第五节 赫瑞鲍太尔各特法
第一目 原理
观测高度角以计算观测者之纬度,其误差主要来源为垂直度盘之刻度误差,仪器之垂直轴不能绝对垂直,以及蒙气差等。蒙气差虽有若干种公式可以计算其影响,但此种公式仅系平均之情形。实际上每次观测情形均与平均情形有小量差异,成为无可消除之误差。
赫瑞鲍太尔各特(Horrebow Talcott)方法即系针对以上之缺点,设法消除上述各种误差,或减低其影响。其法系每次观测两恒星之子午天顶距差。此两星须一在天顶之北,另一在天顶之南,其天顶距须相差甚微,而中天时间亦在20分钟以内。其原理示如图11-5。
图11-5示纬度与天顶距及赤纬之关系。Z为天顶,E为赤道与子午圈之交点。Ss,Sn为南北两恒星之中天位置。zs,zn为其天顶距,δs,δn为其赤纬,φ为观测地之纬度。由δs可得
φ=δs+zs
由δn可得

图11-5
φ=δn-zn
两式相加用2除,得


图11-6 天顶仪
应用此法观测时,并不直接量测天顶距而用目镜测微器量测南北两星天顶距之差。故可避免垂直度盘刻度误差之影响。两星之天顶距差甚小,其蒙气差相差亦甚少,计算时亦只须改正两方向蒙气差之差。故蒙气差公式不准确之影响亦可减低。为测定垂直轴不绝对垂直之误差,用一精密水准管,使可与望远镜固连,名为赫瑞鲍水准管。是以应用赫瑞鲍太尔各特所测之纬度其精度至高,观测及计算方法亦极简便,惟准备工作较多耳。
第二目 天顶仪
用以在子午面内观测南北两星天顶距之差者(即式(26)内之zs-zn项)有专门设计之仪器称为天顶仪,其形状示如图11-6。
天顶仪有一水平度盘及一垂直轴,水平轴极短。水平轴上固定一望远镜,有时望远镜为偏心位置,即位在水平轴之一端。此仪器最主要部分为望远镜上之精密水准器。此水准器系与望远镜旋转平面平行,名为赫瑞鲍水准器。旋紧此水准器之制动螺旋即与望远镜成为一体。当仪器绕垂直轴旋转180°,望远镜指向天顶之另一端时,可藉此水准器测定仪器垂直轴之误差。
望远镜之目镜端装一测微器,其中有一游丝可测南北两星之天顶距差。测微器构造之大概示如图11-7。AA′为十字竖丝,EE′为十字横丝,BB′为一游丝,可旋转测微轮H使其上下移动。俟星进入视场后,即用BB′丝紧随平分之,迄其抵达AA′时乃读测微器上之读数。

图11-7 测微器
水平度盘并非为精确读数之用,故仅有游标,而无测微器。水平度盘上装有两个相距180°并可调节之制子,备望远镜旋入子午面内之用。垂直盘亦仅为寻星之用,故半径甚小。
天顶仪之轴系与经纬仪相类似,故其校正程序亦相若。首先须校正垂直轴真正垂直。为准确达到此目的可利用赫瑞鲍水准器,或用水平轴上之跨水准。盖底盘上通常仅有一圆形水准器,系为将仪器大略置平之用。观测之前必须用上述两较精密之水准器将垂直轴校正真正垂直。
第二项校正为使水平轴与垂直轴正交。此校正可以跨水准测定之。如跨水准易位后气泡不在中间,则水平轴系不水平,可以校正之。但水平轴倾斜对于测量天顶距之影响极小,故其校正不必过于精确。
第三项校正为使视准轴与水平轴正交。此校正可用普通经纬仪之校正方法,利用一较远之地面目标。如天顶仪之望远镜为偏心装置,则必须顾及偏心距离(视准平面与垂直轴间之垂距)及目标距离而计算其偏心差。与视准轴校正同时尚须校正目镜测微器之水平游丝是否真正水平。以游丝对准一目标点,在水平方向缓缓移动望远镜,如目标点永远在游丝上,即可无须校正,否则可旋转目镜测微器使游丝水平。
第四项校正为使视准轴位在子午平面之内。其法可先求得计时表之表差概值,然后在一南方恒星中天时用望远镜垂丝对准该星,于是视准轴即在子午平面内。此南方恒星之天顶距须在30°以上,始可得较精确之结果。但视准轴偏出子午平面对于量测天顶距之影响极小。倘方位角差在2′以内,则对于天顶角之最大影响不过±0″.01。故前述之表差能求定在1时秒以内即可。求定表差之方法或另作定时观测,或即用天顶仪作中天观测亦可(见第十二章)。求得子午方向之后,须校正水平度盘上之两制子,使其停于子午平面之方向。观测时每次转动望远镜达此制子之位置,则视准轴即在子午平面之内矣。
第三目 目镜测微器分划值之测定
在观测之前应先测定目镜测微器每一分划相当之角值。盖测微器即系测定天顶距差之主要工具,欲期测得之结果精确,测微器之分划值必须可靠。
测定之法可在一拱极星近于大距时观测之。普通可选用小熊座α,δ,λ或仙王座51四星之一。此四星之视位置在一般天文年历中均可查得。
观测时将测微器内之游丝转至视场之一端。如观测东大距即转至最下之位置,观测西大距即转至最上之位置(如系倒像望远镜则反是)。转动望远镜使拟观测之星适在游丝之外,向游丝方向移动。俟星达游丝时记其时刻。然后旋转测微器一周,再同法读到达之时刻,直至游丝达到另外一端为止。
图11-8示观测之情形。Z为天顶,P为北极,S0为拱极星之距角位置,S为观测时拱极星之位置。由PS0Z直角三角形,得
cos t=tanφcot δ(27)

图11-8
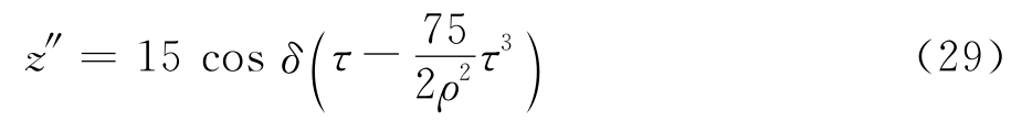
δ为拱极星之赤纬,图中之PS0即为其极距,亦即90°-δ0如T0为该星大距时之计时表读数,ΔT为表差,α为该星之赤经,则

设T为任意一观测时之计时表读数,则T-T0即为观测时与大距时该拱极星之时角差,亦即图中之τ角,以时秒表示之。化为角值应为15τ。用测微器所量之天顶距差并非SS0,而为z″(以弧秒为单位)。按图中之关系因PS=90°-δ,故z″应为
z″=ρ″cos δsin(15τ)
因观测系在近大距时举行,15τ必为一小角,故sin(15τ)可展为一级数而仅取其前两项。于是上式可化为

上式中括号内之第二项为数亦不大。如τ为1小时即60分钟,则第二项不过41.0时秒。通常观测应于极近大距时举行,τ不致超过30分钟。
设由此计算之z″依次为z″1,z″2,…,则
z″2-z″1,z″3-z″2,z″4-z″3,…
均为测微螺旋每转一周时之相当天顶距差。取其中数即为求得之测微螺旋每周之角值。如测微螺旋每周有100分划,每分划之值即为上述中数之百分之一。
观测时每次尚须读望远镜固连之水准器读数。如水准气泡有移动,应改正天顶距差。
第四目 选星
选星之原则,概括言之,约有下列数端:(1)两星之赤经须相差在20m以内,俾每组观测中间不必等候过久。两星中天时间相差愈少愈佳,盖过长则仪器可能有小变动,蒙气差亦可能因温度气压之变化而有差异。(2)两星必须一在天顶之北中天,一在天顶之南中天,其天顶距相差应在20′以下。盖测微器所能量测之角差最多不过30′-40′,而观测时以不使恒星靠近视场边缘为宜。(3)两星之天顶距以不超过30°-35°为宜。盖天顶距愈大则蒙气差愈大,且愈不稳定,故以使之不超过30°为宜。欲求天顶距必须知观测地点之纬度概值。此概值仅须在1′-2′之精度即可。或由可靠之地图上求之,或用简单仪器观测(如用六分仪观测太阳或恒星之中天高度)均可。由式(26)如欲使zs-zn在±20′以下,即应使δs+δn=2φ±20′,此为两星赤纬之条件。(4)采用星等以在六等星以上者为宜。
选星时以应用较详细之星表为佳,如波司(Boss)之星表等。决定观测开始时间,即可由其相当之赤经开始选星。先以一星为准,凡与其赤经相差在20m以内而两星赤纬之和又等于2φ之概值±20′以内者均可成为一对。在一站上常连续观测数晚,故选星时可将所有可能之星对全部选出,删去其时间冲突者,列成一最适宜之观测表。观测表上每星对均应注明星号(星表上之星号)星等,星之赤经与赤纬,天顶距(注明南或北)及望远镜寻星盘之位置。后二者均计至分位即可。寻星盘之位置通常系用南北两天顶之中数,亦即两星赤纬差之一半。
皍举选就之实例如下:

纬度约值为41°32′(北)
测微器每一转之角值=42″.9
上表内测微器位置表示测微器之转数,譬如“18下”即表示自放置之天顶距26°21′转至第一星天顶距26°08′,之转数。因放置之天顶距大于第一星之天顶距而测微器之目镜多为倒像者,故测微器内之游丝须放置在视场中心之下,其距离等于测微器18转,由此可以知星体在视场内出现之大概位置。
第五目 观测工作
观测之前先将仪器校正,并使视准轴在子午平面内。然后按照观测星表将寻星盘之读数置妥,使望远镜指向先中天之星。将水准器气泡大略置中。移动目镜测微器之游丝至该星中天之大略位置,俟星入视场时再将游丝转动至更合适之位置。当该星行至竖丝时(即中天时),使游丝平分之。然后读测微器读数及水准气泡两端读数。水准气泡读数亦可在中天以前行之,但不可过早。该星观测完毕后,即将望远镜绕垂直轴转180°,旋至另端制子处。旋转时不可过猛,以轻轻触及制子为度。用力过大可能变动制子之位置,因而使视准轴越出子午平面。望远镜旋转180°前后,不可移动寻星盘之缓动螺旋,转动测微器螺旋使游丝行至第二星之中天高度。俟第二星进入视场时再调整游丝之位置,当该星行至竖丝处,使游丝平分之。然后读测微器及水准读数。至此一对观测遂告完成。
为避免观测错误之星,应知计时表之表差,然后根据该星之赤经计算其中天之应有表面时。倘观测错误之星,其中天时间必与计算之表面时不符。如此即可发现错误。
观测时转动测微器移动游丝时,其最后一转必须反弹簧方向,以免受齿隙之影响。
在观测两星之间,绝不可动寻星盘之缓动螺旋,盖一动此螺旋即变更望远镜与水准器之关系,因而不能量测垂直轴之真正误差。如望远镜水平旋转180°后,水准气泡过偏一方,或第二星中天位置过于接近视场之边缘时,可动水平轴与望远镜间之缓动螺旋以调整之。此时望远镜与水准器一同转动,故视准轴之变动可现于水准气泡之读数内,并不影响结果。
有时在星正中天时未及观测,亦可于越过中天之后补行观测。但此时必须记录观测时之表面时,由观测表面时减去计算之中天表面时即为观测时该星之时角。知此时角亦可计算天顶距之改正,但此种情形应尽量避免之。
我国大地测量法式规定一等天文点之观测即用此法,至少观测十星对,分两晚以上举行。
第六目 纬度之化算
吾人实际所量测者为天顶距差(zs-zn)。其值可分为三项:第一项为由目镜测微器量得之读数差,乘以测微器每分划之值。第二项为垂直轴之改正,亦即南北两方向水准气泡之差乘以水准器每分划之值。第三项为南北两方向蒙气差改正之差。
设Ms与Mn为南北两星中天时之测微器读数,以测微器之分划为单位,R为测微器每分划之角值,则第一项为
设ss与ns为观测南星时水准气泡南北两端之读数,sn与nn为观测北星时水准气泡南北两端之读数。假定气泡之分划系零分划在中间,每分划之秒值为d,则垂直轴之改正应为
sn)}。倘水准器之零分划系在物镜端,则垂直轴之改正应为
-ns)+(ss-sn)}。是为上述第二项之值。
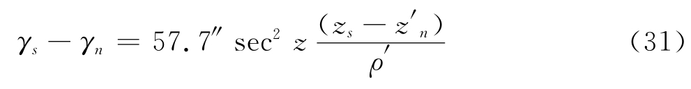
第三项蒙气差之改正即为
为南星方向之蒙气差改正,γn为北星方向之蒙气差改正。联合以上各项代入式(26)即得

将每对星观测之结果代入式(30)即可求得纬度。
其中第三项蒙气差改正可用最简单之蒙气差公式计算之。
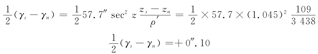
γ=αtan z
α在此可视为常数为57″.7。因γs-γn为一极小之改正,故可用微分公式:

如zs-zn系以分为单位,则上式可书作

上式中之ρ′=3438,z可用两天顶距之中数,或即为寻星盘之读数,无须过于精确。
每星对所得纬度值之精度泰半系于两星赤纬之精度。一般天文年历所列各星之赤纬精度多较高,而星表中所列较小之星之赤纬精度则一般较低。关于视赤纬之计算已于第五章第四节中论及。各星赤纬之或是误差可于星表中查得。如严格顾及此种误差,各对星所得之纬度结果不应取其算学平均值,而应给与不同之权。
由观测所得之纬度,系以观测时之北极位置为准。据多年观测之结果,北极位置有极小之过期性移动。故观测所得之纬度应化至北极之平均位置。此项改正最大可达0″.3。
此外观测之纬度尚须化至海平面。按垂线之定义乃为垂直于水准面之线。地面附近之水准面并非等间距之平行面。一般而论纬度愈高则水准面之间愈小,故实际上垂线并非真正之直线而稍弯曲者。在纬度45°时弯曲最甚。故将地面上某高程所观测之纬度化至海平面,必须加此改正。其公式为
Δφ=-0.000 171hsin 2φ(32)
其中h为观测站之海拔高程以公尺为单位。
以上两项改正,只有精密测定纬度达±0″.1时始顾及之,一般测
定纬度中误差在±1″左右或更大时可不必要。
例 观测日期:1923年8月1日
仪器:子午仪,放大率86×,有两个赫瑞鲍水准管
目镜测微器分划值:R=79″.0743
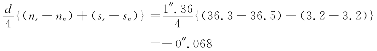
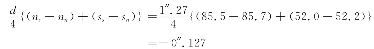
赫瑞鲍水准管之分划值:
第Ⅰ水准管:dⅠ=1″.36
第Ⅱ水准管:dⅡ=1.27
1.观测记录:

2.计算:
(1)由星表查得两星之平位置后,加各项改正(包括章动短期项及周年光行差),得视赤纬如下:
4582:δs=30°33′18″.83
4623:δn=642237.13

(2)测微器读数改正:

(3)水准改正:
第一水准管

第二水准管

两水准管平均:水准改正=-0″.10
(4)蒙气差改正:

(5)纬度计算:
