第三节 天体等高法
第一目 一恒星等高法
恒星在子午圈之两侧,必有两个相等高度的位置,且此两位置必与子午圈对称。设恒星位于子午圈东越过某一高度时读取计时表上之恒星时S1,至该恒星行至子午圈之西,又达相等高度时再读取恒星时S2,于是S1及S2之平均数将等于恒星经过子午圈时之时表读数,而恒星经过子午圈时,恒星时即为该星之赤经α,故计时表表差等于:

设时表所记者为标准时,当按第六章第三节所述之方法,先将恒星之赤经(即地方恒星时)换算为地方平时,再化成标准时T,于是得表差:

T1及T2为时钟上读出之两读数。
用此方法时不必知观测地之纬度,且因不必量测高度角,故仪器之刻度误差、垂直轴误差以及蒙气差误差对于结果均无影响,为此法之优点。其缺点为两次观测中间之时间过长极不便利。且其间天气可能发生变化,时表日差之变化亦将影响成果,故实际应用较少。如用等高原理观测时,率用两个恒星等高法,详见本节第三目。
第二目 太阳等高法
由太阳在子午圈东西达相等高度时之时刻,算求其经过子午圈时之时刻,不若恒星之简单。因太阳赤纬变化较快,当太阳赤纬向北增加时,午后达到与午前等高之时刻较迟,赤纬减少则反是。故在子午圈东西观测太阳达等高度之时刻,两者相加折半后,并非太阳正位于子午圈上之时刻,必须改正。但此法有其优点,盖因不必量测高度角,所用仪器不必十分精密。最好望远镜内有多条横丝,俾可增加观测次数,以增加结果之精度。至各横丝间之距离则不必确知,以其对于计算时刻并无关系也。
观测时太阳之位置应尽可能在卯酉圈附近,或距子午圈甚远,因此时太阳高度变化最快,记取时刻可较精密。图12-2代表太阳在上下午等高时情形。P为北极,Z为天顶,ZM为子午圈,A为太阳在子午圈东(即上午)达到此高度之位置,设其时角为-t。若太阳赤纬无变化,则在下午等高时太阳将位在B点,其时角将为+t。但实际太阳赤纬随时均在变化。如太阳自上午A点移至下午等高时其赤纬自δ变至δ+Δδ。必俟太阳位在C点时方得与上午相等之高度,C点之时角为t+Δt。时角变化Δt与赤纬变化Δδ之微分关系可由定位三角形之一般公式(3)微分得之。设h为常数,即得

设Δδ以弧秒为单位,Δt以时秒为单位,则


图12-2 太阳等高法
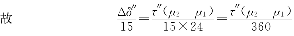
皍命上下午太阳等高时之时表读数分别为μ1及μ2,太阳赤纬每日24小时之变化可以在天文年历内查出,命为τ″,于是
Δδ″:τ″=(μ2-μ4)时:24时

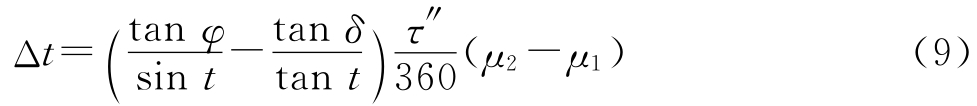
其中(μ2-μ1)以小时为单位。代入式(8),得

式内时角t之概值为:

今如将下午之观测归化至相当于上午观测时之太阳赤纬(δ),须于μ2内减去Δt数值,由是可得归化后之两个对称时刻:(1)上午为μ1;(2)下午为μ2-Δt。
而太阳中天之时表时刻为:



名为日中改正数,兹以m表示之。由是得太阳中天之时表时刻:)

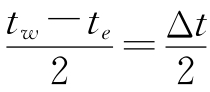
上下午观测相隔至少数小时,其间蒙气差必有变化,因而影响等高。故较精密观测必须记录气温与气压,以便计算高度之变化。在仪器上如有较精密之水准管,亦应在每次观测时读气泡两端之分划,以验上下午间望远镜所指高度之变化。以上两项高度变化之和设为Δh,对时角之影响为Δt,则由第十一章式(2)知:
cos h dh=-cosφcos δsin tdt

将式(13)右方除以15化为时秒单位,即可照式(10)改正中天时之时刻。
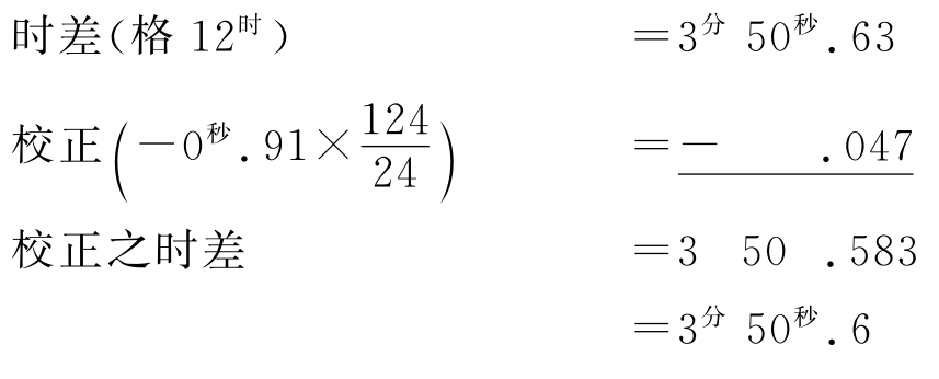
太阳中天时视地方时为12时,减时差化为平时,与由公式(11)所得中天之时表时刻相较,即为表差。兹举例说明之。
例 1906年5月15日,在某地φ=54°22′20″,λ=1时07分14秒.5东作太阳等高观测,当太阳上下两缘经过望远镜内三条横丝时读取计时表上之平太阳时。
1.观测记录:

平均数 23时45分31秒.06时27分

自天文年历内查得
1906年5月15日 δ=+18° 42′ 43″.6
16日 δ=+18 56 46.7
太阳之赤纬δ在一天内之变化为14′3″.1,故τ″=843″.1
2.计算:
(1)时差之计算:

(2)m之计算(应用公式(12)):
-logτ=2.925 88(n)+logτ=2.925 88
log(1:720)=7.142 67log(1:720)=7.142 67
log(μ2-μ1)=0.809 56log(μ2-μ1)=0.809 56
log tanφ=0.144 60log tan δ=9.535 74

(3)表差之计算:

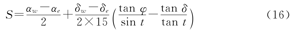
第三目 两星等高法
应用同一恒星等高法定时,计算虽甚简单,但东西两次观测相隔时间甚久,其间仪器及蒙气差都可能有小变动,故结果不易精密。是以应用恒星等高法时,多观测东西两个恒星达到相等高度之时刻。此两恒星之赤纬必须相差甚少,赤经须差6—8时,俾达到等高时两星之位置与子午圈大概对称。
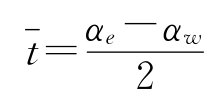
图12-3东南西北圈表示地平,Z为天顶,P为北极,E为东方恒星,W为西方恒星。HEW为等高圈。设te与tw为东西两星达到此等高圈时之时角;Se与Sw为达到等高圈之地方恒星时;则

平均上两数,得


图12-3 两星等高法
由此式可知恒星时等于两星赤经之平均数,加以时角差折半之改正。此项改正
系由于东西星赤纬差δw-δe=Δδ之故,其间关系已列于第二目式(8),将式(8)代入式(15)即得

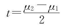
式内δ可用δe及δn之平均数。t可用tw及te之平均数。由式(14)得

选星时须先知拟观测时之地方恒星时,加或减3-4小时,即得可能观测东西两恒星之大概赤经。在此赤经范围内,由天文年历选出东西各一星,其赤纬须小于观测者之纬度,二星赤纬相差须甚少(最好在2°以内)。由式(17)如命

则此时角
为两星同时达到等高圈之平均时角。又由式(16)可计算两星达到等高时之地方恒星时,亦即应举行观测之时刻。此时两星之高度可用下法求之:
命sin δe=nesin Ne(18)
cos δecos te=necos Ne(19)
ne,Ne为两个辅助未知数。由上两式可解出ne及Ne:


将式(18)、(19)代入第七章之式(13),即定位三角形之一般公式,得
sin h=necos(Ne-φ)(22)
将(21)代入(22),化为

h为两星等高时恒星之高度,系由东方恒星之赤经αe及赤纬δe用式(16)、(20)及(23)所计算者。同理亦可由西方恒星之赤经αw及赤纬δw计算,所得高度应相同。
其次再求两星等高时之方位角。Ae与Aw可用第七章之式(15)求之,即
实际观测自不能在两星等高之时刻同时观测两星,故望远镜之高度角不应正放在由式(23)所求出之h值,而应稍高或稍低。稍高时则西方之星先到达此高度,稍低时则东方之星先达到此高度,如此可决定观测之次序。实际观测之高度不必与计算之h相差太多,只要能使两星达到此高度之间隔在数分钟左右即可。
计算时先用式(17)计算t,再用式(16)计算S,与记录两星经过等高圈之平均时刻比较,即得表差。
兹举观测实例于下:
例 地点 纬度 42°21′北 经度 4时44分18秒西


化为恒星时即得

