第三节 环子午高度法
第一目 原理
观测天体中天高度以定纬度,可以不必知观测之准确时刻,是其便利之点。但每个天体仅能观测一次,不能达到较高之精度,则为其缺点。今如已知观测时刻,可在天体中天前后,分别用正倒镜观测多次。此种方法名为环子午高度法。其优点为可消除仪器误差,增加精度。
按第一节原理已指出:如所观测天体之方位角在0°或180°附近,高度角h及时角t误差之影响均为极小,其中时角误差影响近于0。作环子午高度法观测时,天体之方位角极近于180°,故仍合于第一节之有利条件。
按本章式(1)sin h=sinφsin δ+cosφcos δcos t


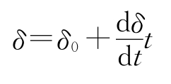
按本章式(5)南天情形,假定在中天附近之短时间内,赤纬δ之变化极少,即
φ-δ=z0=90°-h0(7)
z0为天体中天时之天顶距,h0为其高度角。代入式(6),可化为
又由三角公式知

由于h与h0相差甚小,

代入式(8)遂得


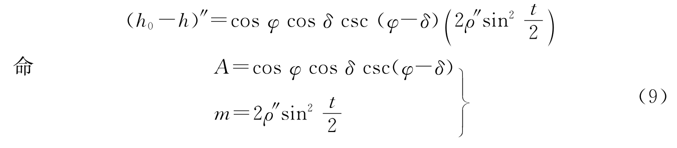
式(9)又可书作
(h0-h)″=(z-z0)″=A·m(10)
联合式(10)及式(7),即得纬度之计算公式
φ=z′-Am+δ(11)
设各次观测之天顶距为z1,z2,…,其平均值为zm,由各次时角t按式(9)计算所得之m为m1,m2,…,其平均值为mm,因A对各次观测为一常数,故将各次结果平均所得之纬度为
φ=zm-Amm+δ
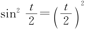
A之计算采用纬度概值即可。m有表可查(见附表Ⅴ),以时角t为引数。故A·m之计算相当方便。倘无m之表,因环子午观测之时角t为一小角,一般可命
,于是
m=1.963 5t2(12)
t之单位为时分,m之单位为弧秒。式(12)之计算精度可达±1″。由式(12)又可研究时角(亦即记时表)所需之精度。微分之,得
dm=3.93tdt≈4·tdt
t及dt之单位为时分,dm之单位为弧秒。取t之最大值为15分,当t之误差dt为
,影响m之误差为1″。故欲使因归算中天高度而生之纬度误差小于1″,约相当于使用精密全能经纬仪量测天顶距之精度,记时须有1秒之精度。用游标经纬仪量测天顶距之精度最多仅能达10″-20″,计时表精度能达10秒左右即已足用。
第二目 恒星环子午高度法
在拟定观测时内,欲知何星中天,仍用第二节第三目所述方法,先求观测时之地方恒星时,然后选两恒星,其赤经与所算得之地方恒星时相差不多。两星须一在天顶之南中天,一在天顶之北中天,其天顶距须约略相等。如此可以消除蒙气差改正不正确之影响。欲达上述目的,两星赤纬之平均值应与观测者纬度约略相等。
观测须在预定该星中天之前15分钟左右开始。以望远镜对准该恒星,俟恒星达到横丝时,记录时刻,并读天顶距。然后再将望远镜倒镜,仍对准恒星,继续观测。在恒星中天之前,天顶距逐次渐小;俟中天之后,又逐渐增加。观测以对称分配于中天前后为原则,一半次数用正镜,一半次数用倒镜。

图11-3
倘未求计时表之表差,或不知观测地点精确经度,即无从计算恒星中天之表面时确值。此时可将多次观测之结果,用横坐标代表表面时刻,纵坐标代表天顶距(或高度角),绘出一系列之点。用一曲线连之,即示天顶距变化之情形如图11-3所示。当天顶距最小,亦即高度角最大时,其横坐标u0即为恒星中天时之表面时刻。通过此横坐标u0之纵线必平分此曲线成相对之两半。其他各次观测时恒星之时角即为其记录时刻u1,u2,…减中天表面时u0。
t=u-u0
观测恒星,如用平太阳时表记录观测时刻,则按上式求得之t应化为恒星时,始为恒星之时角。
兹举观测实例如下:
纬度之测定

1.观测记录:

2.计算:
(1)计时表上之中天时刻(Tc):


此例在观测高度角时并读记望远镜方向之气泡位置,以改正垂直轴之误差。当水准气泡在物镜端读数大于目镜端读数时,表示垂直度盘0°在物镜端略高,亦即读得垂直角(高度角)之改正应为+号,反之则为-号。水准气泡改正系加于平均高度角之上,故以各次读数之平均值计算。按观测记录,物镜端读数和为154,目镜端读数和为86,二者之差为+68,用8次除,得平均值。因气泡中点偏出水准管0点之数为两端读数差之半,故须再以2除,然后乘水准管分划值11″,即得水准气泡改正。
取正倒镜观测高度最大之一对,加水准气泡改正,求平均数,再加恒星之赤纬,即得纬度概值,以备计算系数A之用。其他计算步骤由表可以自明,不再详述。第三目 太阳环子午高度法
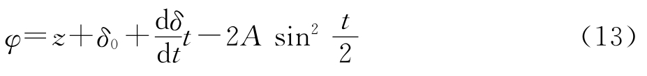
太阳环子午高度法与恒星环子午高度法相同。但太阳赤纬δ变化甚速,按照式(11)计算时,δ应取每次观测时之赤纬值。命中天时太阳之赤纬为δ0,太阳时角t时,其赤纬为δ,则

式(11)应为

此处m仍以弧度为单位,故取消ρ″。欲求
之值,可将第一节式(1),依t微分

当
时,即当太阳之高度为最高时;命t=t0,t0即为太阳最高时之时角。于是上式可化为

t0为一极小之角度,故可命sin t0=t0,cos t0=1,于是得

代入式(13)内,并将式(13)最后一项之
,遂得

t0为一极小之角,最多不过15秒,或
弧度。故如在上式最后一项括弧内加
,即加
,并无影响,但如此则可将式(15)最后一项简化为

于是式(15)变为

或书为
φ=z+δ0-A·m0(16)
其中

m0即为以t-t0为引数所得之m值,以弧秒为单位。
比较(16)与(11),即知在观测太阳环子午高度时,应以太阳中天时之赤纬δ0,及对太阳最高时刻之时角差(t-t0)计算。但如用普通游标经纬仪观测,精度本不甚高时,求m时径以t为引数已足。
观测时应分别用正倒镜量测太阳上缘及下缘之高度,以消除仪器误差。如正倒镜两次分别观测上下缘相隔在2分钟以内,可取其平均高度与平均观测时刻相当,以减少计算工作。但在精密观测时仍以每次观测个别计算为妥,因太阳近子午圈时,其路径弯曲最甚,不能视为直线也。
兹举观测实例于下:
例 测站 上海同济大学 经度8时5分58秒
日期 1950年12月27日
计时表差=-1秒
垂直盘指差 正镜 天顶距 +24″
倒镜 天顶距 -24″
1.观测记录:

2.计算:
(1)太阳视正午之标准时刻:

(2)太阳视正午之赤纬(δ0):

(3)常数A之计算:
由观测天顶距离每两次相邻正倒镜之平均值,知太阳中心最小天顶距为54°38′17″(见下面(6)之表内),由此可计算纬度概值:

根据此纬度值及中天天顶距概值即可计算常数A。

(4)计算太阳最高时之时角t0:
由天文年历查得太阳赤纬一日之变化为+143″.1,故

按式(14),
(5)时角差(t-t0)及A·m0之计算:
将观测时刻加表差改正-1秒后与(1)计算所得视太阳中天时刻相比,即得太阳时角t,减去由(4)所得之t0然后根据式(17)求m0,分别乘(3)计算所得之A=0.962 3,得Am0列表如下:

(6)由观测天顶距化算为中天天顶距,并求纬度。由观测所得天顶距读数分别加指差改正(正镜+24″倒镜-24″)蒙气差(一律+1′20″)视差(一律-7″),及半径改正(上缘+16′18″,下缘-16′18″),即得太阳中心天顶距。再减由(5)计算所得之Am0,即化为中天时之天顶距。将其平均值加太阳中天时之赤纬,即得观测点之纬度。兹列表于下:


由中天时天顶距之各改正数v计算中误差为

故观测结果为
纬度=31°16′40″±2″.4