD的实长。
9.3.3 平面的投影
1.三点表示法
不在同一条直线上的三个点构成一个平面。若已知平面内任意三个点的三面投影,也就知道了该平面的投影。由于已知一个点的两面投影,可以求出点的第三面投影,因此,已知一个面的两个投影,可以求出该面的第三个投影,如图9-30所示。
另外,还可以用直线和直线外一点表示一个平面,或两相交直线、两平行直线都可以表示一个平面。

图9-30 平面的三面投影
2.迹线表示法
将一般位置平面扩大,平面与投影面将相交,其交线称为迹线。平面与V面、H面、W面的交线称为正面迹线、水平迹线、侧面迹线。若P平面与V面、H面、W面相交,相交的迹线可以用PV、PH、PW表示,如图9-31所示。

图9-31 平面的迹线表示法
一般位置平面投影:
对三个投影面都倾斜的平面为一般位置平面。一般位置平面也有上行平面和下行平面之分。
上行平面,该平面随着离开观察者而逐渐上升。其投影特点是:平面各点的正面投影与水平投影的符号顺序同向(同时为顺时针方向或为逆时针方向);
下行平面,该平面随着离开观察者而逐渐下降。其投影特点是:平面各点的正面投影与水平投影的符号顺序反向,如图9-32所示。

图9-32 上行平面与下行平面
特殊位置平面投影:
对一个投影面平行或者垂直的平面称为特殊位置平面。
①投影面平行面。平行于V面的平面称为正平面;平行于H面的平面称为水平面;平行于W面的平面称为侧平面。投影面平行面在所平行的投影面上的投影反映其实形,而在所垂直的投影面上的投影均积聚为一条直线,如表9-3所示。
②投影面垂直面。垂直于V面的平面称为正垂面;垂直于H面的平面称为铅垂面;垂直于W面的平面称为侧垂面。垂直面在所垂直的投影面上的投影积聚为一条直线,该直线与投影轴的夹角为垂直面对另外二投影面的倾角。垂直面在另外二投影面上的投影都小于该垂直面,是原平面的类似形,如表9-4所示。
表9-3 投影面平行面的投影特性

续表

表9-4 投影面垂直面的投影特性
